Dielectric Properties in Oriented and Unoriented Membranes Based on Poly(Epichlorohydrin-co-Ethylene Oxide) Copolymers: Part III
Abstract
:1. Introduction
2. Materials and Methods
2.1. Materials and Membrane Preparation
2.2. Membrane Characterization
3. Results
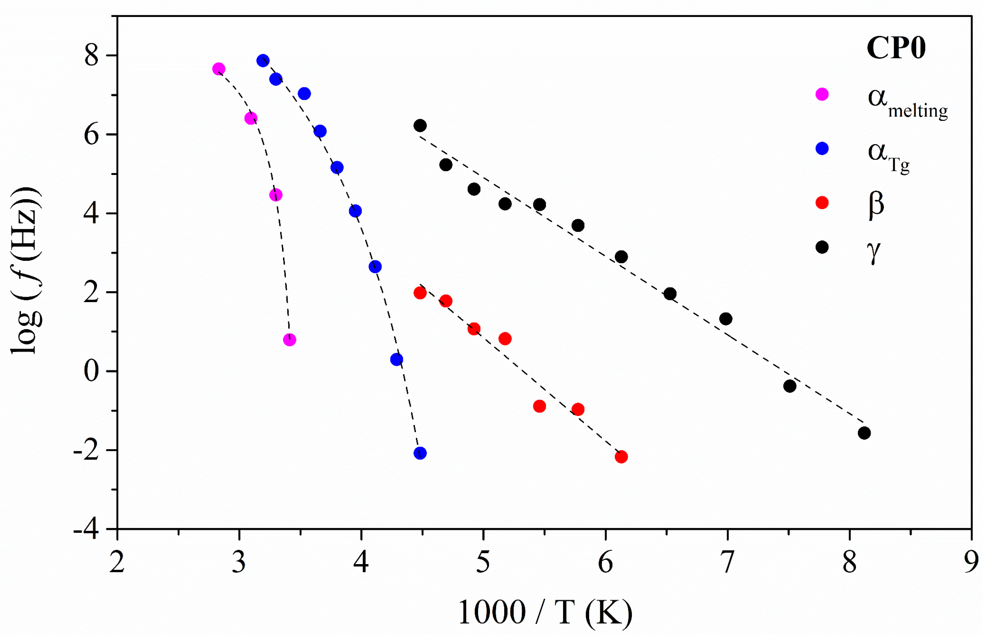
3.1. Analysis of the Dielectric Spectrum of CP0
3.2. Analysis of the Dielectric Spectra of the Modified Oriented and Unoriented Copolymers (CP40, CP40-O, CP20-O, and CP40-O)
3.2.1. Analysis of the Low-Temperature Relaxation Zone
3.2.2. Analysis of the High-Temperature Relaxation Zone
3.3. Analysis of the Electric and Proton Conductivity of the Neat and Modified Oriented and Unoriented Copolymers
3.3.1. Electric Conductivity
3.3.2. Proton Conductivity
4. Conclusions
Author Contributions
Funding
Institutional Review Board Statement
Informed Consent Statement
Data Availability Statement
Conflicts of Interest
References
- Chen, L.; Kang, Q.; Tao, W. Pore-scale numerical study of multiphase reactive transport processes in cathode catalyst layers of proton exchange membrane fuel cells. Int. J. Hydrog. Energy 2021, 46, 13283–13297. [Google Scholar] [CrossRef]
- Deng, X.; Zhang, J.; Fan, Z.; Tan, W.; Yang, G.; Wang, W.; Zhou, W.; Shao, Z. Understanding and Engineering of Multiphase Transport Processes in Membrane Electrode Assembly of Proton-Exchange Membrane Fuel Cells with a Focus on the Cathode Catalyst Layer: A Review. Energy Fuels 2020, 34, 9175–9188. [Google Scholar] [CrossRef]
- Ding, L.; Tang, T.; Hu, J.-S. Recent Progress in Proton-Exchange Membrane Fuel Cells Based on Metal-Nitrogen-Carbon Catalysts. Acta Phys. Chim. Sin. 2020, 37, 2010048. [Google Scholar] [CrossRef]
- Gittleman, C.S.; Kongkanand, A.; Masten, D.; Gu, W. Materials research and development focus areas for low cost automotive proton-exchange membrane fuel cells. Curr. Opin. Electrochem. 2019, 18, 81–89. [Google Scholar] [CrossRef]
- Han, D.; Liu, X.; Bjørheim, T.S.; Uda, T. Yttrium-Doped Barium Zirconate-Cerate Solid Solution as Proton Conducting Electrolyte: Why Higher Cerium Concentration Leads to Better Performance for Fuel Cells and Electrolysis Cells. Adv. Energy Mater. 2021, 11, 1–11. [Google Scholar] [CrossRef]
- Kreuer, K.D. On the complexity of proton conduction phenomena K.D. Kreuer * Max-Planck-Institut fur Festkorperforschung, Heisenbergstr.1, D-70569 Stuttgart, Germany Abstract. Solid State Ionics 2000, 137, 1–12. [Google Scholar]
- Kreuer, K.-D. Proton conductivity: Materials and applications. Chem. Mater. 1996, 8, 610–641. [Google Scholar] [CrossRef]
- Li, J.; Lou, J.; Wang, Z.; Wang, L.; Liu, F.; Pu, X.; Hu, J.; Wang, S.; Zhao, C. Facilitating Proton Transport with Enhanced Water Conservation Membranes for Direct Methanol Fuel Cells. ACS Sustain. Chem. Eng. 2020, 8, 5880–5890. [Google Scholar] [CrossRef]
