Nanocomposites of Polyhydroxyurethane with POSS Microdomains: Synthesis via Non-Isocyanate Approach, Morphologies and Reprocessing Properties
Abstract
:1. Introduction
2. Experimental
2.1. Materials
2.2. Synthesis of POSS-3H
2.3. Synthesis of POSS-3epoxide (POSS-3EP)
2.4. Synthesis of POSS-Tri(Five-Membered Cyclic Carbonate) [POSS-3(5CC)]
2.5. Preparation of Nanocomposites
2.6. Measurements and Techniques
3. Results and Discussion
3.1. Synthesis of POSS-Tri(Five-Membered Cyclic Carbonate)
3.2. Nanocomposites of PHU with POSS
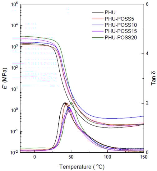
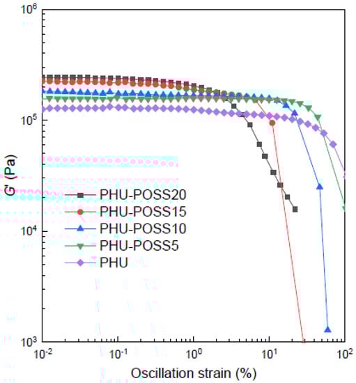
3.3. Thermal and Mechanical Properties
3.4. Reprocessing Properties
4. Conclusions
Author Contributions
Funding
Institutional Review Board Statement
Informed Consent Statement
Data Availability Statement
Conflicts of Interest
References
- Engels, H.W.; Pirkl, H.G.; Albers, R.; Albach, R.W.; Krause, J.; Hoffmann, A.; Casselmann, H.; Dormish, J. Polyurethanes: Versatile materials and sustainable problem solvers for today’s challenges. Angew. Chem. 2013, 52, 9422–9441. [Google Scholar] [CrossRef] [PubMed]
- Thomson, T. Polyurethanes as Specialty Chemicals: Principles and Applications; CRC Press: Boca Raton, FL, USA, 2004. [Google Scholar]
- Karateev, A.; Litvinov, D.; Kalkamanova, O. Nonisocyanate polyhydroxyurethanes based on the raw material of a plant origin. Chem. Chem. Technol. 2014, 8, 329–338. [Google Scholar] [CrossRef]
- Schimpf, V.; Heck, B.; Reiter, G.; Muhaupt, R. Triple-shape memory materials via thermoresponsive behavior of nanocrystalline non-isocyanate polyhydroxyurethanes. Macromolecules 2017, 50, 3598–3606. [Google Scholar] [CrossRef]
- Maisonneuve, L.; Lamarzelle, O.; Rix, E.; Grau, E.; Cramail, H. Isocyanate-free routes to polyurethanes and poly(hydroxyurethane)s. Chem. Rev. 2015, 115, 12407–12439. [Google Scholar] [CrossRef] [Green Version]
- Zhang, K.; Nelson, A.M.; Talley, S.J.; Michaur, G.; Simom, F.; Brusson, J.M.; Carpentier, J.F.; Guillaume, S.M. Non-isocyanate poly(amide-hydroxyurethane)s from sustainable resources. Green Chem. 2016, 18, 4667–4681. [Google Scholar] [CrossRef] [Green Version]
- Poussard, L.; Mariage, J.; Grignard, B.; Detrembleur, C.; Jérôme, C.; Calberg, C.; Heinrichs, B.; De Winter, J.; Gerbaux, P.; Raquez, J.M.; et al. Non-isocyanate polyurethanes from carbonated soybean oil using monomeric or oligomeric diamines to achieve thermosets or thermoplastics. Macromolecules 2016, 49, 2162–2171. [Google Scholar] [CrossRef]
- Bossion, A.; Olazabal, I.; Aguirresarobe, R.H.; Marina, S.; Martín, J.; Irusta, L.; Taton, D.; Sardon, H. Synthesis of self-healable waterborne isocyanatefree poly(hydroxyurethane)-based supramolecular networks by ionic interaction. Polym. Chem. 2019, 10, 2723–2733. [Google Scholar] [CrossRef]
- Ren, F.Y.; You, F.; Gao, S.; Xie, W.H.; He, L.N.; Li, H.R. Oligomeric ricinoleic acid synthesis with a recyclable catalyst and application to preparing non-isocyanate polyhydroxyurethane. Eur. Polym. J. 2021, 153, 110501. [Google Scholar] [CrossRef]
