Polymer Nanocomposite Membrane for Wastewater Treatment: A Critical Review
Abstract
:1. Introduction
2. Polymer Nanocomposite Membrane
3. Application of Polymer Nanocomposite Membrane
3.1. Automotive Industry
3.2. Food Industry
3.3. Beverage Industry
3.4. Pharmaceutical Industry
3.5. Wastewater Treatment
4. Water Treatment in Different Countries
4.1. Technology Used for Wastewater Treatment
4.2. Reuse of Wastewater in Irrigation
5. Conclusions and Outlook
Author Contributions
Funding
Institutional Review Board Statement
Informed Consent Statement
Data Availability Statement
Acknowledgments
Conflicts of Interest
References
- Elimelech, M. The global challenge for adequate and safe water. J. Water Supply Res. Technol.—AQUA 2006, 55, 3–10. [Google Scholar] [CrossRef]
- Werber, J.R.; Osuji, C.O.; Elimelech, M. Materials for next-generation desalination and water purification membranes. Nat. Rev. Mater. 2016, 1, 1–15. [Google Scholar] [CrossRef]
- Rashid, R.; Shafiq, I.; Akhter, P.; Iqbal, M.J.; Hussain, M. A state-of-the-art review on wastewater treatment techniques: The effectiveness of adsorption method. Environ. Sci. Pollut. Res. 2021, 28, 9050–9066. [Google Scholar] [CrossRef] [PubMed]
- Sarkar, S.; Chakraborty, S. Nanocomposite polymeric membrane a new trend of water and wastewater treatment: A short review. Groundw. Sustain. Dev. 2021, 12, 100533. [Google Scholar] [CrossRef]
- Cumings, J.N. Biochemical Aspects; Proc. R. Soc. Med.; University of Kansas Medical Center: Kansas City, MO, USA, 1962; Volume 55, ISBN 9789241549950. [Google Scholar]
- Sales, C.M.; Lee, P.K.H. Resource recovery from wastewater: Application of meta-omics to phosphorus and carbon management. Curr. Opin. Biotechnol. 2015, 33, 260–267. [Google Scholar] [CrossRef]
- Spoială, A.; Ilie, C.I.; Ficai, D.; Ficai, A.; Andronescu, E. Chitosan-based nanocomposite polymeric membranes for water purification—A review. Materials 2021, 14, 2091. [Google Scholar] [CrossRef]
- Zhang, Y.; Ye, L.; Zhao, W.; Chen, L.; Zhang, M.; Yang, G.; Zhang, H. Antifouling mechanism of the additive-free β-PVDF membrane in water purification process: Relating the surface electron donor monopolarity to membrane-foulant interactions. J. Memb. Sci. 2020, 601, 117873–117883. [Google Scholar] [CrossRef]
- Tan, Z.; Chen, S.; Peng, X.; Zhang, L.; Gao, C. Polyamide membranes with nanoscale Turing structures for water purification. Science 2018, 360, 518–521. [Google Scholar] [CrossRef] [Green Version]
- Nasreen, S.A.A.N.; Sundarrajan, S.; Syed Nizar, S.A.; Balamurugan, R.; Ramakrishna, S. In situ polymerization of PVDF-HEMA polymers: Electrospun membranes with improved flux and antifouling properties for water filtration. Polym. J. 2014, 46, 167–174. [Google Scholar] [CrossRef]
- Li, X.; Yang, W.; Li, H.; Wang, Y.; Bubakir, M.M.; Ding, Y.; Zhang, Y. Water filtration properties of novel composite membranes combining solution electrospinning and needleless melt electrospinning methods. J. Appl. Polym. Sci. 2015, 132, 1–8. [Google Scholar] [CrossRef]
- Elele, E.; Shen, Y.; Tang, J.; Lei, Q.; Khusid, B.; Tkacik, G.; Carbrello, C. Mechanical properties of polymeric microfiltration membranes. J. Memb. Sci. 2019, 591, 117351. [Google Scholar] [CrossRef]
- Ong, C.S.; Lay, H.T.; Tamilselvam, N.R.; Chew, J.W. Cross-Linked Polycarbonate Microfiltration Membranes with Improved Solvent Resistance. Langmuir 2021, 37, 4025–4032. [Google Scholar] [CrossRef] [PubMed]
- Yan, L.; Li, Y.S.; Xiang, C.B.; Xianda, S. Effect of nano-sized Al2O3-particle addition on PVDF ultrafiltration membrane performance. J. Memb. Sci. 2006, 276, 162–167. [Google Scholar] [CrossRef]
- Orooji, Y.; Movahedi, A.; Liu, Z.; Asadnia, M.; Ghasali, E.; Ganjkhanlou, Y.; Razmjou, A.; Karimi-Maleh, H.; Kiadeh, N.T.H. Luminescent film: Biofouling investigation of tetraphenylethylene blended polyethersulfone ultrafiltration membrane. Chemosphere 2021, 267, 128871. [Google Scholar] [CrossRef]
- Johari, N.A.; Yusof, N.; Lau, W.J.; Abdullah, N.; Salleh, W.N.W.; Jaafar, J.; Aziz, F.; Ismail, A.F. Polyethersulfone ultrafiltration membrane incorporated with ferric-based metal-organic framework for textile wastewater treatment. Sep. Purif. Technol. 2021, 270, 118819. [Google Scholar] [CrossRef]
- Li, Q.; Elimelech, M. Organic fouling and chemical cleaning of nanofiltration membranes: Measurements and mechanisms. Environ. Sci. Technol. 2004, 38, 4683–4693. [Google Scholar] [CrossRef]
- Zhang, L.; Zhang, R.; Ji, M.; Lu, Y.; Zhu, Y.; Jin, J. Polyamide nanofiltration membrane with high mono/divalent salt selectivity via pre-diffusion interfacial polymerization. J. Memb. Sci. 2021, 636, 119478. [Google Scholar] [CrossRef]
- Tang, C.Y.; Fu, Q.S.; Criddle, C.S.; Leckie, J.O. Effect of flux (transmembrane pressure) and membrane properties on fouling and rejection of reverse osmosis and nanofiltration membranes treating perfluorooctane sulfonate containing wastewater. Environ. Sci. Technol. 2007, 41, 2008–2014. [Google Scholar] [CrossRef]
- Srivastava, A.; Nair, A.; Ram, S.; Agarwal, S.; Ali, J.; Singh, R.; Garg, M.C. Response surface methodology and artificial neural network modelling for the performance evaluation of pilot-scale hybrid nanofiltration (NF) & reverse osmosis (RO) membrane system for the treatment of brackish ground water. J. Environ. Manag. 2021, 278, 111497. [Google Scholar] [CrossRef]
- Elazhar, F.; Elazhar, M.; El Filali, N.; Belhamidi, S.; Elmidaoui, A.; Taky, M. Potential of hybrid NF-RO system to enhance chloride removal and reduce membrane fouling during surface water desalination. Sep. Purif. Technol. 2021, 261, 118299. [Google Scholar] [CrossRef]
- Behboudi, A.; Jafarzadeh, Y.; Yegani, R. Polyvinyl chloride/polycarbonate blend ultrafiltration membranes for water treatment. J. Memb. Sci. 2017, 534, 18–24. [Google Scholar] [CrossRef]
- Jafarzadeh, Y.; Yegani, R.; Sedaghat, M. Preparation, characterization and fouling analysis of ZnO/polyethylene hybrid membranes for collagen separation. Chem. Eng. Res. Des. 2015, 94, 417–427. [Google Scholar] [CrossRef]
