Combining Chitosan Nanoparticles and Garlic Essential Oil as Additive Fillers to Produce Pectin-Based Nanocomposite Edible Films
Abstract
1. Introduction
2. Materials and Methods
2.1. Preparation and Characterization of Chitosan Nanoparticles in Solution
2.2. Chitosan Nanoparticle’s Characterization: Hydrodynamic Size Distribution, Polydisperse Index, and Zeta Potential
2.3. Film Formulations, Preparation, and Characterization
2.4. Water Wettability
2.5. Scanning Electron Microscopy (SEM)
2.6. Fourier Transformed Infrared Spectroscopy (FT-IR)
2.7. Mechanical Properties: Tensile Strength, Strain, and Young’s Modulus
2.8. Water Vapor Transmission Rate
2.9. Thermal Property: Thermogravimetric Analysis
2.10. Antimicrobial Properties
3. Results
3.1. CNPS Characterization
3.2. Pectin/GEO Films Characterization
3.2.1. Visual Appearance
3.2.2. Water Wettability
3.2.3. Internal Morphology: SEM Analysis
3.2.4. FT-IR Analysis
3.2.5. Film Thickness and Mechanical Properties

3.2.6. Water Vapor Transmission Permeability and Permeance
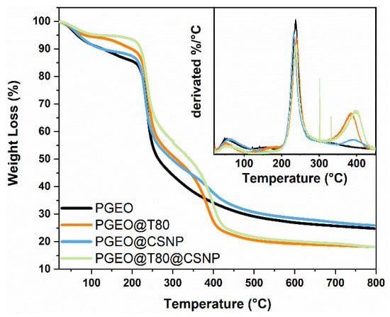
3.2.7. Thermogravimetric Analysis
3.2.8. Antimicrobial Properties
4. Conclusions
Author Contributions
Funding
Acknowledgments
Conflicts of Interest
References
- Mollah, M.Z.I.; Akter, N.; Quader, F.B.; Sultana, S.; Khan, R.A. Biodegradable Colour Polymeric Film (Starch-Chitosan) Development: Characterization for Packaging Materials. Open J. Org. Polym. Mater. 2016, 6, 11–24. [Google Scholar] [CrossRef]
- Mellinas, C.; Ramos, M.; Jiménez, A.; Garrigós, M.C. Recent Trends in the Use of Pectin from Agro-Waste Residues as a Natural-Based Biopolymer for Food Packaging Applications. Materials 2020, 13, 673. [Google Scholar] [CrossRef] [PubMed]
- Lam, M.; Shen, R.; Paulsen, P.; Corredig, M. Pectin Stabilization of Soy Protein Isolates at Low PH. Food Res. Int. 2007, 40, 101–110. [Google Scholar] [CrossRef]
- Kastner, H.; Einhorn-Stoll, U.; Senge, B. Structure Formation in Sugar Containing Pectin Gels–Influence of Ca2+ on the Gelation of Low-Methoxylated Pectin at Acidic PH. Food Hydrocoll. 2012, 27, 42–49. [Google Scholar] [CrossRef]
- Galus, S.; Lenart, A. Development and Characterization of Composite Edible Films Based on Sodium Alginate and Pectin. J. Food Eng. 2013, 115, 459–465. [Google Scholar] [CrossRef]
- Spricigo, P.C.; Pilon, L.; Trento, J.P.; de Moura, M.R.; Bonfim, K.S.; Mitsuyuki, M.C.; Mattoso, L.H.C.; Ferreira, M.D. Nano-Chitosan as an Antimicrobial Agent in Preservative Solutions for Cut Flowers. J. Chem. Technol. Biotechnol. 2021, 96, 2168–2175. [Google Scholar] [CrossRef]
- Antoniou, J.; Liu, F.; Majeed, H.; Qi, J.; Yokoyama, W.; Zhong, F. Physicochemical and Morphological Properties of Size-Controlled Chitosan–Tripolyphosphate Nanoparticles. Colloids Surf. A Physicochem. Eng. Asp. 2015, 465, 137–146. [Google Scholar] [CrossRef]
- Lorevice, M.V.; Otoni, C.G.; de Moura, M.R.; Mattoso, L.H.C. Chitosan Nanoparticles on the Improvement of Thermal, Barrier, and Mechanical Properties of High- and Low-Methyl Pectin Films. Food Hydrocoll. 2016, 52, 732–740. [Google Scholar] [CrossRef]
- Vianna, T.C.; Marinho, C.O.; Marangoni Júnior, L.; Ibrahim, S.A.; Vieira, R.P. Essential Oils as Additives in Active Starch-Based Food Packaging Films: A Review. Int. J. Biol. Macromol. 2021, 182, 1803–1819. [Google Scholar] [CrossRef]
