Designing of Hollow Core Grapefruit Fiber Using Cyclo Olefin Polymer for the Detection of Fuel Adulteration in Terahertz Region
Abstract
1. Introduction
2. Sensor Geometry and Methodology
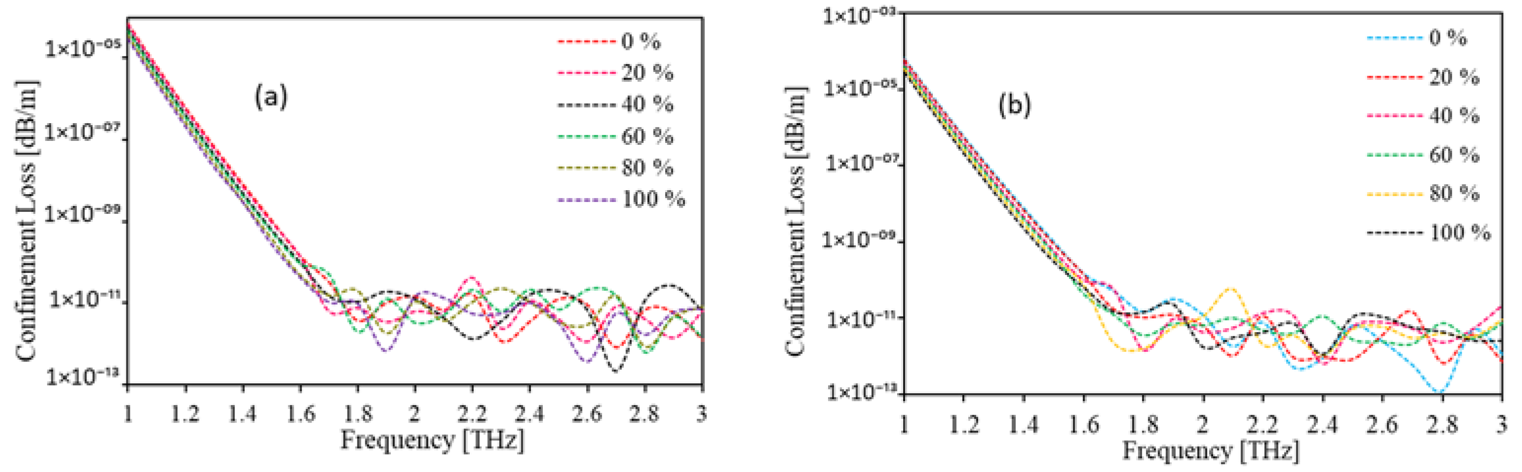
3. Results and Discussion
4. Conclusions
Author Contributions
Funding
Institutional Review Board Statement
Informed Consent Statement
Data Availability Statement
Acknowledgments
Conflicts of Interest
References
- Pakarzadeh, H.; Rezaei, S.; Namroodi, L. Hollow-core photonic crystal fibers for efficient terahertz transmission. Opt. Commun. 2019, 433, 81–88. [Google Scholar] [CrossRef]
- Zhang, J.; Grischkowsky, D. Waveguide terahertz time-domain spectroscopy of nanometer water layers. Opt. Lett. 2004, 29, 1617–1619. [Google Scholar] [CrossRef] [PubMed]
- Abbott, D.; Zhang, X.-C. Special issue on t-ray imaging, sensing, and retection. Proc. IEEE 2007, 95, 1509–1513. [Google Scholar] [CrossRef]
- Cook, D.J.; Decker, B.K.; Allen, M.G. Quantitative thz spectroscopy of explosive materials. In Optical Terahertz Science and Technology; Optical Society of America: Orlando, FL, USA, 2005; p. MA6. [Google Scholar]
- Strachan, C.J.; Taday, P.F.; Newnham, D.A.; Gordon, K.C.; Zeitler, J.A.; Pepper, M.; Rades, T. Using terahertz pulsed spectroscopy to quantify pharmaceutical polymorphism and crystallinity. J. Pharm. Sci. 2005, 94, 837–846. [Google Scholar] [CrossRef] [PubMed]
- Nagel, M.; Bolivar, P.H.; Brucherseifer, M.; Kurz, H.; Bosserhoff, A.; Büttner, R. Integrated thz technology for label-free genetic diagnostics. Appl. Phys. Lett. 2002, 80, 154–156. [Google Scholar] [CrossRef]
- Drukteinis, J.S.; Mooney, B.P.; Flowers, C.I.; Gatenby, R.A. Beyond mammography: New frontiers in breast cancer screening. Am. J. Med. 2013, 126, 472–479. [Google Scholar] [CrossRef]
- Yu, C.; Fan, S.; Sun, Y.; Pickwell-MacPherson, E. The potential of terahertz imaging for cancer diagnosis: A review of investigations to date. Quant. Imaging Med. Surg. 2012, 2, 33–45. [Google Scholar]
- Cheon, H.; Yang, H.-J.; Son, J.-H. Toward clinical cancer imaging using terahertz spectroscopy. IEEE J. Sel. Top. Quantum Electron. 2017, 23, 1–9. [Google Scholar] [CrossRef]
- Rahman, A.; Rahman, A.K.; Rao, B. Early detection of skin cancer via terahertz spectral profiling and 3d imaging. Biosens. Bioelectron. 2016, 82, 64–70. [Google Scholar] [CrossRef]
- Miura, Y.; Kamataki, A.; Uzuki, M.; Sasaki, T.; Nishizawa, J.-I.; Sawai, T. Terahertz-wave spectroscopy for precise histopathological imaging of tumor and non-tumor lesions in paraffin sections. Tohoku J. Exp. Med. 2011, 223, 291–296. [Google Scholar] [CrossRef]