- Chen, R.S.; Ab Ghani, M.H.; Ahmad, S.; Tarawneh, M.A.; Gan, S. Tensile, thermal degradation and water diffusion behaviour of gamma-radiation induced recycled polymer blend/rice husk composites: Experimental and statistical analysis. Compos. Sci. Technol. 2021, 207, 108748. [Google Scholar] [CrossRef]
- Etemadi, H.; Afsharkia, S.; Zinatloo-Ajabshir, S.; Shokri, E. Effect of alumina nanoparticles on the antifouling properties of polycarbonate-polyurethane blend ultrafiltration membrane for water treatment. Polym. Eng. Sci. 2021, 61, 2364–2375. [Google Scholar] [CrossRef]
- Vatanpour, V.; Mousavi Khadem, S.S.; Dehqan, A.; Al-Naqshabandi, M.A.; Ganjali, M.R.; Sadegh Hassani, S.; Rashid, M.R.; Saeb, M.R.; Dizge, N. Efficient removal of dyes and proteins by nitrogen-doped porous graphene blended polyethersulfone nanocomposite membranes. Chemosphere 2021, 263, 127892. [Google Scholar] [CrossRef] [PubMed]
- Mahmoudian, M.; Kochameshki, M.G. The performance of polyethersulfone nanocomposite membrane in the removal of industrial dyes. Polymer 2021, 224, 123693. [Google Scholar] [CrossRef]
- Ghorbani, M.; Hassan Vakili, M.; Ameri, E. Fabrication and evaluation of a biopolymer-based nanocomposite membrane for oily wastewater treatment. Mater. Today Commun. 2021, 28, 102560. [Google Scholar] [CrossRef]
- Huang, X.; Wang, R.; Jiao, T.; Zou, G.; Zhan, F.; Yin, J.; Zhang, L.; Zhou, J.; Peng, Q. Facile Preparation of Hierarchical AgNP-Loaded MXene/Fe3O4 Polymer Nanocomposites by Electrospinning with Enhanced Catalytic Performance for Wastewater Treatment. ACS Omega 2019, 4, 1897–1906. [Google Scholar] [CrossRef] [Green Version]
- Amiri, S.; Asghari, A.; Vatanpour, V.; Rajabi, M. Fabrication and characterization of a novel polyvinyl alcohol-graphene oxide-sodium alginate nanocomposite hydrogel blended PES nanofiltration membrane for improved water purification. Sep. Purif. Technol. 2020, 250, 117216. [Google Scholar] [CrossRef]
- Irani, E.; Amoli-Diva, M. Hybrid adsorption–photocatalysis properties of quaternary magneto-plasmonic ZnO/MWCNTs nanocomposite for applying synergistic photocatalytic removal and membrane filtration in industrial wastewater treatment. J. Photochem. Photobiol. A Chem. 2020, 391, 112359. [Google Scholar] [CrossRef]
- Okoli, C.P.; Ofomaja, A.E. Development of sustainable magnetic polyurethane polymer nanocomposite for abatement of tetracycline antibiotics aqueous pollution: Response surface methodology and adsorption dynamics. J. Clean. Prod. 2019, 217, 42–55. [Google Scholar] [CrossRef]
- Javadi, M.; Jafarzadeh, Y.; Yegani, R.; Kazemi, S. PVDF membranes embedded with PVP functionalized nanodiamond for pharmaceutical wastewater treatment. Chem. Eng. Res. Des. 2018, 140, 241–250. [Google Scholar] [CrossRef]
- Hosseini, S.A.; Vossoughi, M.; Mahmoodi, N.M.; Sadrzadeh, M. Clay-based electrospun nanofibrous membranes for colored wastewater treatment. Appl. Clay Sci. 2019, 168, 77–86. [Google Scholar] [CrossRef]
- Zhao, Q.; Zhao, D.L.; Chung, T.S. Thin-film nanocomposite membranes incorporated with defective ZIF-8 nanoparticles for brackish water and seawater desalination. J. Memb. Sci. 2021, 625, 119158. [Google Scholar] [CrossRef]
- Liu, G.; Zhang, X.; Di Yuan, Y.; Yuan, H.; Li, N.; Ying, Y.; Peh, S.B.; Wang, Y.; Cheng, Y.; Cai, Y.; et al. Thin-Film Nanocomposite Membranes Containing Water-Stable Zirconium Metal-Organic Cages for Desalination. ACS Mater. Lett. 2021, 3, 268–274. [Google Scholar] [CrossRef]
- Ramokgopa, S.K.; Sikhwivhilu, K.; Moutloali, R.M.; Moothi, K. Process optimisation through Response Surface Methodology for treatment of acid mine drainage using carbon nanotubes-infused thin film nanocomposite membranes. Phys. Chem. Earth 2021, 124, 103008–103020. [Google Scholar] [CrossRef]
- Rafiei, H.; Abbasian, M.; Yegani, R. Polyvinylidene fluoride as a neat and the synthesized novel membranes based on PVDF/polyvinyl pyrrolidone polymer grafted with TiO2 nanoparticles through RAFT method for water purification. Iran. Polym. J. 2021, 30, 769–780. [Google Scholar] [CrossRef]
- Tran, B.N.; Thickett, S.C.; Agarwal, V.; Zetterlund, P.B. Influence of Polymer Matrix on Polymer/Graphene Oxide Nanocomposite Intrinsic Properties. ACS Appl. Polym. Mater. 2021, 3, 5145–5154. [Google Scholar] [CrossRef]
- Song, N.; Wang, Q.; Jiao, D.; Pan, H.; Shi, L.; Ding, P. Highly thermally conductive SiO2-coated NFC/BNNS hybrid films with water resistance. Compos. Part A Appl. Sci. Manuf. 2021, 143, 106261–106271. [Google Scholar] [CrossRef]
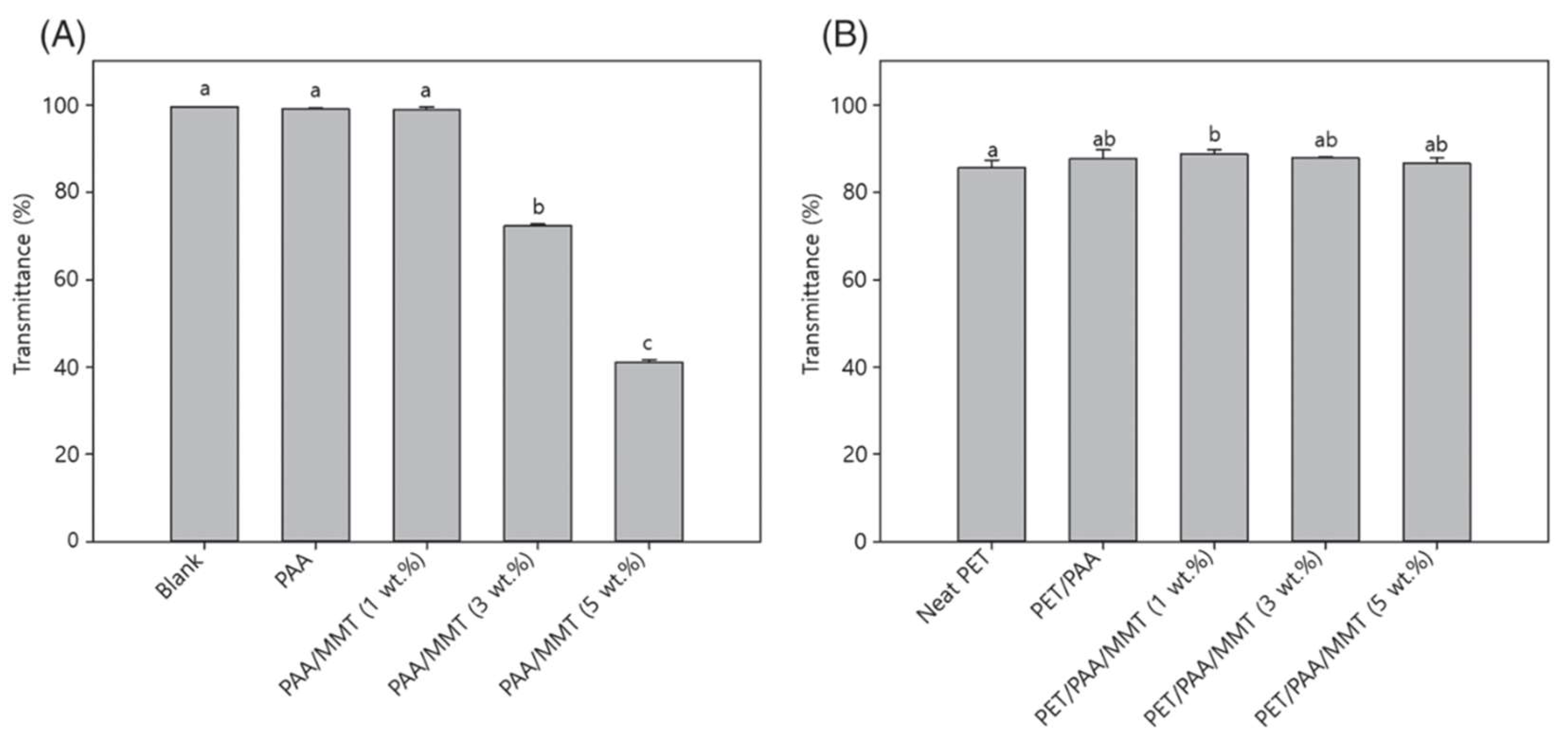
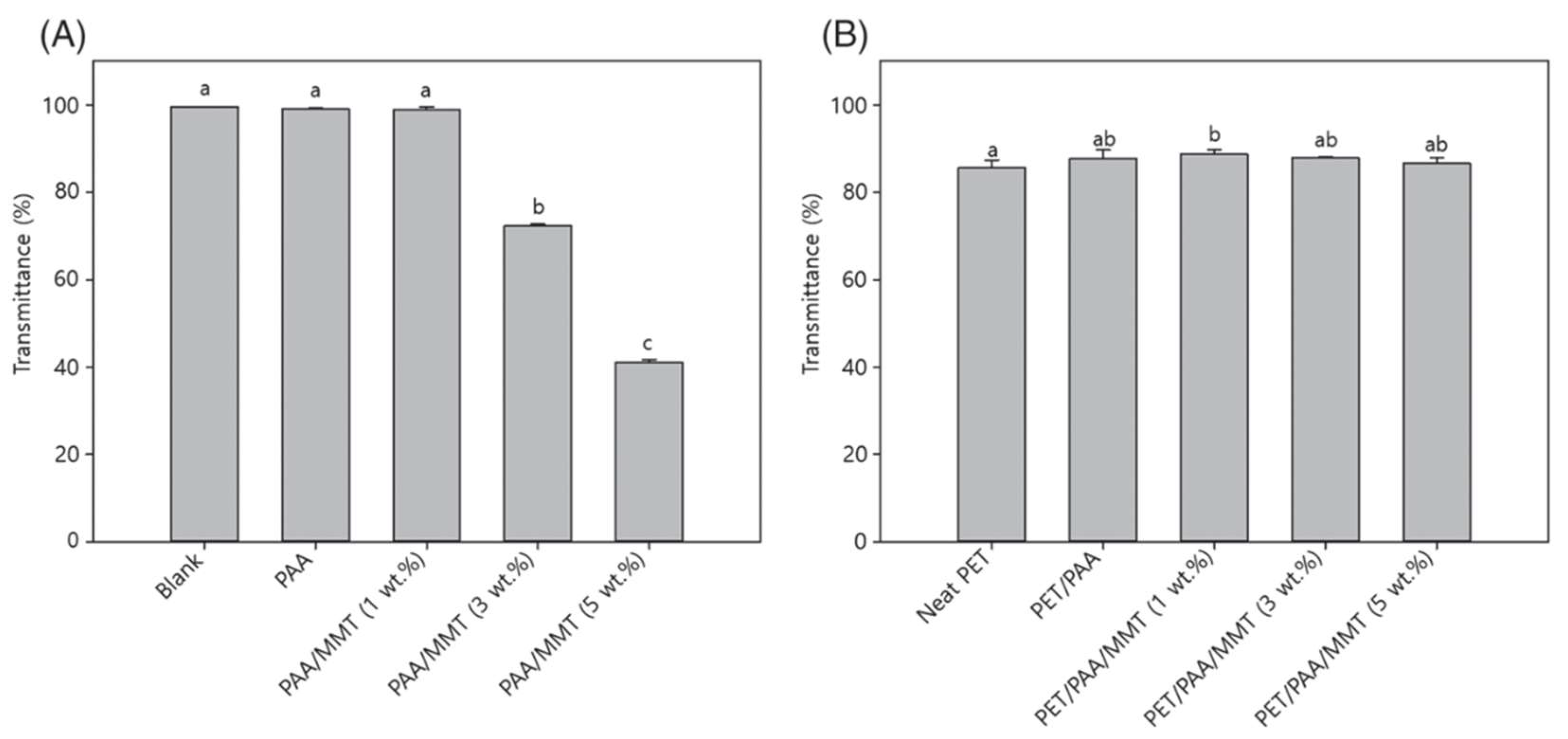
- Lim, J.W.; Lim, W.S.; Lee, M.H.; Park, H.J. Barrier and structural properties of polyethylene terephthalate film coated with poly(acrylic acid)/montmorillonite nanocomposites. Packag. Technol. Sci. 2021, 34, 141–150. [Google Scholar] [CrossRef]
- Song, X.C.; Canellas, E.; Wrona, M.; Becerril, R.; Nerin, C. Comparison of two antioxidant packaging based on rosemary oleoresin and green tea extract coated on polyethylene terephthalate for extending the shelf life of minced pork meat. Food Packag. Shelf Life 2020, 26, 100588–100597. [Google Scholar] [CrossRef]
- Masmoudi, F.; Alix, S.; Buet, S.; Mehri, A.; Bessadok, A.; Jaziri, M.; Ammar, E. Design and Characterization of a New Food Packaging Material by Recycling Blends Virgin and Recovered polyethylene terephthalate. Polym. Eng. Sci. 2020, 60, 250–256. [Google Scholar] [CrossRef]
- Pardo-Figuerez, M.; López-Córdoba, A.; Torres-Giner, S.; Lagaron, J.M. Superhydrophobic Bio-Coating made by co-continuous electrospinning and electrospraying polyethylene terephthalate films proposed as easy emptying transparent food packaging. Coatings 2018, 8, 364. [Google Scholar] [CrossRef] [Green Version]
- Nambikkattu, J.; Kaleekkal, N.J.; Jacob, J.P. Metal ferrite incorporated polysulfone thin-film nanocomposite membranes for wastewater treatment. Environ. Sci. Pollut. Res. 2021, 28, 11915–11927. [Google Scholar] [CrossRef]