- Lufrano, E.; Simari, C.; Di Vona, M.L.; Nicotera, I.; Narducci, R. How the morphology of nafion-based membranes affects proton transport. Polymers 2021, 13, 359. [Google Scholar] [CrossRef] [PubMed]
- Quartarone, E.; Angioni, S.; Mustarelli, P. Polymer and composite membranes for proton-conducting, high-temperature fuel cells: A critical review. Materials 2017, 10, 687. [Google Scholar] [CrossRef] [Green Version]
- Shirsath, A.V.; Raël, S.; Bonnet, C.; Schiffer, L.; Bessler, W.; Lapicque, F. Electrochemical pressure impedance spectroscopy for investigation of mass transfer in polymer electrolyte membrane fuel cells. Curr. Opin. Electrochem. 2020, 20, 82–87. [Google Scholar] [CrossRef]
- Wang, X.X.; Swihart, M.T.; Wu, G. Achievements, challenges and perspectives on cathode catalysts in proton exchange membrane fuel cells for transportation. Nat. Catal. 2019, 2, 578–589. [Google Scholar] [CrossRef]
- González-Guisasola, C.; Ribes-Greus, A. Dielectric relaxations and conductivity of cross-linked PVA/SSA/GO composite membranes for fuel cells. Polym. Test. 2018, 67, 55–67. [Google Scholar] [CrossRef]
- Sánchez-Ballester, S.C.; Soria, V.; Rydzek, G.; Ariga, K.; Ribes-Greus, A. Synthesis and characterization of bisulfonated poly (vinyl alcohol)/graphene oxide composite membranes with improved proton exchange capabilities. Polym. Test. 2020, 91, 106752. [Google Scholar] [CrossRef]
- Teruel-Juanes, R.; Pascual-Jose, B.; del Río, C.; García, O.; Ribes-Greus, A. Dielectric analysis of photocrosslinked and post-sulfonated styrene-ethylene-butylene-styrene block copolymer based membranes. React. Funct. Polym. 2020, 155, 104715. [Google Scholar] [CrossRef]
- Ronda, J.C.; Reina, J.A.; Giamberini, M. Self-organized liquid-crystalline polyethers obtained by grafting tapered mesogenic groups onto poly(epichlorohydrin): Toward biomimetic ion channels 2. J. Polym. Sci. Part A Polym. Chem. 2004, 42, 326–340. [Google Scholar] [CrossRef]
- Percec, V.; Ahn, C.-H.; Ungar, G.; Yeardley, D.J.P.; Möller, M.; Sheiko, S.S. Controlling polymer shape through the self-assembly of dendritic side-groups. Nature 1998, 391, 161–164. [Google Scholar] [CrossRef]
- Percec, V.; Schlueter, D.; Ungar, G.; Cheng, S.Z.D.; Zhang, A. Hierarchical control of internal superstructure, diameter, and stability of supramolecular and macromolecular columns generated from tapered monodendritic building blocks. Macromolecules 1998, 31, 1745–1762. [Google Scholar] [CrossRef]
- Percec, V.; Glodde, M.; Bera, T.K.; Miura, Y.; Shiyanovskaya, I.; Singer, K.D.; Balagurusamy, V.S.K.; Heiney, P.A.; Schnell, I.; Rapp, A. Self-organization of supramolecular helical dendrimers into complex electronic materials. Nature 2002, 419, 384. [Google Scholar] [CrossRef] [PubMed]
- Tylkowski, B.; Castelao, N.; Giamberini, M.; Garcia-Valls, R.; Reina, J.A.; Gumí, T. The importance of orientation in proton transport of a polymer film based on an oriented self-organized columnar liquid-crystalline polyether. Mater. Sci. Eng. C 2012, 32, 105–111. [Google Scholar] [CrossRef]
