Physico-Mechanical Properties of Commercially Available Tissue Conditioner Modified with Synthesized Chitosan Oligosaccharide
Abstract
1. Introduction
2. Materials and Methods
2.1. Sample Preparation
2.2. Shore A Hardness Test
2.3. Absorption and Desorption
2.4. Statistical Analysis
3. Results
3.1. Characterization
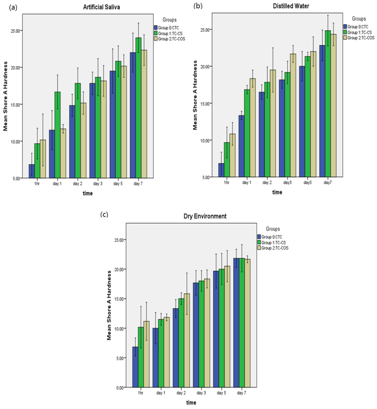
3.2. Shore A Hardness
3.3. Water Sorption and Solubility
4. Discussion
5. Conclusions
Author Contributions
Funding
Institutional Review Board Statement
Informed Consent Statement
Data Availability Statement
Acknowledgments
Conflicts of Interest
References
- Iqbal, Z.; Zafar, M.S. Role of antifungal medicaments added to tissue conditioners: A systematic review. J. Prosthodont. Res. 2016, 60, 231–239. [Google Scholar] [CrossRef] [PubMed]
- Sharma, S.; Hegde, V. Comparative evaluation of antifungal activity of melaleuca oil and fluconazole when incorporated in tissue conditioner: An in vitro study. J. Prosthodont. Off. J. Am. Coll. Prosthodont. 2014, 23, 367–373. [Google Scholar] [CrossRef]
- Lima, J.F.; Maciel, J.G.; Arrais, C.A.; Porto, V.C.; Urban, V.M.; Neppelenbroek, K.H. Effect of incorporating antifungals on the water sorption and solubility of interim resilient liners for denture base relining. J. Prosthet. Dent. 2016, 115, 611–616. [Google Scholar] [CrossRef] [PubMed]
- Neppelenbroek, K.H. Sustained drug-delivery system: A promising therapy for denture stomatitis? J. Appl. Oral Sci. 2016, 24, 420–422. [Google Scholar] [CrossRef] [PubMed]
- Fallah-tafti, A.; Jafari, A.; Mirzaeiipoorm, L.; Ashoori, H. Stability and duration of antifungal effects of Nystatin and Fluconazole mixed with a tissue conditioner on colonization of Candida Albicans (in vitro). J. Res. Dent. Sci. 2014, 11, 21–26. [Google Scholar]
- Prasad, A.D.; Prasad, B.R.; Shetty, V.; Shastry, C.; Prasad, K.D. Tissue conditioners: A review. Nitte Univ. J. Health Sci. 2014, 4, 152–157. [Google Scholar]
- Rodrigues, S.; Shenoy, V.; Shetty, T. Resilient Liners: A Review. J. Indian Prosthodont. Soc. 2013, 13, 155–164. [Google Scholar] [CrossRef]
- Srivatstava, A.; Ginjupalli, K.; Perampalli, N.U.; Bhat, N.; Ballal, M. Evaluation of the properties of a tissue conditioner containing origanum oil as an antifungal additive. J. Prosthet. Dent. 2013, 110, 313–319. [Google Scholar] [CrossRef]
- Kreve, S.; Oliveira, V.C.; Bachmann, L.; Alves, O.L.; Reis, A.C.D. Influence of AgVO3 incorporation on antimicrobial properties, hardness, roughness and adhesion of a soft denture liner. Sci. Rep. 2019, 9, 11889. [Google Scholar] [CrossRef]
- Din, S.U.; Sajid, M.; Saeed, A.; Chaudhary, F.A.; Alam, M.K.; Sarfaz, J.; Ahmed, B.; Patel, M. Dimensional changes of commercial and novel polyvinyl siloxane impression materials following sodium hypochlorite disinfection. PeerJ 2022, 10, e12812. [Google Scholar] [CrossRef]
- Khurshid, Z.; Naseem, M.; Zafar, M.S.; Najeeb, S.; Zohaib, S. Propolis: A natural biomaterial for dental and oral healthcare. J. Dent. Res. Dent. Clin. Dent. Prospect. 2017, 11, 265–274. [Google Scholar] [CrossRef]
- Cheung, R.C.; Ng, T.B.; Wong, J.H.; Chan, W.Y. Chitosan: An Update on Potential Biomedical and Pharmaceutical Applications. Mar. Drugs 2015, 13, 5156–5186. [Google Scholar] [CrossRef] [PubMed]
- Husain, S.; Al-Samadani, K.H.; Najeeb, S.; Zafar, M.S.; Khurshid, Z.; Zohaib, S.; Qasim, S.B. Chitosan biomaterials for current and potential dental applications. Materials 2017, 10, 602. [Google Scholar] [CrossRef] [PubMed]
- Lee, H.L.; Wang, R.S.; Hsu, Y.C.; Chuang, C.C.; Chan, H.R.; Chiu, H.C.; Wang, Y.B.; Chen, K.Y.; Fu, E. Antifungal effect of tissue conditioners containing poly(acryloyloxyethyltrimethyl ammonium chloride)-grafted chitosan on Candida albicans growth in Vitro. J. Dent. Sci. 2018, 13, 160–166. [Google Scholar] [CrossRef] [PubMed]
- Mousavi, S.A.; Ghotaslou, R.; Kordi, S.; Khoramdel, A.; Aeenfar, A.; Kahjough, S.T.; Akbarzadeh, A. Antibacterial and antifungal effects of chitosan nanoparticles on tissue conditioners of complete dentures. Int. J. Biol. Macromol. 2018, 118, 881–885. [Google Scholar] [CrossRef] [PubMed]
- Saeed, A.; Haider, A.; Zahid, S.; Khan, S.A.; Faryal, R.; Kaleem, M. In-vitro antifungal efficacy of tissue conditioner-chitosan composites as potential treatment therapy for denture stomatitis. Int. J. Biol. Macromol. 2019, 125, 761–766. [Google Scholar] [CrossRef]
- Levallois, B.; Fovet, Y.; Lapeyre, L.; Gal, J.Y. In vitro fluoride release from restorative materials in water versus artificial saliva medium (SAGF). Dent. Mater. 1998, 14, 441–447. [Google Scholar] [CrossRef]
- ASTM D2240-05(2010). STMfRPDH.; ASTM International: West Conshohocken, PA, USA, 2010; Available online: www.astm.org (accessed on 15 June 2021).