- Azman, N.H.; Khairul, W.M.; Sarbon, N.M. A Comprehensive Review on Biocompatible Film Sensor Containing Natural Extract: Active/Intelligent Food Packaging. Food Control 2022, 141, 109189. [Google Scholar] [CrossRef]
- Burt, S. Essential Oils: Their Antibacterial Properties and Potential Applications in Foods—A Review. Int. J. Food Microbiol. 2004, 94, 223–253. [Google Scholar] [CrossRef] [PubMed]
- Nunes, J.C.; Melo, P.T.S.; Lorevice, M.V.; Aouada, F.A.; de Moura, M.R. Effect of Green Tea Extract on Gelatin-Based Films Incorporated with Lemon Essential Oil. J. Food Sci. Technol. 2021, 58, 1–8. [Google Scholar] [CrossRef] [PubMed]
- Mondéjar-López, M.; Rubio-Moraga, A.; López-Jimenez, A.J.; García Martínez, J.C.; Ahrazem, O.; Gómez-Gómez, L.; Niza, E. Chitosan Nanoparticles Loaded with Garlic Essential Oil: A New Alternative to Tebuconazole as Seed Dressing Agent. Carbohydr. Polym. 2022, 277, 118815. [Google Scholar] [CrossRef] [PubMed]
- Ajami, M.; Vazirijavid, R. Garlic (Allium Sativum L.). Nonvitamin Nonmineral Nutr. Suppl. 2019, 4, 227–234. [Google Scholar] [CrossRef]
- de Moura, M.R.; Aouada, F.A.; Mattoso, L.H.C. Preparation of Chitosan Nanoparticles Using Methacrylic Acid. J. Colloid Interface Sci. 2008, 321, 477–483. [Google Scholar] [CrossRef] [PubMed]
- ASTM D882-2012; Standard Test Methods for Tensile Properties of Thin Plastic Sheeting. Annual Book of American Standard Testing Methods. American Society for Testing and Materials: West Conshohocken, PA, USA, 2012; pp. 313–321.
- Mchugh, T.H.; Avena-Bustillos, F.L.; Krochta, J.M. Hydrophilic Edible Films: Modified Procedure for Water Vapor Permeability and Explanation of Thickness Effects. J. Food Sci. 1993, 58, 899–903. [Google Scholar] [CrossRef]
- Otoni, C.G.; Avena-Bustillos, R.J.; Azeredo, H.M.C.; Lorevice, M.V.; Moura, M.R.; Mattoso, L.H.C.; McHugh, T.H. Recent Advances on Edible Films Based on Fruits and Vegetables—A Review. Compr. Rev. Food Sci. Food Saf. 2017, 16, 1151–1169. [Google Scholar] [CrossRef] [PubMed]
- Koukaras, E.N.; Papadimitriou, S.A.; Bikiaris, D.N.; Froudakis, G.E. Insight on the Formation of Chitosan Nanoparticles through Ionotropic Gelation with Tripolyphosphate. Mol. Pharm. 2012, 9, 2856–2862. [Google Scholar] [CrossRef] [PubMed]
- Shukla, S.K.; Mishra, A.K.; Arotiba, O.A.; Mamba, B.B. Chitosan-Based Nanomaterials: A State-of-the-Art Review. Int. J. Biol. Macromol. 2013, 59, 46–58. [Google Scholar] [CrossRef] [PubMed]
- Hosseini, S.F.; Soleimani, M.R.; Nikkhah, M. Chitosan/Sodium Tripolyphosphate Nanoparticles as Efficient Vehicles for Antioxidant Peptidic Fraction from Common Kilka. Int. J. Biol. Macromol. 2018, 111, 730–737. [Google Scholar] [CrossRef] [PubMed]
- Aranda-Barradas, M.E.; Trejo-López, S.E.; Real, A.D.; Álvarez-Almazán, S.; Méndez-Albores, A.; García-Tovar, C.G.; González-Díaz, F.R.; Miranda-Castro, S.P. Effect of Molecular Weight of Chitosan on the Physicochemical, Morphological, and Biological Properties of Polyplex Nanoparticles Intended for Gene Delivery. Carbohydr. Polym. Technol. Appl. 2022, 4, 100228. [Google Scholar] [CrossRef]
- Lorevice, M.V.; De Moura, M.R.; Mattoso, L.H.C. Nanocompósito de Polpa de Mamão e Nanopartículas de Quitosana Para Aplicação Em Embalagens. Quim. Nova 2014, 37, 931–936. [Google Scholar] [CrossRef]