- Bhosale, S.V.; Rasool, M.A.; Reina, J.A.; Giamberini, M. New Liquide Crystalline Columnar Poly(epichlorohydrin-co-ethylene oxide) Derivatives Leading to Biomimetic Ion Chanel. Polym. Eng. Sci. 2013, 53, 159–167. [Google Scholar] [CrossRef]
- Bogdanowicz, K.A.; Bhosale, S.V.; Li, Y.; Vankelecom, I.F.J.; Garcia-Valls, R.; Reina, J.A.; Giamberini, M. Mimicking nature: Biomimetic ionic channels. J. Membr. Sci. 2016, 509, 10–18. [Google Scholar] [CrossRef]
- Bogdanowicz, K.A.; Rapsilber, G.A.; Reina, J.A.; Giamberini, M. Liquid crystalline polymeric wires for selective proton transport, part 1: Wires preparation. Polymer 2016, 92, 50–57. [Google Scholar] [CrossRef]
- Bogdanowicz, K.A.; Sistat, P.; Reina, J.A.; Giamberini, M. Liquid crystalline polymeric wires for selective proton transport, part 2: Ion transport in solid-state. Polymer 2016, 92, 58–65. [Google Scholar] [CrossRef]
- Graf, R.; Reina, J.A.; Giamberini, M. Effect of Dendritic Side Groups on the Mobility of Modified Poly(epichlorohydrin) Copolymers. Polymers 2021, 13, 1961. [Google Scholar] [CrossRef]
- Montané, X.; Bogdanowicz, K.A.; Colace, G.; Reina, J.A.; Cerruti, P.; Lederer, A.; Giamberini, M. Advances in the design of self-supported ion-conducting membranes-new family of columnar liquid crystalline polyamines. Part 1: Copolymer synthesis and membrane preparation. Polymer 2016, 105, 298–309. [Google Scholar] [CrossRef]
- Montané, X.; Bhosale, S.V.; Reina, J.A.; Giamberini, M. Columnar liquid crystalline polyglycidol derivatives: A novel alternative for proton-conducting membranes. Polymer 2015, 66, 100–109. [Google Scholar] [CrossRef]
- Montané, X.; Bogdanowicz, K.A.; Prats-Reig, J.; Colace, G.; Reina, J.A.; Giamberini, M. Advances in the design of self-supported ion-conducting membranes – New family of columnar liquid crystalline polyamines. Part 2: Ion transport characterisation and comparison to hybrid membranes. Polymer 2016, 105, 234–242. [Google Scholar] [CrossRef]
- Šakalyte, A.; Reina, J.A.; Giamberini, M. Liquid crystalline polyamines containing side dendrons: Toward the building of ion channels based on polyamines. Polymer 2013, 54, 5133–5140. [Google Scholar] [CrossRef]
- Teruel-Juanes, R.; Bogdanowicz, K.A.; Badia, J.D.; Sáenz de Juano-Arbona, V.; Graf, R.; Reina, J.A.; Giamberini, M.; Ribes-Greus, A. Molecular Mobility in Oriented and Unoriented Membranes Based on Poly[2-(Aziridin-1-yl)ethanol]. Polymers 2021, 13, 1060. [Google Scholar] [CrossRef] [PubMed]
- Zare, A.; Pascual-Jose, B.; De la Flor, S.; Ribes-Greus, A.; Montané, X.; Reina, J.A.; Giamberini, M. Membranes for cation transport based on dendronized poly(Epichlorohydrin-co-ethylene oxide). part 1: The effect of dendron amount and column orientation on copolymer mobility. Polymers 2021, 13, 3532. [Google Scholar] [CrossRef] [PubMed]