- Cerqueira, S.A. Recent progress and novel applications of photonic crystal fibers. Rep. Prog. Phys. 2010, 73, 024401. [Google Scholar] [CrossRef]
- Wang, X.-D.; Wolfbeis, O.S. Fiber-optic chemical sensors and biosensors. Anal. Chem. 2016, 88, 203–227. [Google Scholar] [CrossRef] [PubMed]
- Barh, A.; Pal, B.P.; Agarwall, G.P.; Varshney, R.K.; Rahman, B.M.A. Specialty fibers for terahertz generation and transmission: A review. IEEE J. Sel. Top. Quantum Electron. 2016, 22, 3656–4379. [Google Scholar] [CrossRef]
- Guo, Q.; Chang, T.; Geng, G.; Jia, C.; Cui, H. A high precision terahertz wave image reconstruction algorithm. Sensors 2016, 16, 1139. [Google Scholar] [CrossRef]
- Chen, D. Stable multi-wavelength erbium-doped fiber laser based on a photonic crystal fiber Sagnac loop filter. Laser Phys. Lett. 2007, 4, 437. [Google Scholar] [CrossRef]
- Pakarzadeh, H.; Sharifian, M. Modelling of a variable optical switch based on the parametric amplification in a photonic crystal fibre. J. Mod. Opt. 2018, 65, 1855–1859. [Google Scholar] [CrossRef]
- Pakarzadeh, H.; Taghizadeh, M.; Hatami, M. Designing a photonic crystal fiber for an ultra-broadband parametric amplification in telecommunication region. J. Non. Opt. Phys. Mater. 2016, 25, 1650023-1–1650023-13. [Google Scholar] [CrossRef]
- Pinto, A.M.R.; Lopez-Amo, M. Photonic crystal fibers for sensing applications. J. Sens. 2012, 2012, 598178. [Google Scholar] [CrossRef]
- Jin, L.; Yan, H.; Dang, H.; Meng, F. Structure design and application of hollow core microstructured optical fiber gas sensor: A review. Opt. Laser Technol. 2021, 135, 106658. [Google Scholar]
- Yong, Z.; Lv, R.; Ying, Y.; Wang, Q. Hollow-core photonic crystal fiber Fabry–Perot sensor for magnetic field measurement based on magnetic fluid. Opt. Laser Technol. 2012, 44, 899–902. [Google Scholar]
- Nannan, L.; Yao, J. A hollow-core photonic crystal fiber-based SPR sensor with large detection range. IEEE Photonics J. 2017, 9, 1–7. [Google Scholar]
- Ahasan, H.M.; Anower, M.S.; Abdulrazak, L.F.; Reza, M.S. Hollow core photonic crystal fiber for chemical identification in terahertz regime. Opt. Fiber Technol. 2019, 52, 101933. [Google Scholar]
- Richard, Z.; Pennetta, R.; Xie, S.; Russell, P.S.J. Flying particle microlaser and temperature sensor in hollow-core photonic crystal fiber. Opt. Lett. 2018, 43, 1479–1482. [Google Scholar]
- Huaping, G.; Song, H.; Zhang, S.; Jin, Y.; Dong, X. Curvature sensor based on hollow-core photonic crystal fiber Sagnac interferometer. IEEE Sens. J. 2003, 14, 777–780. [Google Scholar]
- Mahmoud, E.; Habib, M.; Anower, M.; Rashed, A.N.Z. Hollow core photonic crystal fiber (PCF)–Based optical sensor for blood component detection in terahertz spectrum. Braz. J. Phys. 2021, 51, 1017–1025. [Google Scholar]