- Ortega-Toro, R.; Jiménez, A.; Talens, P.; Chiralt, A. Effect of the Incorporation of Surfactants on the Physical Properties of Corn Starch Films. Food Hydrocoll. 2014, 38, 66–75. [Google Scholar] [CrossRef]
- Rodríguez, M.; Osés, J.; Ziani, K.; Maté, J.I. Combined Effect of Plasticizers and Surfactants on the Physical Properties of Starch Based Edible Films. Food Res. Int. 2006, 39, 840–846. [Google Scholar] [CrossRef]
- Muscat, D.; Tobin, M.J.; Guo, Q.; Adhikari, B. Understanding the Distribution of Natural Wax in Starch–Wax Films Using Synchrotron-Based FTIR (S-FTIR). Carbohydr. Polym. 2014, 102, 125–135. [Google Scholar] [CrossRef]
- Basiak, E.; Debeaufort, F.; Lenart, A. Effect of Oil Lamination between Plasticized Starch Layers on Film Properties. Food Chem. 2016, 195, 56–63. [Google Scholar] [CrossRef]
- Zhong, Y.; Li, Y. Effects of Surfactants on the Functional and Structural Properties of Kudzu (Pueraria Lobata) Starch/Ascorbic Acid Films. Carbohydr. Polym. 2011, 85, 622–628. [Google Scholar] [CrossRef]
- Rubilar, J.F.; Zúñiga, R.N.; Osorio, F.; Pedreschi, F. Physical Properties of Emulsion-Based Hydroxypropyl Methylcellulose/Whey Protein Isolate (HPMC/WPI) Edible Films. Carbohydr. Polym. 2015, 123, 27–38. [Google Scholar] [CrossRef] [PubMed]
- Handayasari, F.; Suyatma, N.E.; Nurjanah, S. Physiochemical and Antibacterial Analysis of Gelatin–Chitosan Edible Film with the Addition of Nitrite and Garlic Essential Oil by Response Surface Methodology. J. Food Process. Preserv. 2019, 43, e14265. [Google Scholar] [CrossRef]
- Wang, H.; Ding, F.; Ma, L.; Zhang, Y. Edible Films from Chitosan-Gelatin: Physical Properties and Food Packaging Application. Food Biosci. 2021, 40, 100871. [Google Scholar] [CrossRef]
- Kurek, M.; Benbettaieb, N.; Ščetar, M.; Chaudy, E.; Elez-Garofulić, I.; Repajić, M.; Klepac, D.; Valić, S.; Debeaufort, F.; Galić, K. Novel Functional Chitosan and Pectin Bio-Based Packaging Films with Encapsulated Opuntia-Ficus Indica Waste. Food Biosci. 2021, 41, 100980. [Google Scholar] [CrossRef]
- Jamróz, E.; Tkaczewska, J.; Juszczak, L.; Zimowska, M.; Kawecka, A.; Krzyściak, P.; Skóra, M. The Influence of Lingonberry Extract on the Properties of Novel, Double-Layered Biopolymer Films Based on Furcellaran, CMC and a Gelatin Hydrolysate. Food Hydrocoll. 2022, 124, 107334. [Google Scholar] [CrossRef]
- Oyeoka, H.C.; Ewulonu, C.M.; Nwuzor, I.C.; Obele, C.M.; Nwabanne, J.T. Packaging and Degradability Properties of Polyvinyl Alcohol/Gelatin Nanocomposite Films Filled Water Hyacinth Cellulose Nanocrystals. J. Bioresour. Bioprod. 2021, 6, 168–185. [Google Scholar] [CrossRef]
- Oyekanmi, A.A.; Abdul Khalil, H.P.S.; Rahman, A.A.; Mistar, E.M.; Olaiya, N.G.; Alfatah, T.; Yahya, E.B.; Mariana, M.; Hazwan, C.M.; Abdullah, C.K. Extracted Supercritical CO2 Cinnamon Oil Functional Properties Enhancement in Cellulose Nanofibre Reinforced Euchema Cottoni Biopolymer Films. J. Mater. Res. Technol. 2021, 15, 4293–4308. [Google Scholar] [CrossRef]
- Regina, S.; Poerio, T.; Mazzei, R.; Sabia, C.; Iseppi, R.; Giorno, L. Pectin as a Non-Toxic Crosslinker for Durable and Water-Resistant Biopolymer-Based Membranes with Improved Mechanical and Functional Properties. Eur. Polym. J. 2022, 172, 111193. [Google Scholar] [CrossRef]