- Zare, A.; Montan, X.; Reina, A.; Giamberini, M. Membranes for Cation Transport Based on Dendronized Poly (Epichlorohydrin-Co-Ethylene Oxide). Part 2: Membrane Characterization and Transport Properties. Polymers 2021, 13, 3915. [Google Scholar] [CrossRef]
- Pascual-Jose, B.; Badia, J.D.; Múgica, A.; Addiego, F.; Müller, A.J.; Ribes-Greus, A. Analysis of plasticization and reprocessing effects on the segmental cooperativity of polylactide by dielectric thermal spectroscopy. Polymer 2021, 223, 123701. [Google Scholar] [CrossRef]
- Havriliak, S.; Negami, S. A complex plane representation of dielectric and mechanical relaxation processes in some polymers. Polymer 1967, 8, 161–210. [Google Scholar] [CrossRef]
- Havriliak, S.; Negami, S. A complex plane analysis of α-dispersions in some polymer systems. J. Polym. Sci. Part C Polym. Symp. 1966, 14, 99–117. [Google Scholar] [CrossRef]
- Starkweather, H.W., Jr. Simple and Complex Relaxations. Macromolecules 1981, 14, 1277–1281. [Google Scholar] [CrossRef]
- Starkweather, H.W., Jr.; Avakian, P. Conductivity and the Electric Modulus in Polymers. J. Polym. Sci. Part B Polym. Phys. 1992, 30, 637–641. [Google Scholar] [CrossRef]
- Starkweather, H.W. Frequency-temperature relationships for relaxations in polymers. Thermochim. Acta 1993, 226, 1–5. [Google Scholar] [CrossRef]
- Starkweather, H.W. Noncooperative Relaxations. Macromolecules 1988, 21, 1798–1802. [Google Scholar] [CrossRef]
- Starkweather, H.W. Aspects of simple, non-cooperative relaxations. Polymer 1991, 32, 2443–2448. [Google Scholar] [CrossRef]
- Kremer, F.; Schönhals, A. Broadband Dielectric Spectroscopy, 1st ed.; Springer: Berlin/Heidelberg, Germany, 2003; ISBN 978-3-540-43407-8. [Google Scholar]
- Vogel, H. The law of the relation between the viscosity of liquids and the temperature. Phys. Z 1921, 22, 645–646. [Google Scholar]
- Vogel, H. Über die Dissociationswärme und den Einfluss der Temperatur auf den Dissociationsgrad der Elektrolyte. Z. Phys. Chem. 1889, 4U, 96. [Google Scholar]
- Tammann, G.; Hesse, W. Die Abhängigkeit der Viscosität von der Temperatur bie unterkühlten Flüssigkeiten. Z. Anorg. Allg. Chem. 1926, 156, 245–257. [Google Scholar] [CrossRef]
- Jonscher, A.K. Dielectric relaxation in solids. J. Phys. D Appl. Phys. 1999, 32, R57. [Google Scholar] [CrossRef]
- Reyes-Rodriguez, J.L.; Solorza-Feria, O.; García-Bernabé, A.; Giménez, E.; Sahuquillo, O.; Compañ, V. Conductivity of composite membrane-based poly (ether-ether-ketone) sulfonated (SPEEK) nanofiber mats of varying thickness. RSC Adv. 2016, 6, 56986–56999. [Google Scholar] [CrossRef]
- Jin, X.; Zhang, S.; Runt, J. Observation of a fast dielectric relaxation in semi-crystalline poly(ethylene oxide). Polymer 2002, 43, 6247–6254. [Google Scholar] [CrossRef]