- Li, P.; Li, Y.X.; Wu, Y.Z.; Xu, Z.L.; Zhang, H.Z.; Gao, P.; Xu, S.J. Thin-film nanocomposite NF membrane with GO on macroporous hollow fiber ceramic substrate for efficient heavy metals removal. Environ. Res. 2021, 197, 111040–111052. [Google Scholar] [CrossRef]
- Dai, R.; Zhang, X.; Liu, M.; Wu, Z.; Wang, Z. Porous metal organic framework CuBDC nanosheet incorporated thin-film nanocomposite membrane for high-performance forward osmosis. J. Memb. Sci. 2019, 573, 46–54. [Google Scholar] [CrossRef]
- Mousavi, S.R.; Asghari, M.; Mahmoodi, N.M. Chitosan-wrapped multiwalled carbon nanotube as filler within PEBA thin film nanocomposite (TFN) membrane to improve dye removal. Carbohydr. Polym. 2020, 237, 116128–116139. [Google Scholar] [CrossRef]
- He, M.; Wang, L.; Lv, Y.; Wang, X.; Zhu, J.; Zhang, Y.; Liu, T. Novel polydopamine/metal organic framework thin film nanocomposite forward osmosis membrane for salt rejection and heavy metal removal. Chem. Eng. J. 2020, 389, 386–395. [Google Scholar] [CrossRef]
- Wen, Y.; Chen, Y.; Wu, Z.; Liu, M.; Wang, Z. Thin-film nanocomposite membranes incorporated with water stable metal-organic framework CuBTTri for mitigating biofouling. J. Memb. Sci. 2019, 582, 289–297. [Google Scholar] [CrossRef]
- Zhao, P.; Li, R.; Wu, W.; Wang, J.; Liu, J.; Zhang, Y. In-situ growth of polyvinylpyrrolidone modified Zr-MOFs thin-film nanocomposite (TFN) for efficient dyes removal. Compos. Part B Eng. 2019, 176, 107208–107218. [Google Scholar] [CrossRef]
- Yang, J.; Li, Z.; Wang, Z.; Yuan, S.; Li, Y.; Zhao, W.; Zhang, X. 2D Material Based Thin-Film Nanocomposite Membranes for Water Treatment. Adv. Mater. Technol. 2021, 6, 1–15. [Google Scholar] [CrossRef]
- Soo, K.W.; Wong, K.C.; Goh, P.S.; Ismail, A.F.; Othman, N. Efficient heavy metal removal by thin film nanocomposite forward osmosis membrane modified with geometrically different bimetallic oxide. J. Water Process Eng. 2020, 38, 101591–101604. [Google Scholar] [CrossRef]
- Ang, M.B.M.Y.; Trilles, C.A.; De Guzman, M.R.; Pereira, J.M.; Aquino, R.R.; Huang, S.H.; Hu, C.C.; Lee, K.R.; Lai, J.Y. Improved performance of thin-film nanocomposite nanofiltration membranes as induced by embedded polydopamine-coated silica nanoparticles. Sep. Purif. Technol. 2019, 224, 113–120. [Google Scholar] [CrossRef]
- Qiu, M.; He, C. Novel zwitterion-silver nanocomposite modified thin-film composite forward osmosis membrane with simultaneous improved water flux and biofouling resistance property. Appl. Surf. Sci. 2018, 455, 492–501. [Google Scholar] [CrossRef]
- Wei, S.; Chen, Y.; Hu, X.; Wang, C.; Huang, X.; Liu, D.; Zhang, Y. Monovalent/Divalent salts separation via thin film nanocomposite nanofiltration membrane containing aminated TiO2 nanoparticles. J. Taiwan Inst. Chem. Eng. 2020, 112, 169–179. [Google Scholar] [CrossRef]
- Khorshidi, B.; Biswas, I.; Ghosh, T.; Thundat, T.; Sadrzadeh, M. Robust fabrication of thin film polyamide-TiO2 nanocomposite membranes with enhanced thermal stability and anti-biofouling propensity. Sci. Rep. 2018, 8, 1–10. [Google Scholar] [CrossRef] [PubMed]
- Cheshomi, N.; Pakizeh, M.; Namvar-Mahboub, M. Preparation and characterization of TiO2/Pebax/(PSf-PES) thin film nanocomposite membrane for humic acid removal from water. Polym. Adv. Technol. 2018, 29, 1303–1312. [Google Scholar] [CrossRef]
- Thakur, C. Unification electrocoagulation-adsorption treatment for removal of COD and surfactant from automobile wastewater. Int. J. Chem. React. Eng. 2021, 19, 961–968. [Google Scholar] [CrossRef]
- Cüce, H.; Aydın Temel, F. Classical-Fenton and Photo-Fenton oxidation of wastewater arising from cosmetic automobile care products. Environ. Prog. Sustain. Energy 2021, 40, 1–10. [Google Scholar] [CrossRef]
- Boussu, K.; Van Baelen, G.; Colen, W.; Eelen, D.; Vanassche, S.; Vandecasteele, C.; Van Der Bruggen, B. Technical and economical evaluation of water recycling in the carwash industry with membrane processes. Water Sci. Technol. 2008, 57, 1131–1135. [Google Scholar] [CrossRef]
- Pinto, A.C.S.; de Barros Grossi, L.; de Melo, R.A.C.; de Assis, T.M.; Ribeiro, V.M.; Amaral, M.C.S.; de Souza Figueiredo, K.C. Carwash wastewater treatment by micro and ultrafiltration membranes: Effects of geometry, pore size, pressure difference and feed flow rate in transport properties. J. Water Process Eng. 2017, 17, 143–148. [Google Scholar] [CrossRef]
- Rodriguez Boluarte, I.A.; Andersen, M.; Pramanik, B.K.; Chang, C.Y.; Bagshaw, S.; Farago, L.; Jegatheesan, V.; Shu, L. Reuse of car wash wastewater by chemical coagulation and membrane bioreactor treatment processes. Int. Biodeterior. Biodegrad. 2016, 113, 44–48. [Google Scholar] [CrossRef]
- Gönder, Z.B.; Balcıoğlu, G.; Kaya, Y.; Vergili, I. Treatment of carwash wastewater by electrocoagulation using Ti electrode: Optimization of the operating parameters. Int. J. Environ. Sci. Technol. 2019, 16, 8041–8052. [Google Scholar] [CrossRef]
- Gönder, Z.B.; Balcıoğlu, G.; Vergili, I.; Kaya, Y. Electrochemical treatment of carwash wastewater using Fe and Al electrode: Techno-economic analysis and sludge characterization. J. Environ. Manag. 2017, 200, 380–390. [Google Scholar] [CrossRef] [PubMed]
- Gomes, A.J.; Das, K.K.; Jame, S.A.; Cocke, D.L. Treatment of truck wash water using electrocoagulation. Desalin. Water Treat. 2016, 57, 25991–26002. [Google Scholar] [CrossRef]
- Uçar, D. Membrane processes for the reuse of car washing wastewater. J. Water Reuse Desalin. 2018, 8, 169–175. [Google Scholar] [CrossRef] [Green Version]
- FAO. Africa Sustainable Livestock 2050; FAO: Rome, Italy, 2019; Volume 48. [Google Scholar]
- OECD; FAO. OECD-FAO Agricultural Outlook; OECD: Paris, France; FAO: Rome, Italy, 2019; ISBN 9789264083752. [Google Scholar]
- Aziz, A.; Basheer, F.; Sengar, A.; Irfanullah; Khan, S.U.; Farooqi, I.H. Biological wastewater treatment (anaerobic-aerobic) technologies for safe discharge of treated slaughterhouse and meat processing wastewater. Sci. Total Environ. 2019, 686, 681–708. [Google Scholar] [CrossRef]
- de Sena, R.F.; Tambosi, J.L.; Genena, A.K.; Moreira, R.; Moreira, F.P.M.; Schröder, H.F.; José, H.J. Treatment of meat industry wastewater using dissolved air flotation and advanced oxidation processes monitored by GC-MS and LC-MS. Chem. Eng. J. 2009, 152, 151–157. [Google Scholar] [CrossRef]