- Jahromi, M.; Niakousari, M.; Golmakani, M.T. Fabrication and Characterization of Pectin Films Incorporated with Clove Essential Oil Emulsions Stabilized by Modified Sodium Caseinate. Food Packag. Shelf Life 2022, 32, 100835. [Google Scholar] [CrossRef]
- do Evangelho, J.A.; da Silva Dannenberg, G.; Biduski, B.; el Halal, S.L.M.; Kringel, D.H.; Gularte, M.A.; Fiorentini, A.M.; da Rosa Zavareze, E. Antibacterial Activity, Optical, Mechanical, and Barrier Properties of Corn Starch Films Containing Orange Essential Oil. Carbohydr. Polym. 2019, 222, 114981. [Google Scholar] [CrossRef]
- Li, Z.; Jiang, X.; Huang, H.; Liu, A.; Liu, H.; Abid, N.; Ming, L. Chitosan/Zein Films Incorporated with Essential Oil Nanoparticles and Nanoemulsions: Similarities and Differences. Int. J. Biol. Macromol. 2022, 208, 983–994. [Google Scholar] [CrossRef] [PubMed]
- Luo, Q.; Hossen, M.A.; Zeng, Y.; Dai, J.; Li, S.; Qin, W.; Liu, Y. Gelatin-Based Composite Films and Their Application in Food Packaging: A Review. J. Food Eng. 2022, 313, 110762. [Google Scholar] [CrossRef]
- Yeddes, W.; Djebali, K.; Aidi Wannes, W.; Horchani-Naifer, K.; Hammami, M.; Younes, I.; Saidani Tounsi, M. Gelatin-Chitosan-Pectin Films Incorporated with Rosemary Essential Oil: Optimized Formulation Using Mixture Design and Response Surface Methodology. Int. J. Biol. Macromol. 2020, 154, 92–103. [Google Scholar] [CrossRef] [PubMed]
- De Moura, M.R.; Lorevice, M.V.; Mattoso, L.H.C.; Zucolotto, V. Highly Stable, Edible Cellulose Films Incorporating Chitosan Nanoparticles. J. Food Sci. 2011, 76, N25–N29. [Google Scholar] [CrossRef]
- Moreira, F.K.V.; De Camargo, L.A.; Marconcini, J.M.; Mattoso, L.H.C. Nutraceutically Inspired Pectin-Mg(OH)2 Nanocomposites for Bioactive Packaging Applications. J. Agric. Food Chem. 2013, 61, 7110–7119. [Google Scholar] [CrossRef] [PubMed]
- Santos, V.S.; Dos Santos, V.S.; Fernandes, R.d.S.; Júnior, C.R.F.; Aouada, F.A.; Américo-Pinheiro, J.H.P.; De Moura, M.R. Evaluation and Characterization of Edible Carboxymethylcellulose Biofilm Containing Chitosan Nanoparticles and Turmeric. Rev. Mater. 2021, 26, 1–12. [Google Scholar] [CrossRef]
- Norcino, L.B.; Mendes, J.F.; Natarelli, C.V.L.; Manrich, A.; Oliveira, J.E.; Mattoso, L.H.C. Pectin Films Loaded with Copaiba Oil Nanoemulsions for Potential Use as Bio-Based Active Packaging. Food Hydrocoll. 2020, 106, 105862. [Google Scholar] [CrossRef]
- Brandelero, R.P.H.; Yamashita, F.; Grossmann, M.V.E. The Effect of Surfactant Tween 80 on the Hydrophilicity, Water Vapor Permeation, and the Mechanical Properties of Cassava Starch and Poly(Butylene Adipate-Co-Terephthalate) (PBAT) Blend Films. Carbohydr. Polym. 2010, 82, 1102–1109. [Google Scholar] [CrossRef]
- Song, X.; Zuo, G.; Chen, F. Effect of Essential Oil and Surfactant on the Physical and Antimicrobial Properties of Corn and Wheat Starch Films. Int. J. Biol. Macromol. 2018, 107, 1302–1309. [Google Scholar] [CrossRef] [PubMed]
- Otoni, C.G.; Pontes, S.F.O.; Medeiros, E.A.A. Edible Films from Methylcellulose and Nanoemulsions of Clove Bud (Syzygium aromaticum) and Oregano (Origanum vulgare) Essential Oils as Shelf Life Extenders for Sliced Bread. J. Agric. Food Chem. 2014, 62, 5214–5219. [Google Scholar] [CrossRef] [PubMed]