- Alegría, A.; Elizetxea, C.; Cendoya, I.; Colmenero, J. Anomalous Dynamical Homogeneity of the Dielectric α-Relaxation in Miscible Polymer Blends of Poly(epichlorohydrin) and Poly(vinyl methyl ether). Macromolecules 1995, 28, 8819–8823. [Google Scholar] [CrossRef]
- Silva, M.A.; De Paoli, M.-A.; Felisberti, M.I. Flory-Huggins interaction parameter of poly (ethylene oxide)/poly (epichlorohydrin) and poly (ethylene oxide)/poly (epichlorohydrin-co-ethylene oxide) blends. Polymer 1998, 39, 2551–2556. [Google Scholar] [CrossRef]
- Riande, E.; Diaz-Calleja, R.; Prolongo, M.; Masegosa, R.; Salom, C. Polymer Viscoelasticity: Stress and Strain in Practice; CRC Press: Boca Raton, FL, USA, 1999; ISBN 0824779045. [Google Scholar]
- Jin, X.; Zhang, S.; Runt, J. Broadband dielectric investigation of amorphous poly(methyl methacrylate)/poly(ethylene oxide) blends. Macromolecules 2004, 37, 8110–8115. [Google Scholar] [CrossRef]
- Mauritz, K.A. Dielectric relaxation studies of ion motions in electrolyte-containing perfluorosulfonate ionomers. 4. Long-range ion transport. Macromolecules 1989, 22, 4483–4488. [Google Scholar] [CrossRef]













| Relaxation | Slope | Intercept | Ea (kJ·mol−1) | Tmax (K) (1 kHz) | R2 |
|---|---|---|---|---|---|
| γ | −1.99 ± 0.09 | 14.87 ± 0.53 | 38 | 183 | 0.981 |
| β + γ′ | −2.61 ± 0.23 | 13.92 ± 1.24 | 50 | 239 | 0.953 |
| Relaxation | Log f0 | D | TVFTH (K) | R2 | ΦTg | αTg × 104 (K−1) | EaTg (kJ/mol) |
|---|---|---|---|---|---|---|---|
| αTg | 13.77 ± 0.56 | 10.32 ± 1.61 | 174 | 0.995 | 0.03 | 0.56 | 244.70 |
| αmelting | 8.15 ± 0.13 | 0.58 ± 0.06 | 283 | 0.997 | 0.17 | 3.56 | 327.40 |
| Relaxation | Sample | Slope | Intercept | Ea (kJ·mol−1) | Tmax (K) (1 kHz) | R2 |
|---|---|---|---|---|---|---|
| δ | CP20 | −1.91 ± 0.19 | 16.58 ± 1.28 | 34 | 140 | 0.943 |
| CP40 | −1.48 ± 0.11 | 14.23 ± 0.72 | 28 | 132 | 0.969 | |
| CP20-O | −2.56 ± 0.31 | 20.85 ± 2.21 | 49 | 144 | 0.944 | |
| CP40-O | −1.55 ± 0.05 | 14.48 ± 0.33 | 30 | 135 | 0.992 | |
| γ | CP20 | −2.29 ± 0.06 | 16.70 ± 0.40 | 48 | 172 | 0.997 |
| CP40 | −2.31 ± 0.18 | 16.54 ± 1.09 | 44 | 171 | 0.935 | |
| CP20-O | −2.95 ± 0.23 | 20.33 ± 1.37 | 56 | 171 | 0.971 | |
| CP40-O | −1.87 ± 0.08 | 14.52 ± 0.54 | 36 | 163 | 0.986 | |
| β | CP20 | −3.38 ± 0.46 | 17.67 ± 2.47 | 65 | 230 | 0.914 |
| CP40 | −2.83 ± 0.23 | 15.51 ± 1.29 | 54 | 226 | 0.974 | |
| CP20-O | −3.29 ± 0.28 | 16.87 ± 1.40 | 63 | 237 | 0.965 | |
| CP40-O | −2.71 ± 0.30 | 14.47 ± 1.58 | 52 | 237 | 0.942 |
| Sample | Log f0 | TVFTH (K) | R2 | m | ΦTg | α × 104 (K−1) | EaTg (kJ/mol) |
|---|---|---|---|---|---|---|---|
| CP20 | 15.41 ± 0.28 | 150.14 ± 23.34 | 0.963 | 25 | 0.03 | 0.36 | 285 |
| CP20-O | 9.19 ± 0.34 | 184.04 ± 1.16 | 0.998 | 59 | 0.03 | 0.61 | 299 |
| CP40 | 8.25 ± 0.43 | 191.53 ± 3.18 | 0.994 | 12 | 0.01 | 0.19 | 437 |
| CP40-O | 15.23 ± 0.19 | 186.05 ± 0.86 | 0.998 | 22 | 0.01 | 0.24 | 309 |
| Sample | Log f0 | TVFTH (K) | R2 | m | ΦTg | αTg × 104 (K−1) | Ea (kJ/mol) |