- Zhao, W.; Liang, Z.; Feng, Z.; Xue, B.; Xiong, C.; Duan, C.; Ni, Y. New Kind of Lignin/Polyhydroxyurethane Composite: Green Synthesis, Smart Properties, Promising Applications, and Good Reprocessability and Recyclability. ACS Appl. Mater. Interfaces 2021, 13, 28938–28948. [Google Scholar] [CrossRef]
- Ge, W.; Zhao, B.; Li, L.; Nie, K.; Zheng, S. Nanocomposites of polyhydroxyurethane with nanocrystalline cellulose: Synthesis, thermomechanical and reprocessing properties. Eur. Polym. J. 2021, 149, 110287. [Google Scholar] [CrossRef]
- Matsukizono, H.; Endo, T. Phosgene-free syntheses and hydrolytic properties of water-soluble polyhydroxyurethanes with ester-carbonate-ether structures in their main chains. Macromol. Chem. Phys. 2017, 218, 1700043. [Google Scholar] [CrossRef] [Green Version]
- Matsukizono, H.; Endo, T. Re-workable polyhydroxyurethane films with reversible acetal networks obtained from multi-functional six-membered cyclic carbonates. J. Am. Chem. Soc. 2018, 140, 884–887. [Google Scholar] [CrossRef] [PubMed]
- Cornille, A.; Auvergne, R.; Figovsky, O.; Boutevin, B.; Caillol, S. A perspective approach to sustainable routes for non-isocyanate polyurethanes. Eur. Polym. J. 2017, 87, 535–552. [Google Scholar] [CrossRef]
- Cornille, A.; Dworakowska, S.; Bogdal, D.; Boutevin, B.; Caillol, S. A new way of creating cellular polyurethane materials: NIPU foams. Eur. Polym. J. 2015, 66, 129–138. [Google Scholar] [CrossRef]
- Cornille, A.; Michaud, G.; Simon, F.; Fouquay, S.; Auvergne, R.; Boutevin, B.; Caillol, S. Promising mechanical and adhesive properties of isocyanate-free poly(hydroxyurethane). Eur. Polym. J. 2016, 84, 404–420. [Google Scholar] [CrossRef]
- Duval, A.; AveRous, L. Cyclic carbonates as safe and versatile etherifying reagents for the functionalization of lignins and tannins. ACS Sustain. Chem. Eng. 2017, 5, 7334–7343. [Google Scholar] [CrossRef]
- Chen, X.; Li, L.; Torkelson, J.M. Recyclable polymer networks containing hydroxyurethane dynamic cross-links: Tuning morphology, cross-link density, and associated properties with chain extenders. Polymer 2019, 178, 121604. [Google Scholar] [CrossRef]
- Chen, X.; Li, L.; Wei, T.; Torkelson, J.M. Reprocessable polymer networks designed with hydroxyurethane dynamic cross-links: Effect of backbone structure on network morphology, phase segregation, and property recovery. Macromol. Chem. Phys. 2019, 42, 1900083. [Google Scholar] [CrossRef]
- Leitsch, E.K.; Beniah, G.; Liu, K.; Lan, T.; Heath, W.H.; Scheidt, K.A.; Torkelson, J.M. Nonisocyanate thermoplastic polyhydroxyurethane elastomers via cyclic carbonate aminolysis: Critical role of hydroxyl groups in controlling nanophase separation. ACS Macro Lett. 2016, 5, 424–429. [Google Scholar] [CrossRef]
- Samanta, S.; Selvakumar, S.; Bahr, J.; Wickramaratne, D.S.; Sibi, M.; Chisholm, B.J. Synthesis and characterization of polyurethane networks derived from soybean oil-based cyclic carbonates and bio-derivable diamines. ACS Sustain. Chem. Eng. 2016, 4, 6551–6561. [Google Scholar] [CrossRef]
- Yuen, A.; Bossion, A.; Gome’z-Bengoa, E.; Ruiperez, F.; Isik, M.; Hedrick, J.L.; Mecerreyes, D.; Yang, Y.Y.; Sardon, H. Room temperature synthesis of non-isocyanate polyurethanes (NIPUs) using highly reactive N-substituted 8-membered cyclic carbonates. Polym. Chem. 2016, 7, 2105–2111. [Google Scholar] [CrossRef] [Green Version]