- Tenca, A.; Cusick, R.D.; Schievano, A.; Oberti, R.; Logan, B.E. Evaluation of low cost cathode materials for treatment of industrial and food processing wastewater using microbial electrolysis cells. Int. J. Hydrogen Energy 2013, 38, 1859–1865. [Google Scholar] [CrossRef]
- Morales-Rivera, J.; Sulbarán-Rangel, B.; Gurubel-Tun, K.J.; del Real-Olvera, J.; Zúñiga-Grajeda, V. Modeling and optimization of COD removal from cold meat industry wastewater by electrocoagulation using computational techniques. Processes 2020, 8, 1139. [Google Scholar] [CrossRef]
- Li, W.; Jia, M.X.; Deng, J.; Wang, J.H.; Lin, Q.L.; Liu, C.; Wang, S.S.; Tang, J.X.; Zeng, X.X.; Ma, L.; et al. Isolation, genetic identification and degradation characteristics of COD-degrading bacterial strain in slaughter wastewater. Saudi J. Biol. Sci. 2018, 25, 1800–1805. [Google Scholar] [CrossRef]
- Del Real-Olvera, J.; Morales-Rivera, J.; González-López, A.P.; Sulbarán-Rangel, B.; Zúñiga-Grajeda, V. Adsorption of organic pollutants from cold meat industry wastewater by electrochemical coagulation: Application of artificial neural networks. Water 2020, 12, 3040. [Google Scholar] [CrossRef]
- Aghababai Beni, A.; Esmaeili, A.; Behjat, Y. Invent of a simultaneous adsorption and separation process based on dynamic membrane for treatment Zn(II), Ni(II) and, Co(II) industrial wastewater. Arab. J. Chem. 2021, 14, 103231–103241. [Google Scholar] [CrossRef]
- Diez, V.; Cámara, J.M.; Ruiz, M.O.; Martínez, R.; Ramos, C. A novel jet-loop anaerobic filter membrane bioreactor treating raw slaughterhouse wastewater: Biological and filtration processes. Chem. Eng. J. 2021, 408, 127288–127300. [Google Scholar] [CrossRef]
- Kotsanopoulos, K.V.; Arvanitoyannis, I.S. Membrane Processing Technology in the Food Industry: Food Processing, Wastewater Treatment, and Effects on Physical, Microbiological, Organoleptic, and Nutritional Properties of Foods. Crit. Rev. Food Sci. Nutr. 2015, 55, 1147–1175. [Google Scholar] [CrossRef]
- Singh, G.M.; Micha, R.; Khatibzadeh, S.; Shi, P.; Lim, S.; Andrews, K.G.; Engell, R.E.; Ezzati, M.; Mozaffarian, D.; Global Burden of Diseases Nutrition and Chronic Diseases Expert Group. Global, Regional, and National Consumption of Sugar-Sweetened Beverages, Fruit Juices, and Milk: A Systematic Assessment of Beverage Intake in 187 Countries. PLoS ONE 2015, 10, 0124845–0124855. [Google Scholar]
- Muhamad Ng, S.N.; Idrus, S.; Ahsan, A.; Tuan Mohd Marzuki, T.N.; Mahat, S.B. Treatment of wastewater from a food and beverage industry using conventional wastewater treatment integrated with membrane bioreactor system: A pilot-scale case study. Membranes 2021, 11, 456. [Google Scholar] [CrossRef]
- FAO. FAO Processor Driven Integration of Small-Scale Farmers into Value Chains in Turkey; FAO: Rome, Italy, 2013. [Google Scholar]
- Amuda, O.S.; Amoo, I.A. Coagulation/flocculation process and sludge conditioning in beverage industrial wastewater treatment. J. Hazard. Mater. 2007, 141, 778–783. [Google Scholar] [CrossRef]
- Amuda, O.S.; Amoo, I.A.; Ajayi, O.O. Performance optimization of coagulant/flocculant in the treatment of wastewater from a beverage industry. J. Hazard. Mater. 2006, 129, 69–72. [Google Scholar] [CrossRef]
- Saha, S.; Boro, R.; Das, C. Treatment of tea industry wastewater using coagulation-spinning basket membrane ultrafiltration hybrid system. J. Environ. Manag. 2019, 244, 180–188. [Google Scholar] [CrossRef]
- Gundogdu, A.; Duran, C.; Senturk, H.B.; Soylak, M.; Ozdes, D.; Serencam, H.; Imamoglu, M. Adsorption of phenol from aqueous solution on a low-cost activated carbon produced from tea industry waste: Equilibrium, kinetic, and thermodynamic study. J. Chem. Eng. Data 2012, 57, 2733–2743. [Google Scholar] [CrossRef]
- Chen, B.; Xiong, X.; Yao, Z.; Yin, N.; Low, Z.X.; Zhong, Z. Integrated membrane process for wastewater treatment from production of instant tea powders. Desalination 2015, 355, 147–154. [Google Scholar] [CrossRef]
- Mehdipour, S.; Vatanpour, V.; Kariminia, H.R. Influence of ion interaction on lead removal by a polyamide nanofiltration membrane. Desalination 2015, 362, 84–92. [Google Scholar] [CrossRef]
- Fan, S.; Li, H.; Wang, Y.; Wang, Z.; Tang, J.; Tang, J.; Li, X. Cadmium removal from aqueous solution by biochar obtained by co-pyrolysis of sewage sludge with tea waste. Res. Chem. Intermed. 2018, 44, 135–154. [Google Scholar] [CrossRef]
- Fan, S.; Zhang, L. Production and characterization of tea waste–based biochar and its application in treatment of Cd-containing wastewater. Biomass Convers. Biorefinery 2021, 11, 1719–1732. [Google Scholar] [CrossRef]
- Peng, C.; Xi, J.; Chen, G.; Feng, Z.; Ke, F.; Ning, J.; Li, D.; Ho, C.T.; Cai, H.; Wan, X. Highly selective defluoridation of brick tea infusion by tea waste supported aluminum oxides. J. Sci. Food Agric. 2017, 97, 1509–1516. [Google Scholar] [CrossRef] [PubMed]
- Verlicchi, P.; Galletti, A.; Petrovic, M.; BarcelÓ, D. Hospital effluents as a source of emerging pollutants: An overview of micropollutants and sustainable treatment options. J. Hydrol. 2010, 389, 416–428. [Google Scholar] [CrossRef]
- Gadipelly, C.; Pérez-González, A.; Yadav, G.D.; Ortiz, I.; Ibáñez, R.; Rathod, V.K.; Marathe, K.V. Pharmaceutical industry wastewater: Review of the technologies for water treatment and reuse. Ind. Eng. Chem. Res. 2014, 53, 11571–11592. [Google Scholar] [CrossRef]
- Bucătaru, C.; Săvescu, D.; Repanovici, A.; Blaga, L.; Coman, E.; Cocuz, M.E. The implications and effects of medical waste on development of sustainable society—A brief review of the literature. Sustainability 2021, 13, 3300. [Google Scholar] [CrossRef]
- Cai, X.; Du, C. Thermal Plasma Treatment of Medical Waste. Plasma Chem. Plasma Process. 2021, 41, 1–46. [Google Scholar] [CrossRef]