- Bravin, B.; Peressini, D.; Sensidoni, A. Influence of Emulsifier Type and Content on Functional Properties of Polysaccharicle Lipid-Basid Edible Films. J. Agric. Food Chem. 2004, 52, 6448–6455. [Google Scholar] [CrossRef]
- Espitia, P.J.P.; Du, W.X.; Avena-Bustillos, R.d.J.; Soares, N.d.F.F.; McHugh, T.H. Edible Films from Pectin: Physical-Mechanical and Antimicrobial Properties-A Review. Food Hydrocoll. 2014, 35, 287–296. [Google Scholar] [CrossRef]
- Cazón, P.; Velazquez, G.; Ramírez, J.A.; Vázquez, M. Polysaccharide-Based Films and Coatings for Food Packaging: A Review. Food Hydrocoll. 2017, 68, 136–148. [Google Scholar] [CrossRef]
- Aitboulahsen, M.; El Galiou, O.; Laglaoui, A.; Bakkali, M.; Hassani Zerrouk, M. Effect of Plasticizer Type and Essential Oils on Mechanical, Physicochemical, and Antimicrobial Characteristics of Gelatin, Starch, and Pectin-Based Films. J. Food Process. Preserv. 2020, 44, e14480. [Google Scholar] [CrossRef]
- Myllärinen, P.; Partanen, R.; Seppälä, J.; Forssell, P. Effect of Glycerol on Behaviour of Amylose and Amylopectin Films. Carbohydr. Polym. 2002, 50, 355–361. [Google Scholar] [CrossRef]
- Giancone, T.; Torrieri, E.; Pierro, P.D.; Cavella, S.; Giosafatto, C.V.L.; Masi, P. Effect of Surface Density on the Engineering Properties of High Methoxyl Pectin-Based Edible Films. Food Bioproc. Technol. 2011, 4, 1228–1236. [Google Scholar] [CrossRef]
- Park, H.J.; Chinnan, M.S. Gas and Water Vapor Barrier Properties of Edible Films from Protein and Cellulosic Materials. J. Food Eng. 1995, 25, 497–507. [Google Scholar] [CrossRef]
- Chen, H. Functional Properties and Applications of Edible Films Made of Milk Proteins. J. Dairy Sci. 1995, 78, 2563–2583. [Google Scholar] [CrossRef] [PubMed]
- Martelli, M.R.; Barros, T.T.; De Moura, M.R.; Mattoso, L.H.C.; Assis, O.B.G. Effect of Chitosan Nanoparticles and Pectin Content on Mechanical Properties and Water Vapor Permeability of Banana Puree Films. J. Food Sci. 2013, 78, N98–N104. [Google Scholar] [CrossRef]
- Monfregola, L.; Leone, M.; Vittoria, V.; Amodeo, P.; De Luca, S. Chemical Modification of Pectin: Environmental Friendly Process for New Potential Material Development. Polym. Chem. 2011, 2, 800–804. [Google Scholar] [CrossRef]
- Cerruti, P.; Santagata, G.; Gomez D’Ayala, G.; Ambrogi, V.; Carfagna, C.; Malinconico, M.; Persico, P. Effect of a Natural Polyphenolic Extract on the Properties of a Biodegradable Starch-Based Polymer. Polym. Degrad. Stab. 2011, 96, 839–846. [Google Scholar] [CrossRef]
- Rejinold, N.S.; Muthunarayanan, M.; Muthuchelian, K.; Chennazhi, K.P.; Nair, S.V.; Jayakumar, R. Saponin-Loaded Chitosan Nanoparticles and Their Cytotoxicity to Cancer Cell Lines in Vitro. Carbohydr. Polym. 2011, 84, 407–416. [Google Scholar] [CrossRef]
- Thandapani, G.; Supriya Prasad, P.; Sudha, P.N.; Sukumaran, A. Size Optimization and in Vitro Biocompatibility Studies of Chitosan Nanoparticles. Int. J. Biol. Macromol. 2017, 104, 1794–1806. [Google Scholar] [CrossRef]
- Feng, Y.; Xia, W. Preparation, Characterization and Antibacterial Activity of Water-Soluble O-Fumaryl-Chitosan. Carbohydr. Polym. 2011, 83, 1169–1173. [Google Scholar] [CrossRef]
- Moghimi, R.; Ghaderi, L.; Rafati, H.; Aliahmadi, A.; Mcclements, D.J. Superior Antibacterial Activity of Nanoemulsion of Thymus Daenensis Essential Oil against E. coli. Food Chem. 2016, 194, 410–415. [Google Scholar] [CrossRef]