- Janvier, M.; Paul-Henri, D.; Allais, F. Isocyanate-free synthesis and characterization of renewable poly(hydroxy)urethanes from syringaresinol. ACS Sustain. Chem. Eng. 2017, 5, 8648–8656. [Google Scholar] [CrossRef]
- Ma, Z.; Li, C.; Fan, H.; Li, W. Polyhydroxyurethanes (PHUs) derived from diphenolic acid and carbon dioxide and their application in solvent- and water-borne PHU coatings. Ind. Eng. Chem. Res. 2017, 56, 14089–14100. [Google Scholar] [CrossRef]
- Panchireddy, S.; Thomassin, J.M.; Grignard, B.; Damblon, C.; Tatton, A.; Jerome, C.; Detrembleur, C. Reinforced poly(hydroxyurethane) thermosets as high performance adhesives for aluminum substrates. Polym. Chem. 2017, 8, 5897–5909. [Google Scholar] [CrossRef]
- Fortman, D.J.; Snyder, R.L.; Sheppard, D.T.; Dichtel, W.R. Rapidly reprocessable cross-linked polyhydroxyurethanes based on disulfide exchange. ACS Macro Lett. 2018, 7, 1226–1231. [Google Scholar] [CrossRef]
- Furtwengler, P.; Avérous, L. From d-sorbitol to five-membered bis(cyclo-carbonate) as a platform molecule for the synthesis of different original biobased chemicals and polymers. Sci. Rep. 2018, 8, 9134. [Google Scholar] [CrossRef]
- Hu, S.; Chen, X.; Torkelson, J.M. Biobased reprocessable polyhydroxyurethane networks: Full recovery of crosslink density with three concurrent dynamic chemistries. ACS Sustain. Chem. Eng. 2019, 7, 10025–10034. [Google Scholar] [CrossRef]
- Nair, A.S.; Cherian, S.; Balachandran, N.; Panicker, U.G.; Sankaranarayanan, S.K.K. Hybrid poly(hydroxy urethane)s: Folded-sheet morphology and thermoreversible adhesion. ACS Omega 2019, 4, 13042–13051. [Google Scholar] [CrossRef] [Green Version]
- Zhou, H.; Zhang, H.; Mu, S.; Zhang, W.; Ren, W.; Lu, X. Highly regio- and stereoselective synthesis of cyclic carbonates from biomass-derived polyols via organocatalytic cascade reaction. Green Chem. 2019, 21, 6335–6341. [Google Scholar] [CrossRef]
- Tomita, H.; Sanda, F.; Endo, T. Polyaddition behavior of bis (five- and six-membered cyclic carbonate) s with diamine. J. Polym. Sci. Part A Polym. Chem. 2001, 39, 860–867. [Google Scholar] [CrossRef]
- Aoyagi, N.; Furusho, Y.; Endo, T. Effective synthesis of cyclic carbonates from carbon dioxide and epoxides by phosphonium iodides as catalysts in alcoholic solvents. Tetrahedron Lett. 2013, 54, 7031–7034. [Google Scholar] [CrossRef]
- Miyagawa, T.; Shimizu, M.; Sanda, F.; Endo, T. Six-membered cyclic carbonate having styrene moiety as a chemically recyclable monomer: Construction of novel cross-linking-de-cross-linking system of network polymers. Macromolecules 2005, 38, 7944–7949. [Google Scholar] [CrossRef]
- Sanda, F.; Kamatani, J.; Endo, T. Synthesis and anionic ring-opening polymerization behavior of amino acid-derived cyclic carbonates. Macromolecules 2001, 34, 1564–1569. [Google Scholar] [CrossRef]
- Fortman, D.J.; Brutman, J.P.; Cramer, C.J.; Hillmyer, M.A.; Dichtel, W.R. Mechanically activated, catalyst-free polyhydroxyurethane vitrimers. J. Am. Chem. Soc. 2015, 137, 14019–14022. [Google Scholar] [CrossRef] [PubMed]