- Rodrigues, P.A.M.; Baptista, J.M.; Santos, J.L.; Lopez-Amo, M.; Frazão, O. Micro-displacement sensor based on a hollow-core photonic crystal fiber. Sensors 2012, 12, 17497–17503. [Google Scholar]
- Arif, M.F.H.; Ahmed, K.; Asaduzzaman, S.; Azad, M.A.K. Design and optimization of photonic crystal fiber for liquid sensing applications. Photonic Sens. 2016, 6, 279–288. [Google Scholar] [CrossRef]
- Sultana, J.; Islam, M.S.; Ahmed, K.; Dinovitser, A.; Ng, B.W.-H.; Abbott, D. Terahertz detection of alcohol using a photonic crystal fiber sensor. Appl. Opt. 2018, 57, 2426–2433. [Google Scholar] [CrossRef]
- Paul, B.K.; Ahmed, K.; Vigneswaran, D.; Ahmed, F.; Roy, S.; Abbott, D. Quasi-photonic crystal fiber-based spectroscopic chemical sensor in the terahertz spectrum: Design and analysis. IEEE Sens. J. 2018, 18, 9948–9954. [Google Scholar] [CrossRef]
- Islam, M.S.; Sultana, J.; Rifat, A.A.; Dinovitser, A.; Ng, B.W.-H.; Abbott, D. Terahertz sensing in a hollow core photonic crystal fiber. IEEE Sens. J. 2018, 18, 4073–4080. [Google Scholar] [CrossRef]
- Mehedi, H.M.; Pandey, T.; Habib, M.A. Highly sensitive hollow-core fiber for spectroscopic sensing applications. Sens. Bio-Sens. Res. 2021, 34, 100456. [Google Scholar]
- Ekhlasur, R.M.; Hossain, M.B.; Mondal, H.S.; Saha, R.; Hossain, M.M.; Ahsan, M.S. Highly sensitive photonic crystal fiber liquid sensor in terahertz frequency range. Mater. Today Proc. 2021, 43, 3815–3820. [Google Scholar] [CrossRef]
- Hossain, S.; Mollah, A.; Hosain, K.; Ankan, I.M. THz spectroscopic sensing of liquid chemicals using hollow-core anti-resonant fiber. OSA Contin. 2021, 4, 621–632. [Google Scholar] [CrossRef]
- Ankan, I.M.; Mollah, M.A.; Sultana, J.; Islam, M.S. Negative curvature hollow-core anti-resonant fiber for terahertz sensing. Appl. Opt. 2020, 59, 8519–8525. [Google Scholar] [CrossRef]
- Lam, N.L.; Smith, K.R.; Gauthier, A.; Bates, M.N. Kerosene: A review of household uses and their hazards in low- and middle-income countries. J. Toxicol. Environ. Health Part B 2012, 15, 396432. [Google Scholar] [CrossRef]
- Sadat, A. Determining the adulteration of diesel by an optical method. Int. J. Comput. Appl. 2014, 100, 34–36. [Google Scholar] [CrossRef]
- Johnson, D.R.; Heltzel, R.; Nix, A.C.; Clark, N.; Darzi, M. Regulated gaseous emissions from in-use high horsepower drilling and hydraulic fracturing engines. J. Pollut. Eff. Control 2017, 5, 187. [Google Scholar] [CrossRef]
- Bahari, M.S.; Criddle, W.J.; Thomas, J.D.R. Spectrophotometric end-point phase-titration determination of the adulteration of petrol with kerosene. Anal. Proc. 1991, 28, 1416. [Google Scholar]