- Thind, P.S.; Sareen, A.; Singh, D.D.; Singh, S.; John, S. Compromising situation of India’s bio-medical waste incineration units during pandemic outbreak of COVID-19: Associated environmental-health impacts and mitigation measures. Environ. Pollut. 2021, 276, 116621–116629. [Google Scholar] [CrossRef] [PubMed]
- O’Flynn, D.; Lawler, J.; Yusuf, A.; Parle-Mcdermott, A.; Harold, D.; Mc Cloughlin, T.; Holland, L.; Regan, F.; White, B. A review of pharmaceutical occurrence and pathways in the aquatic environment in the context of a changing climate and the COVID-19 pandemic. Anal. Methods 2021, 13, 575–594. [Google Scholar] [CrossRef] [PubMed]
- Chen, Z.; Ren, N.; Wang, A.; Zhang, Z.P.; Shi, Y. A novel application of TPAD-MBR system to the pilot treatment of chemical synthesis-based pharmaceutical wastewater. Water Res. 2008, 42, 3385–3392. [Google Scholar] [CrossRef] [PubMed]
- Mascolo, G.; Balest, L.; Cassano, D.; Laera, G.; Lopez, A.; Pollice, A.; Salerno, C. Biodegradability of pharmaceutical industrial wastewater and formation of recalcitrant organic compounds during aerobic biological treatment. Bioresour. Technol. 2010, 101, 2585–2591. [Google Scholar] [CrossRef] [PubMed]
- Cetecioglu, Z.; Ince, B.; Gros, M.; Rodriguez-Mozaz, S.; Barceló, D.; Ince, O.; Orhon, D. Biodegradation and reversible inhibitory impact of sulfamethoxazole on the utilization of volatile fatty acids during anaerobic treatment of pharmaceutical industry wastewater. Sci. Total Environ. 2015, 536, 667–674. [Google Scholar] [CrossRef] [PubMed]
- Kaya, Y.; Bacaksiz, A.M.; Bayrak, H.; Gönder, Z.B.; Vergili, I.; Hasar, H.; Yilmaz, G. Treatment of chemical synthesis-based pharmaceutical wastewater in an ozonation-anaerobic membrane bioreactor (AnMBR) system. Chem. Eng. J. 2017, 322, 293–301. [Google Scholar] [CrossRef]
- Ma, K.; Qin, Z.; Zhao, Z.; Zhao, C.; Liang, S. Toxicity evaluation of wastewater collected at different treatment stages from a pharmaceutical industrial park wastewater treatment plant. Chemosphere 2016, 158, 163–170. [Google Scholar] [CrossRef]
- Ng, K.K.; Shi, X.; Tang, M.K.Y.; Ng, H.Y. A novel application of anaerobic bio-entrapped membrane reactor for the treatment of chemical synthesis-based pharmaceutical wastewater. Sep. Purif. Technol. 2014, 132, 634–643. [Google Scholar] [CrossRef]
- Aydin, S. Enhanced biodegradation of antibiotic combinations via the sequential treatment of the sludge resulting from pharmaceutical wastewater treatment using white-rot fungi Trametes versicolor and Bjerkandera adusta. Appl. Microbiol. Biotechnol. 2016, 100, 6491–6499. [Google Scholar] [CrossRef]
- Hu, H.; Jiang, C.; Ma, H.; Ding, L.; Geng, J.; Xu, K.; Huang, H.; Ren, H. Removal characteristics of DON in pharmaceutical wastewater and its influence on the N-nitrosodimethylamine formation potential and acute toxicity of DOM. Water Res. 2017, 109, 114–121. [Google Scholar] [CrossRef] [Green Version]
- Ng, K.K.; Shi, X.; Ong, S.L.; Ng, H.Y. Pyrosequencing reveals microbial community profile in anaerobic bio-entrapped membrane reactor for pharmaceutical wastewater treatment. Bioresour. Technol. 2016, 200, 1076–1079. [Google Scholar] [CrossRef] [PubMed]
- Najafi, H.; Farajfaed, S.; Zolgharnian, S.; Mosavi Mirak, S.H.; Asasian-Kolur, N.; Sharifian, S. A comprehensive study on modified-pillared clays as an adsorbent in wastewater treatment processes. Process Saf. Environ. Prot. 2021, 147, 8–36. [Google Scholar] [CrossRef]
- Hariharan, A.; Harini, V.; Sandhya, S.; Rangabhashiyam, S. Waste Musa acuminata residue as a potential biosorbent for the removal of hexavalent chromium from synthetic wastewater. Biomass Convers. Biorefinery 2020, 1, 1–14. [Google Scholar] [CrossRef]
- Mustapha, S.; Ndamitso, M.M.; Abdulkareem, A.S.; Tijani, J.O.; Mohammed, A.K.; Shuaib, D.T. Potential of using kaolin as a natural adsorbent for the removal of pollutants from tannery wastewater. Heliyon 2019, 5, e02923–e02940. [Google Scholar] [CrossRef]
- Ezugbe, E.O.; Rathilal, S. Membrane technologies in wastewater treatment: A review. Membranes 2020, 10, 89. [Google Scholar] [CrossRef]
- Abdel-Fatah, M.A. Nanofiltration systems and applications in wastewater treatment: Review article. Ain Shams Eng. J. 2018, 9, 3077–3092. [Google Scholar] [CrossRef]
- Bagheri, M.; Mirbagheri, S.A. Critical review of fouling mitigation strategies in membrane bioreactors treating water and wastewater. Bioresour. Technol. 2018, 258, 318–334. [Google Scholar] [CrossRef]
- Shahkaramipour, N.; Ramanan, S.N.; Fister, D.; Park, E.; Venna, S.R.; Sun, H.; Cheng, C.; Lin, H. Facile Grafting of Zwitterions onto the Membrane Surface to Enhance Antifouling Properties for Wastewater Reuse. Ind. Eng. Chem. Res. 2017, 56, 9202–9212. [Google Scholar] [CrossRef]
- Lu, G.; Tian, S.; Li, J.; Xu, Y.; Liu, S.; Pu, J. Fabrication of bio-based amphiphilic hydrogel coating with excellent antifouling and mechanical properties. Chem. Eng. J. 2021, 409, 128134–128148. [Google Scholar] [CrossRef]
- Upadhyaya, L.; Semsarilar, M.; Quemener, D.; Fernández-Pacheco, R.; Martinez, G.; Coelhoso, I.M.; Nunes, S.P.; Crespo, J.G.; Mallada, R.; Portugal, C.A.M. Article block copolymer-based magnetic mixed matrix membranes-effect of magnetic field on protein permeation and membrane fouling. Membranes 2021, 11, 105. [Google Scholar] [CrossRef]
- Phin, H.Y.; Sin, J.C.; Tan, S.H.; Chew, T.L.; Ong, Y.T. Fabrication of asymmetric zinc oxide/carbon nanotubes coated polysulfone photocatalytic nanocomposite membrane for fouling mitigation. J. Appl. Polym. Sci. 2021, 138, 1–14. [Google Scholar] [CrossRef]
- Heidari, S.; Amirinejad, M.; Mirzadeh, S.S.; Wood, D.A. Insights into colloidal membrane fouling mechanisms for nanofiltration of surface water using single and hybrid membrane processes. Polym. Adv. Technol. 2021, 32, 2517–2530. [Google Scholar] [CrossRef]
- Gontarek-Castro, E.; Rybarczyk, M.K.; Castro-Muñoz, R.; Morales-Jiménez, M.; Barragán-Huerta, B.; Lieder, M. Characterization of PVDF/graphene nanocomposite membranes for water desalination with enhanced antifungal activity. Water 2021, 13, 1279. [Google Scholar] [CrossRef]