- Chen, X.; Li, L.; Jin, K.; Torkelson, J.M. Reprocessable polyhydroxyurethane networks exhibiting full property recovery and concurrent associative and dissociative dynamic chemistry via transcarbamoylation and reversible cyclic carbonate aminolysis. Polym. Chem. 2017, 8, 6349–6355. [Google Scholar] [CrossRef]
- Adeel, M.; Zhao, B.; Li, L.; Zheng, S. Nanocomposites of poly(hydroxyurethane)s with multiwalled carbon nanotubes: Synthesis, shape memory, and reprocessing properties. ACS Appl. Polym. Mater. 2020, 2, 1711–1721. [Google Scholar] [CrossRef]
- Chen, X.; Li, L.; Wei, T.; Venerus, D.C.; Torkelson, J.M. Reprocessable polyhydroxyurethane network composites: Effect of filler surface functionality on cross-link density recovery and stress relaxation. ACS Appl. Mater. Interfaces 2019, 11, 2398–2407. [Google Scholar] [CrossRef]
- Li, L.; Zhao, B.; Wang, H.; Gao, Y.; Hu, J.; Zheng, S. Nanocomposites of polyhydroxyurethane with Fe3O4 nanoparticles: Synthesis, shape memory and reprocessing properties. Compos. Sci. Technol. 2021, 215, 109009. [Google Scholar] [CrossRef]
- Yang, Y.; Pössel, B.; Mülhaupt, R. Graphenated ceramic particles as functional fillers for nonisocyanate polyhydroxyurethane composites. Macromol. Mater. Eng. 2020, 305, 2000203. [Google Scholar] [CrossRef]
- Chen, X.; Dumée, L.F. Polyhedral oligomeric silsesquioxane (POSS) nano-composite separation membranes—A review. Adv. Eng. Mater. 2019, 21, 1800667. [Google Scholar] [CrossRef]
- Li, G.; Wang, L.; Ni, H.; Pittman, C.U. Polyhedral oligomeric silsesquioxane (POSS) polymers and copolymers: A review. J. Inorg. Org. Polym. 2001, 11, 123–154. [Google Scholar] [CrossRef]
- Lichtenhan, J.D. Polyhedral oligomeric silsesquioxanes: Building blocks for silsesquioxane-based polymers and hybrid materials. Comments Inorg. Chem. 1995, 17, 115–130. [Google Scholar] [CrossRef]
- Phillips, S.H.; Haddad, T.S.; Tomczak, S.J. Developments in nanoscience: Polyhedral oligomeric silsesquioxane (POSS)-polymers. Curr. Opin. Solid State Mater. Sci. 2004, 8, 21–29. [Google Scholar] [CrossRef]
- Schwab, J.J.; Lichtenhan, J.D. Polyhedral oligomeric silsesquioxane(POSS)-based polymers. Appl. Organomet. Chem. 1998, 12, 707–713. [Google Scholar] [CrossRef] [Green Version]
- Zhao, B.; Mei, H.; Zheng, S. Polyethylene telechelics with POSS termini: Synthesis, morphologies and shape memory properties. Polym. Chem. 2020, 11, 5819–5832. [Google Scholar] [CrossRef]
- Zhao, B.; Xu, S.; Adeel, M.; Zheng, S. Formation of POSS-POSS interactions in polyurethanes: From synthesis, morphologies to shape memory properties of materials. Polymer 2019, 160, 82–92. [Google Scholar] [CrossRef]
- Ni, Y.; Zheng, S.; Nie, K. Morphology and thermal properties of inorganic-organic hybrids involving epoxy resin and polyhedral oligomeric silsesquioxanes. Polymer 2004, 16, 5557–5568. [Google Scholar] [CrossRef]
- He, Y.; Tang, Y.; Chung, T. Concurrent removal of selenium and arsenic from water using polyhedral oligomeric silsesquioxane (POSS)-polyamide thin-film nanocomposite nanofiltration membranes. Ind. Eng. Chem. Res. 2016, 55, 12929–12938. [Google Scholar] [CrossRef]