- Sharma, R.K.; Gupta, A.K. Detection/estimation of adulteration in gasoline and diesel using ultrasonics. In Proceedings of the Second International Conference on Industrial and Information Systems, ICIIS 2007, Peradeniya, Sri Lanka, 8–11 August 2007. [Google Scholar]
- Ahmed, K.; Jabin, M.A.; Paul, B.K. Surface plasmon resonance-based gold-coated biosensor for the detection of fuel adulteration. J. Comput. Electron. 2020, 19, 321–332. [Google Scholar] [CrossRef]
- Habib, M.A.; Reyes-Vera, E.; Villegas-Aristizabal, J.; Anower, M.S. Numerical Modeling of a Rectangular Hollow-Core Waveguide for the Detection of Fuel Adulteration in Terahertz Region. Fibers 2020, 8, 63. [Google Scholar] [CrossRef]
- Islam, M.S.; Cordeiro, C.M.B.; Nine, M.J.; Sultana, J.; Cruz, A.L.S.; Dinovitser, A.; Ng, B.W.-H.; Ebendorff-Heidepriem, H.; Losic, D.; Abbott, D.; et al. Experimental study on glass and polymers: Determining the optimal material for potential use in terahertz technology. IEEE Access 2020, 8, 97204–97214. [Google Scholar] [CrossRef]
- Islam, M.S.; Sultana, J.; Atai, J.; Abbott, D.; Rana, S.; Islam, M.R. Ultra low-loss hybrid core porous fiber for broadband applications. Appl. Opt. 2017, 56, 1232–1237. [Google Scholar] [CrossRef]
- Bisen, R.T.; Trevor, D.J. Solgel-derived micro-structured fibers: Fabrication and characterization. In Proceedings of the Optical Fiber Communication Conference, Anaheim, CA, USA, 6–11 March 2005. [Google Scholar]
- Cho, T.-a.; Kim, G.-i.; Lee, K.-w.; Lee, S.-a.; Jeong, J.-e. Study on the Fabrication Process of Polarization Maintaining Photonic Crystal Fibers and Their Optical Properties. J. Opt. Soc. Korea 2008, 12, 19–24. [Google Scholar] [CrossRef]
- Bao, H.; Nielsen, K.; Rasmussen, H.K.; Jepsen, P.U.; Bang, O. Fabrication and characterization of porous-core honeycomb bandgap THz fibers. Opt. Express 2012, 20, 29507–29517. [Google Scholar] [CrossRef] [PubMed]
- Kolyadin, A.N.; Kosolapov, A.F.; Pryamikov, A.D.; Biriukov, A.S.; Plotnichenko, V.G.; Dianov, E.M. Light transmission in negative curvature hollow core fiber in extremely high material loss region. Opt. Express 2013, 21, 9514–9519. [Google Scholar] [CrossRef] [PubMed]
- Carter, R.M.; Yu, F.; Wadsworth, W.J.; Shephard, J.D.; Birks, T.; Knight, J.C.; Hand, D.P. Measurement of resonant bend loss in anti-resonant hollow core optical fiber. Opt. Express 2017, 25, 20612–20621. [Google Scholar] [CrossRef]
- Ventura, A.; Hayashi, J.G.; Cimek, J.; Slimen, F.B.; White, N.; Sakr, H.; Wheeler, N.V.; Poletti, F. Tellurite antiresonant hollow core microstructured fiber for mid-ir power delivery. In Laser Science; Optical Society of America: Orlando, FL, USA, 2019; p. JTu4A-17. [Google Scholar]