|---|---|---|---|---|---|---|---|
| CP20 | 2.39 ± 0.45 | 238.07 ± 3.42 | 0.995 | 113 | 0.04 | 1.76 | 361 |
| CP20-O | 13.53 ± 0.87 | 178.59 ± 5.78 | 0.995 | 59 | 0.03 | 0.62 | 238 |
| CP40 | 5.54 ± 0.46 | 218.17 ± 4.63 | 0.995 | 48 | 0.05 | 1.24 | 479 |
| CP40-O | 12.59 ± 0.68 | 206.21 ± 4.14 | 0.998 | 79 | 0.03 | 0.53 | 349 |
| Sample | Temperature (K) | σDC | A | n | R2 |
|---|---|---|---|---|---|
| CP20 | 293 | 3.86 × 10−12 | 4.60 × 10−13 | 0.94 | 0.999 |
| 313 | 6.38 × 10−11 | 5.83 × 10−13 | 0.94 | 0.999 | |
| 323 | 2.17 × 10−10 | 5.98 × 10−13 | 0.95 | 0.999 | |
| 343 | 9.45 × 10−10 | 6.16 × 10−13 | 0.95 | 0.999 | |
| CP20-O | 293 | 6.80 × 10−13 | 3.32 × 10−13 | 0.94 | 0.999 |
| 313 | 1.25 × 10−10 | 6.75 × 10−13 | 0.93 | 0.999 | |
| 323 | 3.30 × 10−10 | 7.39 × 10−13 | 0.94 | 0.999 | |
| 343 | 1.42 × 10−9 | 7.53 × 10−13 | 0.95 | 0.999 | |
| CP40 | 293 | 5.55 × 10−15 | 1.32 × 10−15 | 0.94 | 0.991 |
| 313 | 1.39 × 10−12 | 3.47 × 10−15 | 0.92 | 0.998 | |
| 323 | 4.89 × 10−12 | 2.43 × 10−15 | 0.96 | 0.999 | |
| 343 | 4.90 × 10−11 | 1.41 × 10−15 | 0.99 | 0.999 | |
| CP40-O | 293 | 2.26 × 10−13 | 3.11 × 10−13 | 0.96 | 0.999 |
| 313 | 4.82 × 10−11 | 5.17 × 10−13 | 0.94 | 0.999 | |
| 323 | 1.99 × 10−10 | 6.06 × 10−13 | 0.94 | 0.999 | |
| 343 | 1.55 × 10−9 | 7.95 × 10−13 | 0.94 | 0.999 |
Publisher’s Note: MDPI stays neutral with regard to jurisdictional claims in published maps and institutional affiliations. |
© 2022 by the authors. Licensee MDPI, Basel, Switzerland. This article is an open access article distributed under the terms and conditions of the Creative Commons Attribution (CC BY) license (https://creativecommons.org/licenses/by/4.0/).
Share and Cite
Pascual-Jose, B.; Zare, A.; De la Flor, S.; Reina, J.A.; Giamberini, M.; Ribes-Greus, A. Dielectric Properties in Oriented and Unoriented Membranes Based on Poly(Epichlorohydrin-co-Ethylene Oxide) Copolymers: Part III. Polymers 2022, 14, 1369. https://doi.org/10.3390/polym14071369
Pascual-Jose B, Zare A, De la Flor S, Reina JA, Giamberini M, Ribes-Greus A. Dielectric Properties in Oriented and Unoriented Membranes Based on Poly(Epichlorohydrin-co-Ethylene Oxide) Copolymers: Part III. Polymers. 2022; 14(7):1369. https://doi.org/10.3390/polym14071369
Chicago/Turabian StylePascual-Jose, B., Alireza Zare, Silvia De la Flor, José Antonio Reina, M. Giamberini, and A. Ribes-Greus. 2022. "Dielectric Properties in Oriented and Unoriented Membranes Based on Poly(Epichlorohydrin-co-Ethylene Oxide) Copolymers: Part III" Polymers 14, no. 7: 1369. https://doi.org/10.3390/polym14071369
APA StylePascual-Jose, B., Zare, A., De la Flor, S., Reina, J. A., Giamberini, M., & Ribes-Greus, A. (2022). Dielectric Properties in Oriented and Unoriented Membranes Based on Poly(Epichlorohydrin-co-Ethylene Oxide) Copolymers: Part III. Polymers, 14(7), 1369. https://doi.org/10.3390/polym14071369