- Zhang, C.; Wei, K.; Zhang, W.; Bai, Y.; Sun, Y.; Gu, J. Graphene Oxide Quantum Dots Incorporated into a Thin Film Nanocomposite Membrane with High Flux and Antifouling Properties for Low-Pressure Nanofiltration. ACS Appl. Mater. Interfaces 2017, 9, 11082–11094. [Google Scholar] [CrossRef]
- Klemes, J.J. Industrial water recycle/reuse. Curr. Opin. Chem. Eng. 2012, 1, 238–245. [Google Scholar] [CrossRef]
- Xia, S.J.; Liu, Y.N.; Li, X.; Yao, J. Drinking water production by ultrafiltration of Songhuajiang River with PAC adsorption. J. Environ. Sci. 2007, 19, 536–539. [Google Scholar] [CrossRef]
- Muriu-Ng’ang’a, F.W.; Mucheru-Muna, M.; Waswa, F.; Mairura, F.S. Socio-economic factors influencing utilisation of rain water harvesting and saving technologies in Tharaka South, Eastern Kenya. Agric. Water Manag. 2017, 194, 150–159. [Google Scholar] [CrossRef]
- Adewumi, J.R.; Ilemobade, A.A.; Van Zyl, J.E. Treated wastewater reuse in South Africa: Overview, potential and challenges. Resour. Conserv. Recycl. 2010, 55, 221–231. [Google Scholar] [CrossRef]
- Gallego-Schmid, A.; Tarpani, R.R.Z. Life cycle assessment of wastewater treatment in developing countries: A review. Water Res. 2019, 153, 63–79. [Google Scholar] [CrossRef] [Green Version]
- Bai, Y.; Shan, F.; Zhu, Y.; Xu, J.; Wu, Y.; Luo, X.; Wu, Y.; Hu, H.Y.; Zhang, B. Long-term performance and economic evaluation of full-scale MF and RO process—A case study of the changi NEWater Project Phase 2 in Singapore. Water Cycle 2020, 1, 128–135. [Google Scholar] [CrossRef]
- Wang, X.N.; Ma, M.Y.; Pan, X.H.; Hao, J.; Zhang, C.N. Quality of product water by three full-scale seawater reverse osmosis desalination in China. Desalin. Water Treat. 2020, 174, 46–52. [Google Scholar] [CrossRef]
- Nghiem, L.D.; Elters, C.; Simon, A.; Tatsuya, T.; Price, W. Coal seam gas produced water treatment by ultrafiltration, reverse osmosis and multi-effect distillation: A pilot study. Sep. Purif. Technol. 2015, 146, 94–100. [Google Scholar] [CrossRef] [Green Version]
- Brião, V.B.; Magoga, J.; Hemkemeier, M.; Brião, E.B.; Girardelli, L.; Sbeghen, L.; Favaretto, D.P.C. Reverse osmosis for desalination of water from the Guarani Aquifer System to produce drinking water in southern Brazil. Desalination 2014, 344, 402–411. [Google Scholar] [CrossRef]
- Yu, H.; Li, X.; Chang, H.; Zhou, Z.; Zhang, T.; Yang, Y.; Li, G.; Ji, H.; Cai, C.; Liang, H. Performance of hollow fiber ultrafiltration membrane in a full-scale drinking water treatment plant in China: A systematic evaluation during 7-year operation. J. Memb. Sci. 2020, 613, 118469. [Google Scholar] [CrossRef]
- Abdel-Shafy, H.I.; Abdel-Shafy, S.H. Membrane technology for water and wastewater management and application in Egypt. Egypt. J. Chem. 2017, 60, 347–360. [Google Scholar] [CrossRef] [Green Version]
- Marrot, B.; Barrios-Martinez, A.; Moulin, P.; Roche, N. Industrial wastewater treatment in a membrane bioreactor: A review. Environ. Prog. 2004, 23, 59–68. [Google Scholar] [CrossRef]
- Sarkar, B.; Venkateshwarlu, N.; Nageswara Rao, R.; Bhattacharjee, C.; Kale, V. Potable water production from pesticide contaminated surface water-A membrane based approach. Desalination 2007, 204, 368–373. [Google Scholar] [CrossRef]
- Harisha, R.S.; Hosamani, K.M.; Keri, R.S.; Nataraj, S.K.; Aminabhavi, T.M. Arsenic removal from drinking water using thin film composite nanofiltration membrane. Desalination 2010, 252, 75–80. [Google Scholar] [CrossRef]
- Ab Razak, N.H.; Praveena, S.M.; Aris, A.Z.; Hashim, Z. Drinking water studies: A review on heavy metal, application of biomarker and health risk assessment (a special focus in Malaysia). J. Epidemiol. Glob. Health 2015, 5, 297–310. [Google Scholar] [CrossRef] [Green Version]
- Van Der Graaf, J.H.J.M.; Kramer, J.F.; Pluim, J.; De Koning, J.; Weijs, M. Experiments on membrane filtration of effluent at wastewater treatment plants in the Netherlands. Water Sci. Technol. 1999, 39, 129–136. [Google Scholar] [CrossRef]
- Molelekwa, G.F.; Mukhola, M.S.; Van Der Bruggen, B.; Luis, P. Preliminary studies on membrane filtration for the production of potable water: A case of Tshaanda rural village in South Africa. PLoS ONE 2014, 9, 105057–105067. [Google Scholar] [CrossRef] [PubMed]
- Cooray, T.; Wei, Y.; Zhang, J.; Zheng, L.; Zhong, H.; Weragoda, S.K.; Weerasooriya, R. Drinking-Water supply for CKDu affected areas of Sri Lanka, using nanofiltration membrane technology: From laboratory to practice. Water 2019, 11, 2512. [Google Scholar] [CrossRef] [Green Version]
- Sartor, M.; Schlichter, B.; Gatjal, H.; Mavrov, V. Demonstration of a new hybrid process for the decentralised drinking and service water production from surface water in Thailand. Desalination 2008, 222, 528–540. [Google Scholar] [CrossRef]
- Kaya, C.; Sert, G.; Kabay, N.; Arda, M.; Yüksel, M.; Egemen, Ö. Pre-treatment with nanofiltration (NF) in seawater desalination-Preliminary integrated membrane tests in Urla, Turkey. Desalination 2015, 369, 10–17. [Google Scholar] [CrossRef]
- Duong, H.C.; Tran, L.T.T.; Truong, H.T.; Nelemans, B. Seawater membrane distillation desalination for potable water provision on remote islands—A case study in Vietnam. Case Stud. Chem. Environ. Eng. 2021, 4, 100110–100116. [Google Scholar] [CrossRef]
- WHO; UNEP. Safe use of wastewater, excreta and greywater guidelines. In Excreta and Greywater Use in Agriculture; WHO: Geneva, Switzerland, 2006; Volume 4, p. 204. [Google Scholar]
- Libutti, A.; Gatta, G.; Gagliardi, A.; Vergine, P.; Pollice, A.; Beneduce, L.; Disciglio, G.; Tarantino, E. Agro-industrial wastewater reuse for irrigation of a vegetable crop succession under Mediterranean conditions. Agric. Water Manag. 2018, 196, 1–14. [Google Scholar] [CrossRef]
- Tran, N.H.; Reinhard, M.; Khan, E.; Chen, H.; Nguyen, V.T.; Li, Y.; Goh, S.G.; Nguyen, Q.B.; Saeidi, N.; Gin, K.Y.H. Emerging contaminants in wastewater, stormwater runoff, and surface water: Application as chemical markers for diffuse sources. Sci. Total Environ. 2019, 676, 252–267. [Google Scholar] [CrossRef]