- Cruz, A.L.; Serrão, V.A.; Barbosa, C.L.; Franco, M.A.; Cordeiro, C.M.; Argyros, A.; Tang, X. 3D printed hollow core fiber with negative curvature for terahertz applications. J. Microw. Optoelectron. Electromagn. Appl.(JMOe) 2015, 14, 45–53. [Google Scholar]
- Smith, S.W.; Heidepriem, H.E.; Foo, T.C.; Moore, R.; Davis, C.; Monro, T.M. Exposed-core microstructured optical fibers for real-time fluorescence sensing. Opt. Express 2009, 17, 18533–18542. [Google Scholar] [CrossRef]
- Hoang Tuan, T.; Nishiharaguchi, N.; Suzuki, T.; Ohishi, Y. Fabrication of a Novel Tellurite Hollow Core Optical Fiber and Supercontinuum Light Propagation in Its Hollow Core. In Proceedings of the International Conference on Optical Communication Systems, Vila Nova de Gaia, Portugal, 26–28 July 2018. [Google Scholar]
- Wang, Y.; Liao, C.; Wang, D. Femtosecond laser-assisted selective infiltration of microstructured optical fibers. Opt Express 2010, 18, 18056–18060. [Google Scholar] [CrossRef]
- Wang, F.; Yuan, W.; Hansen, O.; Bang, O. Selective filling of photonic crystal fibers using focused ion beam milled microchannels. Opt. Express 2011, 19, 17585–17890. [Google Scholar] [CrossRef]
- Nielsen, K.; Noordegraaf, D.; Sørensen, T.; Bjarklev, A.; Hansen, T.P. Selective filling of photonic crystal fibres. J. Opt. A Pure Appl. Opt. 2005, 7, L13. [Google Scholar] [CrossRef]
- Izaddeen, K.Y.; Abas, P.E.; Begum, F. Proposal of novel photonic crystal fibre for sensing adulterated petrol and diesel with kerosene in terahertz frequencies. IET Optoelectron. 2020, 14, 319–326. [Google Scholar]
- Al-Mamun, B.A.; Rashed, A.N.Z.; El-Hageen, H.M.; Alatwi, A.M. Design and numerical analysis of an extremely sensitive PCF-based sensor for detecting kerosene adulteration in petrol and diesel. Alex. Eng. J. 2021, 60, 5419–5430. [Google Scholar]















| Percentage of Kerosene (% v/v) in Petrol | Refractive Index (RI) |
|---|---|
| 0 (Neat sample of Petrol) | 1.418 |
| 20 | 1.421 |
| 40 | 1.427 |
| 60 | 1.430 |
| 80 | 1.435 |
| 100 (Neat sample of Kerosene) | 1.440 |
| Dc (µm) | Sensitivity (%) | D (µm) | Sensitivity (%) | t (µm) | Sensitivity (%) | |||
|---|---|---|---|---|---|---|---|---|
| Circular Core | Hexagonal Core | Circular Core | Hexagonal Core | Circular Core | Hexagonal Core | |||
| 260 | 86.01527 | 91.53090548 | 628.43 | 93.49685 | 97.26752 | 11 | 94.51338 | 97.41435 |
| 265 | 88.17886 | 93.27275048 | 630.43 | 93.49685 | 97.26752 | 12 | 94.26435 | 97.37572 |
| 270 | 90.15067 | 94.8031505 | 632.43 | 93.49685 | 97.26752 | 13 | 94.00766 | 97.34298 |
| 275 | 91.92119 | 96.1305311 | 634.43 | 93.49685 | 97.26752 | 14 | 93.75659 | 97.30921 |
