Study of the Behavior of Square Concrete-Filled CFRP Steel Tubular under a Bending-Torsion Load
Abstract
:1. Introduction
2. Design and Material Properties of Specimen
2.1. Design of Specimen
2.2. Material Properties
2.3. Loading Test and Measurement
2.4. Failure Mode of Materials
2.5. Test Results and Preliminary Analysis
T-θ Curves
3. Finite Element Simulation
3.1. Finite Element Model
3.2. Comparison between Simulation Results and Test Results
3.2.1. T-θ Curves Comparison
3.2.2. Failure Mode Comparison
4. Analysis of the Whole Process of Stress
4.1. Stress of Concrete
4.2. Stress of Steel Tube
4.3. Stress of CFRP
Transverse CFRP Stress
5. Parameter Analysis
5.1. Influence of CFRP Layers
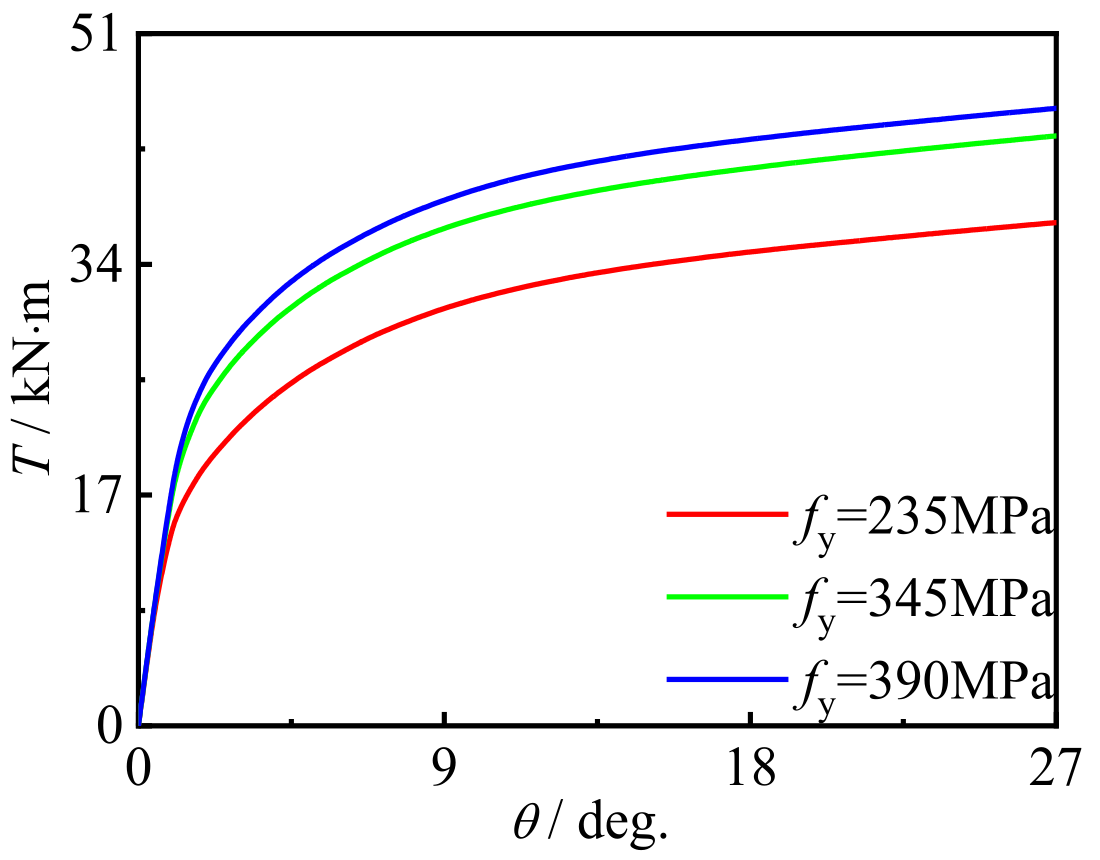
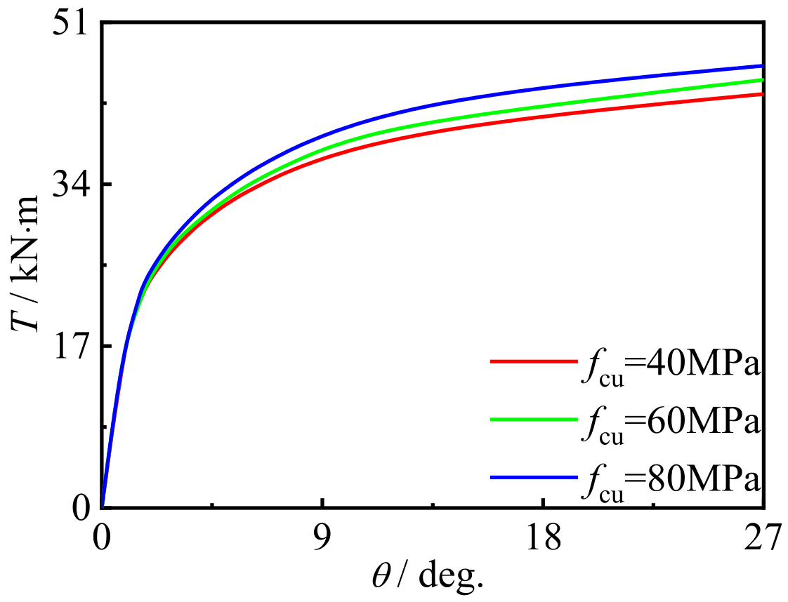
5.2. Effect of Material Strength
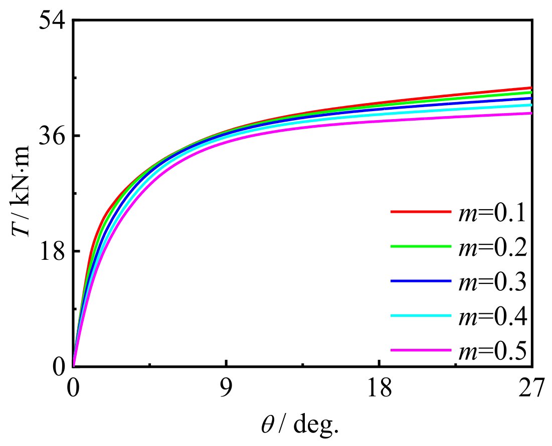
5.3. Influence of Bending Moment Ratio
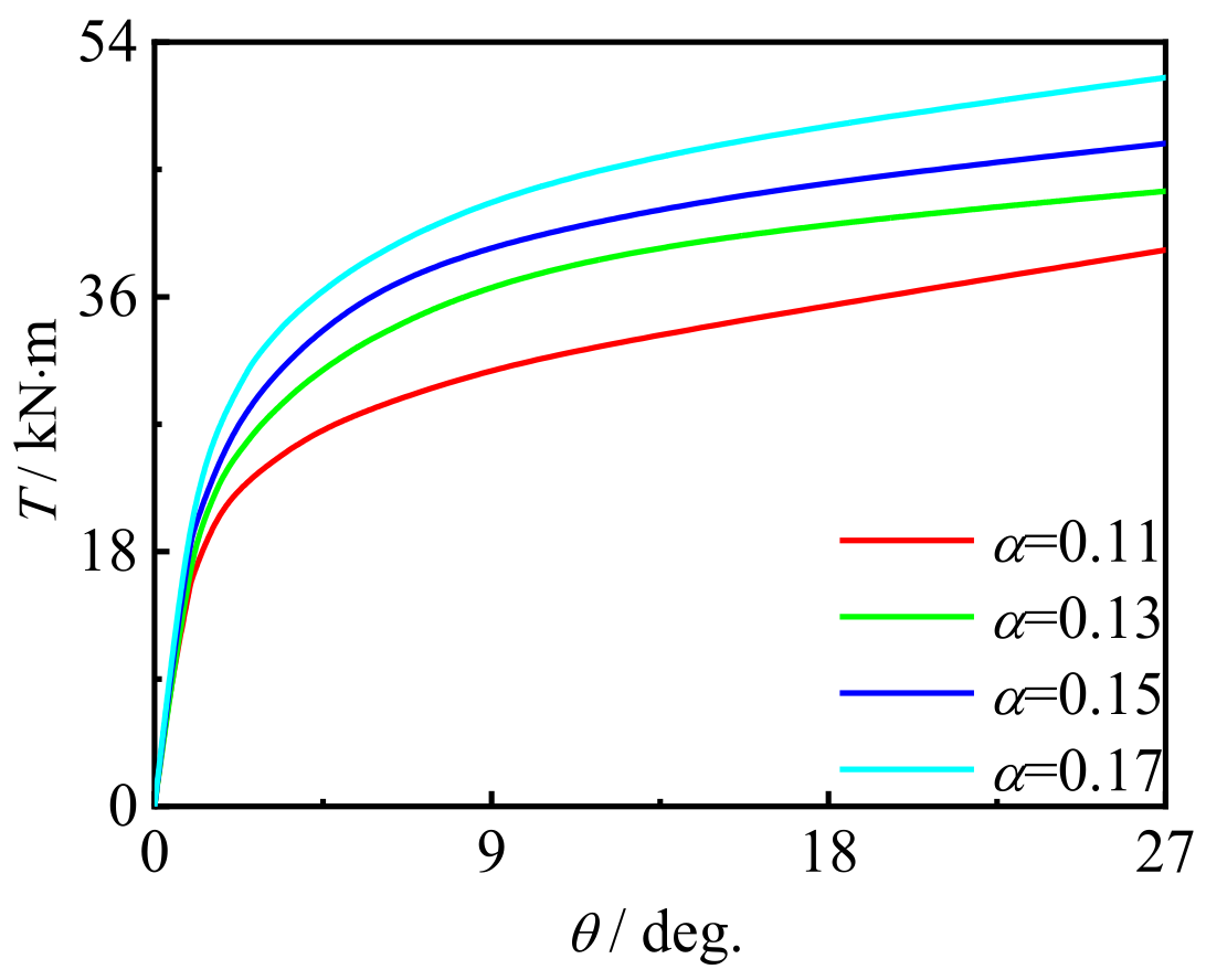