- Hettiarachchi, H.; Ardakanian, R. Safe Use of Wastewater in Agriculture: From Concept to Implementation; Springer International Publishing: Berlin/Heidelberg, Germany, 2018; ISBN 9783319742687. [Google Scholar]
- Bahri, A. Fertilizing value and polluting load of reclaimed water in Tunisia. Water Res. 1998, 32, 3484–3489. [Google Scholar] [CrossRef]
- Sabbahi, S.; Ayed, L.B.; Trad, M.; Berndtsson, R.; Karanis, P. Parasitological Assessment of Sewage Sludge Samples for Potential Agricultural Reuse in Tunisia. Int. J. Environ. Res. Public Health 2022, 19, 1657. [Google Scholar] [CrossRef]
- Dib, H.; Issa, S.; Amara, T. Safety of fresh produce: Bacterial risk assessment of irrigation water. Leban. Sci. J. 2003, 4, 35–44. [Google Scholar]
- Yousef, K.; Al-Mutairy, S.; Haitham, F. Management, Treatment and Disposal of Wastewater (Sewage) Plan at Kuwait Oil Company (KOC). Int. J. Environ. Sci. Dev. 2015, 6, 596–601. [Google Scholar] [CrossRef] [Green Version]
- Kostianoy, A.G.; De Boer, J.; Garrigues, P.; Gu, J.; Jones, K.C.; Knepper, T.; Newton, A.; Sparks, D.L. The Handbook of Environmental Chemistry; Springer Nature: Cham, Switzerland, 2010; Volume 22, ISBN 9783642182808. [Google Scholar]
- Samhan, S.; Al-Sa’ed, R.; Assaf, K.; Friese, K.; Afferden, M.; Muller, R.; Tumpling, W.; Ghanem, M.; Ali, W.; Zimmo, O. Wastewater Management Overview in the Occupied Palestinian Territory; Springer: Berlin/Heidelberg, Germany, 2010; pp. 229–248. [Google Scholar] [CrossRef]
- Alahdal, H.M.; AlYahya, S.; Ameen, F.; Sonbol, H.; Alomary, M.N. A review on Saudi Arabian wastewater treatment facilities and available disinfection methods: Implications to SARS-CoV-2 control. J. King Saud Univ. Sci. 2021, 33, 101574–101592. [Google Scholar] [CrossRef] [PubMed]
- Ouda, O.K.M. Treated wastewater use in Saudi Arabia: Challenges and initiatives. Int. J. Water Resour. Dev. 2016, 32, 799–809. [Google Scholar] [CrossRef]
- Shomar, B.; Dare, A. Ten key research issues for integrated and sustainable wastewater reuse in the Middle East. Environ. Sci. Pollut. Res. 2015, 22, 5699–5710. [Google Scholar] [CrossRef] [PubMed]
- Baawain, M.S.; Al-Futaisi, A.M.; Al-Omairi, A.; Al-Jabri, M. Investigating municipal wastewater treatment in the sultanate of Oman. WIT Trans. Ecol. Environ. 2011, 145, 711–719. [Google Scholar] [CrossRef] [Green Version]
- Jaffar Abdul Khaliq, S.; Ahmed, M.; Al-Wardy, M.; Al-Busaidi, A.; Choudri, B.S. Wastewater and sludge management and research in Oman: An overview. J. Air Waste Manag. Assoc. 2017, 67, 267–278. [Google Scholar] [CrossRef]











| Nanomaterials | Blended Polymers | Method | Application | Reference |
|---|---|---|---|---|
| Alumina | Polycarbonate/ Polyurethane | Phase separation | Ultra-filtration | [25] |
| Nitrogen doped porous graphene oxide | Polyethersulfone | Non-solvent-induced phase separation | Waste water treatment (removal of dyes) | [26] |
| Graphene oxide | Polyethersulfone | Phase separation | Waste water treatment (removal of industrial dyes) | [27] |
| Silica | Polylactic acid/Polybutylene/Polypropylene carbonate/Polyhydroxybutyrate | Phase separation | Waste water treatment (removal of oil) | [28] |
| Silver/Fe3O4 | Poly(vinyl alcohol)/Poly(acrylic acid)/ | Electrospinning | Waste water treatment | [29] |
| Graphene oxide-sodium alginate | Polyethersulfone/polyvinyl alcohol | Phase inversion induced by immersion precipitation | Waste water treatment | [30] |
| Ag-doped ZnO@Fe3O4/MWCNTs | Poly acrylic acid (PAA)-modified polyamide (PA) | Chemical co-precipitation | Pharmaceutical Waste water (removal of Amoxicillin) | [31] |
| Magnetic starch | Polyurethane/4,4-methylene diphenyl diisocyanate | In situ co-precipitation | Wastewater treatment | [32] |
| Nano diamond | PVDF/PVP | Phase inversion | Pharmaceutical wastewater treatment (removal of chemical oxygen demand) | [33] |
| Aluminum silicate | Chitosan/PVA | Electrospinning | Wastewater treatment (removal of dye) | [34] |
| Nanomaterials | Thin Film Polymers | Method | Application | Reference |
|---|---|---|---|---|
| MgFe2O4 and ZnFe2O4 | Polysulfone | Sol-gel | Wastewater treatment | [45] |
| Graphene oxide | Polyamide | Interfacial polymerization | Nanofiltration (removal of heavy metals) | [46] |
| Copper 1,4-benzenedicarboxylate | Polyamide | Layered diffusion-mediated | Forward osmosis | [47] |
| Chitosan-wrapped multiwalled carbon nanotubes | Polyethersulfone | Facile pouring | Nanofiltration (removal of dye) | [48] |
| MOF-801 | Polyacrylonitrile | Solvothermal | Ultrafiltration (heavy metal removal) | [49] |
| Copper | Polyamide | Interfacial polymerization | Reverse osmosis | [50] |
| Zr-MOFs | Polyvinylpyrrolidone | Assisted in-situ growth | Wastewater treatment (removal of dye) | [51] |
| Graphene oxide/MoS2 | Polyamide | Interfacial polymerization | Wastewater treatment | [52] |
| Titania nanotubes and magnetite oxide | Polysulfone | Coprecipitation | Forward osmosis (removal of heavy metals) | [53] |
| Silica | Polydopamine | Stober | Nanofiltration | [54] |
| Zwitterion-silver | Polyethersulfone | Non-solvent induced phase separation | Forward osmosis | [55] |
| TiO2 | Polyamide/Polyethersulfone | Interfacial polymerization | Nanofiltration | [56] |
| TiO2 | Polyamide | Biphasic solvothermal | Reverse osmosis | [57] |
| TiO2 | Polyethersulfone/Polysulfone | Immersion precipitation | Wastewater treatment (removal of humic acid) | [58] |
| Stage | Water Quantity (Liters) | Operation |
|---|---|---|
| Anticorrosion | 60,000 | Degreasing: Immersing the entire frame in a tub with detergent to remove any remaining oil, organic and inorganic chemicals from the stamping and jointing process. It is known as alkaline wash. Zinc phosphate: Frame is immersed in a chemical tub to cover a coating of zinc phosphate. Rinsing: To remove unwanted elements |
| Priming and Top coat | Large quantities | Water based paints requires large quantities of water to dilute the paint and |
| Finishing | Large quantities | After the topcoat, the frame will be washed again with water to remove any remaining paint and debris. |
| Machine shop | Large quantities | To remove grease |