- Medina Jaramillo, C.; Gutiérrez, T.J.; Goyanes, S.; Bernal, C.; Famá, L. Biodegradability and Plasticizing Effect of Yerba Mate Extract on Cassava Starch Edible Films. Carbohydr. Polym. 2016, 151, 150–159. [Google Scholar] [CrossRef] [PubMed]
- Ross, Z.M.; O’Gara, E.A.; Hill, D.J.; Sleightholme, H.V.; Maslin, D.J. Antimicrobial Properties of Garlic Oil against Human Enteric Bacteria: Evaluation of Methodologies and Comparisons with Garlic Oil Sulfides and Garlic Powder. Appl. Environ. Microbiol. 2001, 67, 475–480. [Google Scholar] [CrossRef] [PubMed]
- Yuan, G.; Chen, X.; Li, D. Chitosan Films and Coatings Containing Essential Oils: The Antioxidant and Antimicrobial Activity, and Application in Food Systems. Food Res. Int. 2016, 89, 117–128. [Google Scholar] [CrossRef] [PubMed]
- Pranoto, Y.; Salokhe, V.M.; Rakshit, S.K. Physical and Antibacterial Properties of Alginate-Based Edible Film Incorporated with Garlic Oil. Food Res. Int. 2005, 38, 267–272. [Google Scholar] [CrossRef]





| Acronyms | PEC (% wt.) | GEO 1 (% v/w) | CSNP (% wt. PEC) | T80 1 (% wt.) |
|---|---|---|---|---|
| PGEO | 2.0 | 1.0 | - | - |
| PGEO@T80 | 2.0 | 1.0 | - | 1.0 |
| PGEO@CSNP | 2.0 | 1.0 | 10 | - |
| PGEO@T80@CSNP | 2.0 | 1.0 | 10 | 1.0 |
Disclaimer/Publisher’s Note: The statements, opinions and data contained in all publications are solely those of the individual author(s) and contributor(s) and not of MDPI and/or the editor(s). MDPI and/or the editor(s) disclaim responsibility for any injury to people or property resulting from any ideas, methods, instructions or products referred to in the content. |
© 2023 by the authors. Licensee MDPI, Basel, Switzerland. This article is an open access article distributed under the terms and conditions of the Creative Commons Attribution (CC BY) license (https://creativecommons.org/licenses/by/4.0/).
Share and Cite
dos Santos, V.S.; Lorevice, M.V.; Baccarin, G.S.; da Costa, F.M.; da Silva Fernandes, R.; Aouada, F.A.; de Moura, M.R. Combining Chitosan Nanoparticles and Garlic Essential Oil as Additive Fillers to Produce Pectin-Based Nanocomposite Edible Films. Polymers 2023, 15, 2244. https://doi.org/10.3390/polym15102244
dos Santos VS, Lorevice MV, Baccarin GS, da Costa FM, da Silva Fernandes R, Aouada FA, de Moura MR. Combining Chitosan Nanoparticles and Garlic Essential Oil as Additive Fillers to Produce Pectin-Based Nanocomposite Edible Films. Polymers. 2023; 15(10):2244. https://doi.org/10.3390/polym15102244
Chicago/Turabian Styledos Santos, Vanessa Solfa, Marcos Vinicius Lorevice, Graziela Solferini Baccarin, Fabíola Medeiros da Costa, Renan da Silva Fernandes, Fauze A. Aouada, and Márcia Regina de Moura. 2023. "Combining Chitosan Nanoparticles and Garlic Essential Oil as Additive Fillers to Produce Pectin-Based Nanocomposite Edible Films" Polymers 15, no. 10: 2244. https://doi.org/10.3390/polym15102244
APA Styledos Santos, V. S., Lorevice, M. V., Baccarin, G. S., da Costa, F. M., da Silva Fernandes, R., Aouada, F. A., & de Moura, M. R. (2023). Combining Chitosan Nanoparticles and Garlic Essential Oil as Additive Fillers to Produce Pectin-Based Nanocomposite Edible Films. Polymers, 15(10), 2244. https://doi.org/10.3390/polym15102244