5.4. Effect of Steel Ratio
6. Bending-Torsion Correlation Equation of Bearing Capacity
6.1. Bending-Torsion Correlation Equation
6.2. Validation of Expressions
7. Conclusions
- (1)
- The T-θ curve of a concrete-filled CFRP steel tube can be divided into elastic stage, elastic–plastic stage and plastic stage. The specimen can still maintain a certain bearing capacity after large deformation, indicating that the failure of the member belongs to ductile failure. The steel tube and CFRP can work together, and the specimen CFRP breaks in a large area after loading;
- (2)
- The T-θ curve and failure mode of the specimen are simulated by ABAQUS, and the simulation results are in good agreement with the experimental results. The shear stress of concrete in the member is roughly antisymmetric along the length direction. In the whole loading process, the maximum Mises stress of the steel pipe is always concentrated at the corner. The stress of transverse CFRP and longitudinal CFRP increases gradually with the increase in the load and fails when the deformation increases to a certain extent. Transverse CFRP has a good restraining effect on the specimen;
- (3)
- The parameter analysis results show that the increase in the CFRP layers, material strength, bending moment ratio and steel ratio does not change the shape and initial stiffness of CFRP concrete-filled steel tubular T-θ curve. With the increase in concrete strength, steel yield strength and steel ratio, the member bearing capacity increases significantly, increases slightly with the increase in the CFRP layers, and decreases slightly with the increase in the moment ratio.
- (4)
- A correlation equation for the bearing capacity of CFRP concrete-filled steel tubular flexural torsional members is proposed. The bearing capacity calculated by this correlation equation is in good agreement with the experimental results.