| Method | Material | Operating Parameters | Removal Efficiency | Reference |
|---|---|---|---|---|
| Physical method-micro and ultrafiltration membrane | Polyetherimide | Flux, turbidity, organic and inorganic carbon | Flux—40 L/m2 h; turbidity—98%; organic—2.7 mg/L and inorganic carbon—35.4 mg/L | [62] |
| Chemical method-coagulation and ozonation | Polyethersulfone | pH, suspended solid, turbidity, chemical oxygen demand, phosphate | pH—8.5; SS—4200 µg/L; turbidity—1000 NTU; COD—433 mg/L; NH4+—2.2 mg/L; | [63] |
| Chemical method-electrocoagulation | Ti electrode | pH, chemical oxygen demand, suspended solids, chloride, oil grease | pH—8; COD—500 mg/L; SS—320 mg/L; chloride—70 mg/L; oil-grease—120 mg/L | [64] |
| Chemical method-electrocoagulation | Fe and Al-electrode | pH, chemical oxygen demand, suspended solid and oil grease | pH—8; COD—560 mg/L; oil-grease—125 mg/L; SS—2300 mg/L | [65] |
| Chemical method-electrocoagulation | Fe–Fe, Al–Fe, and Al–Al | chemical oxygen demand | COD—79% | [66] |
| Physical method-membrane filtration | Polyethersulfone/polyamide | pH, COD, total solids | pH—7; COD—314 mg/L; SS—1054 mg/L | [67] |
| Method | Parameter | Removal Efficacy (%) | Reference |
|---|---|---|---|
| Physicochemical treatment | BOD COD | 70.3% 80.3% | [71] |
| Aerobic treatment | COD BOD | 2.8 kg/m3 1.8 m3 | [72] |
| Electrochemical coagulation | COD | 92.91% | [73] |
| Isolation | COD | 11.8% | [74] |
| Electrochemical coagulation | COD | 93.22% | [75] |
| Dynamic membrane filtration | COD | 14.5% | [76] |
| Anaerobic filter membrane bioreactor | COD BOD | 97% 82% | [77] |
| Method | Material | Removal Efficacy (%) | Reference |
|---|---|---|---|
| Coagulation/flocculation | Ferric chloride and polyelectrolyte | 97%—TSS;TP—99%; COD—91% | [82] |
| Coagulation/flocculation | Polyelectrolyte | 78%—COD; 74%—TSS;75%—TP | [83] |
| Membrane bioreactor | Polyelectrolyte | 95%—COD and TSS | [80] |
| Membrane ultrafiltration | Polyethersulfone | 96—COD | [84] |
| Membrane filtration | Activated carbon | Phenol | [85] |
| Membrane ultrafiltration | Polyaluminum ferric chloride | 99%—COD/TOC | [86] |
| Membrane nanofiltration | Polyamide | 9%-lead | [87] |
| Co-pyrolysis | Tea waste | 30%—cadmium | [88] |
| Membrane | Tea waste | 7.2 mg/g cadmium | [89] |
| Chemical co-precipitation | Green tea extract | 52%—fluoride | [90] |
| Treatment | Pharmaceutical Waste Water | Efficiency (%) | Reference |
|---|---|---|---|
| Membrane bioreactor | Chemical oxygen demand (COD), pH | COD—5789 (mg/L); pH—7 | [97] |
| Pharmaceutical industrial Wastewater treatment | Dissolved organic carbon, total nitrogen (TN), chemical oxygen demand (COD), total phosphorous (TP) | Not reported | [98] |
| Anaerobic treatment | Sulfamethoxazole (SMX) | SMX—40 (mg/L) | [99] |
| Membrane bioreactor | Total chemical oxygen demand (TCOD) | COD—90% | [100] |
| Pharmaceutical industrial park wastewater treatment plant | pH, total suspended solids (TSS), chemical oxygen demand (COD), total nitrogen (TN), ammonia (NH3) and total phosphorus (TP) | pH—7; TSS—120 (mg/L); TN—84 (mg/L); COD—328 (mg/L); NH3— 37 (mg/L); | [101] |
| Membrane bioreactor | Total dissolved solid (TDS), total chemical oxygen demand (TCOD) | TDS—25,925 (mg/L); TCOD—20% | [102] |
| Solid-phase bioremediation | Erythromycin, sulfamethoxazole (SMX), tetracycline (TET) | ERY—1.2 (mg/L); SMX—11.5 (mg/L); TET—1.5 (mg/L) | [103] |
| Membrane bioreactor | Dissolved organic nitrogen (DON) | DON—68%; | [104] |
| Membrane bioreactor | Chemical oxygen demand, Etodolac | COD—90%; Etodolac—99% | [105] |
| Country | Water source | Water Treatment | Result | Reference |
|---|---|---|---|---|
| Australia | Ground water | UF and RO | Removal of TC, TOC | [126] |
| Brazil | Brackish water | RO-desalination | Removal of sulfate, total suspended solids and fluoride | [127] |
| China | Reservoir | Hollow fiber UF | Removal of metals, coliform bacteria | [128] |
| China | Songhuajiang river | Ultrafiltration | Removal of COD, DOC | [120] |
| Egypt | Black water | MF | Removal of TSS, BOD, COD | [129] |
| Germany | Industry | MBR | Removal of COD | [130] |
| India | Pesticide contaminated surface water | NF and RO | Removal of microbial content | [131] |
| Indonesia | Arsenic contaminated surface water | NF | Removal of TDS and arsenate ions | [132] |
| Malaysia | Surface water and ground water | UF | Removal of heavy metals such as chromium, cadmium, zinc, copper, nickel and lead | [133] |
| Netherland | Surface water | UF and MF | Removal of suspended solids, COD and bacteria | [134] |
| South Africa | Ground water | Gravity driven UF | Removal of E.coli | [135] |
| Sri Lanka | Ground water | NF | Removal of DOC, TDS | [136] |
| Thailand | Freshwater | NF | Removal of divalent cations, DOC, TDS | [137] |
| Turkey | Sea water | RO and NF-desalination | Removal of coliform | [138] |
| Vietnam | Sea water | Air gap membrane distillation | Removal of TDS, TOC, arsenic, mercury | [139] |
Publisher’s Note: MDPI stays neutral with regard to jurisdictional claims in published maps and institutional affiliations. |
© 2022 by the authors. Licensee MDPI, Basel, Switzerland. This article is an open access article distributed under the terms and conditions of the Creative Commons Attribution (CC BY) license (https://creativecommons.org/licenses/by/4.0/).
Share and Cite
Divya, S.; Oh, T.H. Polymer Nanocomposite Membrane for Wastewater Treatment: A Critical Review. Polymers 2022, 14, 1732. https://doi.org/10.3390/polym14091732
Divya S, Oh TH. Polymer Nanocomposite Membrane for Wastewater Treatment: A Critical Review. Polymers. 2022; 14(9):1732. https://doi.org/10.3390/polym14091732
Chicago/Turabian StyleDivya, Sivasubramani, and Tae Hwan Oh. 2022. "Polymer Nanocomposite Membrane for Wastewater Treatment: A Critical Review" Polymers 14, no. 9: 1732. https://doi.org/10.3390/polym14091732
APA StyleDivya, S., & Oh, T. H. (2022). Polymer Nanocomposite Membrane for Wastewater Treatment: A Critical Review. Polymers, 14(9), 1732. https://doi.org/10.3390/polym14091732