| 280 | 93.49685 | 97.26751918 | 636.43 | 93.49685 | 97.26752 | 15 | 93.49685 | 97.26752 |
| 285 | 94.88405 | 98.22992395 | 638.43 | 93.49685 | 97.26752 | 16 | 93.24272 | 97.23274 |
| 290 | 96.08930 | 99.03263884 | 640.43 | 93.49685 | 97.26752 | 17 | 92.98095 | 97.18900 |
| Kerosene Percentage (% v/v) in Petrol | RS (%) for Circular Core | RS (%) for Hexagonal Core |
|---|---|---|
| 0 | 91.76 | 96.42 |
| 20 | 92.02 | 96.54 |
| 40 | 92.52 | 96.79 |
| 60 | 92.76 | 96.90 |
| 80 | 93.13 | 97.09 |
| 100 | 93.50 | 97.27 |
| Ref. | Operating Point | Considered Percentage of Kerosene (% v/v) in Petrol | RS (%) | EML (dB/cm) | CL (dB/m) |
|---|---|---|---|---|---|
| [41] | - | 10–50 | 98.36 | - | - |
| [42] | 2.8 THz | 0–100 | 89.40 | 0.095 | 10−8 |
| [57] | 1 THz | 0–100 | 96.40 | 0.014 | 3.86 × 10−5 |
| [58] | 2.5 THz | 0–100 | 98.68 | 0.034 | 4.12 × 10−14 |
| This Work | 2.0 THz | 0–100 | 97.27 | 0.026 | 10−10 |
Disclaimer/Publisher’s Note: The statements, opinions and data contained in all publications are solely those of the individual author(s) and contributor(s) and not of MDPI and/or the editor(s). MDPI and/or the editor(s) disclaim responsibility for any injury to people or property resulting from any ideas, methods, instructions or products referred to in the content. |
© 2022 by the authors. Licensee MDPI, Basel, Switzerland. This article is an open access article distributed under the terms and conditions of the Creative Commons Attribution (CC BY) license (https://creativecommons.org/licenses/by/4.0/).
Share and Cite
Hossain, S.; Mollah, M.A.; Hosain, M.K.; Islam, M.S.; Alkhateeb, A.F. Designing of Hollow Core Grapefruit Fiber Using Cyclo Olefin Polymer for the Detection of Fuel Adulteration in Terahertz Region. Polymers 2023, 15, 151. https://doi.org/10.3390/polym15010151
Hossain S, Mollah MA, Hosain MK, Islam MS, Alkhateeb AF. Designing of Hollow Core Grapefruit Fiber Using Cyclo Olefin Polymer for the Detection of Fuel Adulteration in Terahertz Region. Polymers. 2023; 15(1):151. https://doi.org/10.3390/polym15010151
Chicago/Turabian StyleHossain, Sakawat, Md. Aslam Mollah, Md. Kamal Hosain, Md. Shofiqul Islam, and Abdulhameed Fouad Alkhateeb. 2023. "Designing of Hollow Core Grapefruit Fiber Using Cyclo Olefin Polymer for the Detection of Fuel Adulteration in Terahertz Region" Polymers 15, no. 1: 151. https://doi.org/10.3390/polym15010151
APA StyleHossain, S., Mollah, M. A., Hosain, M. K., Islam, M. S., & Alkhateeb, A. F. (2023). Designing of Hollow Core Grapefruit Fiber Using Cyclo Olefin Polymer for the Detection of Fuel Adulteration in Terahertz Region. Polymers, 15(1), 151. https://doi.org/10.3390/polym15010151