Author Contributions
Funding
Institutional Review Board Statement
Informed Consent Statement
Data Availability Statement
Acknowledgments
Conflicts of Interest
References
- Li, X.; Hu, Z.; Zhou, J. Calculation method of axial compressive capacity of circular arc scfst short columns restrained by CFRP. Struct. Engineer. 2020, 36, 157–164. [Google Scholar]
- Jiao, C.J.; Li, S.C. Axial compression behavior of CFRP confined steel tube reactive powder concrete short columns. J. Compos. Mater. 2021, 38, 439–448. [Google Scholar]
- Liang, J.F.; Lin, S.Q.; Li, W.; Liu, D.W. Axial compressive behavior of recycled aggregate concrete-filled square steel tube stub columns strengthened by CFRP. Structures 2021, 29, 1874–1881. [Google Scholar] [CrossRef]
- Tang, H.Y.; Chen, J.L.; Fan, L.Y.; Sun, X.J.; Peng, C.M. Experimental investigation of FRP-confined concrete-filled stainless steel tube stub columns under axial compression. Thin-Walled Struct. 2020, 146, 106483. [Google Scholar] [CrossRef]
- Zhang, Y.; Wei, Y.; Zhao, K.; Ding, M.; Wang, L. Analytical model of concrete-filled FRP-steel composite tube columns under cyclic axial compression. Soil Dyn. Earthq. Eng. 2020, 139, 106414. [Google Scholar] [CrossRef]
- Martinelli, E.; Hosseini, A.; Ghafoori, E.; Motavalli, M. Behavior of prestressed CFRP plates bonded to steel substrate: Numerical modeling and experimental validation. Compos. Struct. 2019, 207, 974–984. [Google Scholar] [CrossRef]
- Jin, L.; Fan, L.; Li, P.; Du, X. Size effect of axial-loaded concrete-filled steel tubular columns with different confinement coefficients. Eng. Struct. 2019, 198, 109503. [Google Scholar] [CrossRef]
- Han, L.-H.; Li, W.; Bjorhovde, R. Developments and advanced applications of concrete-filled steel tubular (CFST) structures: Members. J. Constr. Steel Res. 2014, 100, 211–228. [Google Scholar] [CrossRef]
- Al-Mekhlafi, G.M.; Al-Osta, M.A.; Sharif, A.M. Behavior of eccentrically loaded concrete-filled stainless steel tubular stub columns confined by CFRP composites. Eng. Struct. 2020, 205, 110113. [Google Scholar] [CrossRef]
- Tao, Z.; Han, L.H.; Wang, L.L. Compressive and flexural behaviour of CFRP-repaired concrete-filled steel tubes after exposure to fire. J. Constr. Steel Res. 2007, 63, 1116–1126. [Google Scholar] [CrossRef]
- Liu, L.; Lu, Y.Y. Axial bearing capacity of short FRP confined concrete-filled steel tubular column. J. Wuhan Univ. Technol. Mater 2010, 25, 454–458. [Google Scholar] [CrossRef]
- Guan, Z.W.; Al-Husainy, A.S.; Wang, Q.Y.; Jones, S.W.; Su, C.; Liu, L.Q. Numerical Modeling of Recycled and Normal Ag-gregate CFRP-Strengthened Concrete-Filled Steel Columns Subjected to Lateral Impact. J. Compos. Constr. 2020, 24, 04020048. [Google Scholar] [CrossRef]
- Wang, Y.H.; Wang, Y.Y.; Hou, C.; Deng, R.; Lan, Y.S.; Luo, W.; Li, P. Torsional capacity of concrete-filled steel tube columns circumferentially confined by CFRP. J. Constr. Steel Res. 2020, 175, 106320. [Google Scholar] [CrossRef]
- Wang, Q.-L.; Li, J.; Shao, Y.-B.; Zhao, W.-J. Flexural Performances of Square Concrete Filled CFRP-Steel Tubes (S-CF-CFRP-ST). Adv. Struct. Eng. 2015, 18, 1319–1344. [Google Scholar] [CrossRef]