- Leu, C.M.; Chang, A.; Wei, K. Synthesis and dielectric properties of polyimide-tethered polyhedral oligomeric silsesquioxane (POSS) nanocomposites via POSS-diamine. Chem. Mater. 2003, 15, 2261–2265. [Google Scholar] [CrossRef] [Green Version]
- Blattmann, H.; Mülhaupt, R. Multifunctional POSS cyclic carbonates and non-isocyanate polyhydroxyurethane hybrid materials. Macromolecules 2016, 49, 742–751. [Google Scholar] [CrossRef]
- Zhao, B.; Wei, K.; Wang, L.; Zheng, S. Poly(hydroxyl urethane)s with double decker silsesquioxanes in the main chains: Synthesis, shape recovery, and reprocessing properties. Macromolecules 2020, 53, 434–444. [Google Scholar] [CrossRef]
- Ge, W.; Zhao, B.; Liu, W.; Nie, K.; Zheng, S. Polythiourethanes crosslinked with dynamic disulfide bonds: Synthesis via nonisocyanate approach, thermomechanical and reprocessing properties. Macromol. Rapid Commun. 2021, 42, 2000718. [Google Scholar] [CrossRef] [PubMed]
- Ohno, K.; Sugiyama, S.; Koh, K.; Tsujii, Y.; Fukuda, T.; Yamahiro, M.; Oikawa, H.; Yamamoto, Y.; Ootake, N.; Watanabe, K. Living radical polymerization by polyhedral oligomeric silsesquioxane-holding initiators: Precision synthesis of tadpole-shaped organic/inorganic hybrid polymers. Macromolecules 2004, 37, 8517–8522. [Google Scholar] [CrossRef]













| Samples | Glass Transition Temperature Tg a (°C) | Degradation Temperature Td b (°C) | Tensile Strength (MPa) | Elongation at Break (%) | Young’s Modulus (MPa) |
|---|---|---|---|---|---|
| PHU | 41.2 | 299.5 | 2.5 ± 0.2 | 369 ± 31 | 10.7 ± 0.9 |
| PHU-POSS5 | 44.1 | 298.6 | 2.8 ± 0.2 | 277 ± 27 | 29.6 ± 1.4 |
| PHU-POSS10 | 46.9 | 299.2 | 3.9 ± 0.3 | 234 ± 16 | 47.2 ± 2.9 |
| PHU-POSS15 | 48.7 | 298.7 | 6.4 ± 0.3 | 161 ± 18 | 59.2 ± 3.6 |
| PHU-POSS20 | 51.1 | 299.6 | 27.7 ± 0.7 | 30 ± 7 | 89.9 ± 4.5 |
Publisher’s Note: MDPI stays neutral with regard to jurisdictional claims in published maps and institutional affiliations. |
© 2022 by the authors. Licensee MDPI, Basel, Switzerland. This article is an open access article distributed under the terms and conditions of the Creative Commons Attribution (CC BY) license (https://creativecommons.org/licenses/by/4.0/).
Share and Cite
Liu, W.; Hang, G.; Mei, H.; Li, L.; Zheng, S. Nanocomposites of Polyhydroxyurethane with POSS Microdomains: Synthesis via Non-Isocyanate Approach, Morphologies and Reprocessing Properties. Polymers 2022, 14, 1331. https://doi.org/10.3390/polym14071331
Liu W, Hang G, Mei H, Li L, Zheng S. Nanocomposites of Polyhydroxyurethane with POSS Microdomains: Synthesis via Non-Isocyanate Approach, Morphologies and Reprocessing Properties. Polymers. 2022; 14(7):1331. https://doi.org/10.3390/polym14071331
Chicago/Turabian StyleLiu, Weiming, Guohua Hang, Honggang Mei, Lei Li, and Sixun Zheng. 2022. "Nanocomposites of Polyhydroxyurethane with POSS Microdomains: Synthesis via Non-Isocyanate Approach, Morphologies and Reprocessing Properties" Polymers 14, no. 7: 1331. https://doi.org/10.3390/polym14071331
APA StyleLiu, W., Hang, G., Mei, H., Li, L., & Zheng, S. (2022). Nanocomposites of Polyhydroxyurethane with POSS Microdomains: Synthesis via Non-Isocyanate Approach, Morphologies and Reprocessing Properties. Polymers, 14(7), 1331. https://doi.org/10.3390/polym14071331