- Han, L.H. Concrete Filled Steel Tubular Structures—Theory and Practice, 3rd ed.; Science Press: Beijing, China, 2016; pp. 304–310. (In Chinese) [Google Scholar]
- Wang, Y.-H.; Zhou, X.-H.; Deng, R.; Lan, Y.-S.; Luo, W.; Li, P.; Yang, Q.-S.; Ke, K. Coupled ultimate capacity of CFRP confined concrete-filled steel tube columns under compression-bending-torsion load. Structures 2021, 31, 558–575. [Google Scholar] [CrossRef]
- Elremaily, A.; Azizinamini, A. Behavior and strength of circular concrete-filled tube columns. J. Constr. Steel Res. 2002, 58, 1567–1591. [Google Scholar] [CrossRef]






























| No. | Number | m | Ml/Layers | mt/Layers | ξcf | ξ | ηcf |
|---|---|---|---|---|---|---|---|
| 1 | SFT111 | 0.1 | 1 | 1 | 0.106 | 1.253 | 0.092 |
| 2 | SFT211 | 0.2 | 1 | 1 | 0.106 | 1.253 | 0.092 |
| 3 | SFT311 | 0.3 | 1 | 1 | 0.106 | 1.253 | 0.092 |
| 4 | SFT112 | 0.1 | 1 | 2 | 0.212 | 1.359 | 0.092 |
| 5 | SFT212 | 0.2 | 1 | 2 | 0.212 | 1.359 | 0.092 |
| 6 | SFT312 | 0.3 | 1 | 2 | 0.212 | 1.359 | 0.092 |
| 7 | SFT213 | 0.2 | 1 | 3 | 0.317 | 1.464 | 0.092 |
| 8 | SFT201 | 0.2 | 0 | 1 | 0.106 | 1.253 | 0 |
| 9 | SFT221 | 0.2 | 2 | 1 | 0.106 | 1.253 | 0.184 |
| fy/MPa | fu/MPa | Es/GPa | vs | ε′/% |
|---|---|---|---|---|
| 291.78 | 456.49 | 210.16 | 0.31 | 27.7 |
| Ec/MPa | fcu/MPa | f′c/MPa |
|---|---|---|
| 36000 | 62.5 | 49.38 |
| Thickness (mm) | Ecf (GPa) | Transverse CFRP Fracture Strain ecftr (me) | Longitudinal CFRP Fracture Strain ecflr (me) |
|---|---|---|---|
| 0.111 | 230 | 3000 | 3000 |
| Technical Performance Index | Measurement Result |
|---|---|
| Metal tensile strength/MPa | >20.0 |
| Metal bond tensile strength/MPa | ≥30.0 |
| Bond tensile strength of concrete/MPa | ≥2.5 |
| Tensile modulus of elasticity/MPa | ≥15,000 |
| elongation/% | ≥1.5 |
Publisher’s Note: MDPI stays neutral with regard to jurisdictional claims in published maps and institutional affiliations. |
© 2022 by the authors. Licensee MDPI, Basel, Switzerland. This article is an open access article distributed under the terms and conditions of the Creative Commons Attribution (CC BY) license (https://creativecommons.org/licenses/by/4.0/).
Share and Cite
Wang, Q.-L.; Gao, H.-C.; Peng, K. Study of the Behavior of Square Concrete-Filled CFRP Steel Tubular under a Bending-Torsion Load. Polymers 2022, 14, 1472. https://doi.org/10.3390/polym14071472
Wang Q-L, Gao H-C, Peng K. Study of the Behavior of Square Concrete-Filled CFRP Steel Tubular under a Bending-Torsion Load. Polymers. 2022; 14(7):1472. https://doi.org/10.3390/polym14071472
Chicago/Turabian StyleWang, Qing-Li, Hang-Cheng Gao, and Kuan Peng. 2022. "Study of the Behavior of Square Concrete-Filled CFRP Steel Tubular under a Bending-Torsion Load" Polymers 14, no. 7: 1472. https://doi.org/10.3390/polym14071472
APA StyleWang, Q.-L., Gao, H.-C., & Peng, K. (2022). Study of the Behavior of Square Concrete-Filled CFRP Steel Tubular under a Bending-Torsion Load. Polymers, 14(7), 1472. https://doi.org/10.3390/polym14071472