- Kanjanamekanant, K.; Limpuangthip, N.; Arksornnukit, M. Physical and Mechanical Properties of Antifungal Ionic Liquid-Incorporated Dental Tissue Conditioner. Mater. Sci. Appl. 2017, 8, 376–388. [Google Scholar] [CrossRef][Green Version]
- Urban, V.M.; Lima, T.F.; Bueno, M.G.; Giannini, M.; Arioli Filho, J.N.; de Almeida, A.L.; Neppelenbroek, K.H. Effect of the addition of antimicrobial agents on Shore A hardness and roughness of soft lining materials. J. Prosthodont. Off. J. Am. Coll. Prosthodont. 2015, 24, 207–214. [Google Scholar] [CrossRef] [PubMed]
- Hejazi, M.; Zareshahrabadi, Z.; Ashayeri, S.; Saharkhiz, M.J.; Iraji, A.; Alishahi, M.; Zomorodian, K. Characterization and Physical and Biological Properties of Tissue Conditioner Incorporated with Carum copticum L. BioMed Res. Int. 2021, 2021, 5577760. [Google Scholar] [CrossRef]
- de Fátima Souto Maior, L.; Maciel, P.P.; Ferreira, V.Y.N.; de Lima Gouveia Dantas, C.; de Lima, J.M.; Castellano, L.R.C.; Batista, A.U.D.; Bonan, P.R.F. Antifungal activity and Shore A hardness of a tissue conditioner incorporated with terpinen-4-ol and cinnamaldehyde. Clin. Oral Investig. 2019, 23, 2837–2848. [Google Scholar] [CrossRef] [PubMed]
- Herla, M.; Boening, K.; Meissner, H.; Walczak, K. Mechanical and Surface Properties of Resilient Denture Liners Modified with Chitosan Salts. Materials 2019, 12, 3518. [Google Scholar] [CrossRef] [PubMed]
- Garg, A.; Shenoy, K.K. A comparative evaluation of effect on water sorption and solubility of a temporary soft denture liner material when stored either in distilled water, 5.25% sodium hypochlorite or artificial saliva: An in vitro study. J. Indian Prosthodont. Soc. 2016, 16, 53. [Google Scholar] [CrossRef] [PubMed]
- Khaledi, A.; Bahrani, M.; Shirzadi, S. Effect of food simulating agents on the hardness and bond strength of a silicone soft liner to a denture base acrylic resin. Open Dent. J. 2015, 9, 402. [Google Scholar] [CrossRef] [PubMed]
- Ud Din, S.; Chaudhary, F.A.; Ahmed, B.; Alam, M.K.; Parker, S.; Patel, M.; Javed, M.Q. Comparison of the Hardness of Novel Experimental Vinyl Poly Siloxane (VPS) Impression Materials with Commercially Available Ones. BioMed Res. Int. 2022, 2022. [Google Scholar] [CrossRef] [PubMed]
- Bueno, M.G.; Sousa, E.J.B.d.; Hotta, J.; Porto, V.C.; Urban, V.M.; Neppelenbroek, K.H. Surface properties of temporary soft liners modified by minimum inhibitory concentrations of antifungals. Braz. Dent. J. 2017, 28, 158–164. [Google Scholar] [CrossRef]
- Mancuso, D.N.; Goiato, M.C.; Zuccolotti, B.C.R.; Moreno, A.; dos Santos, D.M.; Pesqueira, A.A. Effect of thermocycling on hardness, absorption, solubility and colour change of soft liners. Gerodontology 2012, 29, e215–e219. [Google Scholar] [CrossRef]
- Hassan, M. Development of Novel Citrate-Based Dental Tissue Conditioners; Queen Mary University of London: London, UK, 2016. [Google Scholar]
- Szymańska, E.; Winnicka, K. Stability of chitosan—a challenge for pharmaceutical and biomedical applications. Mar. Drugs 2015, 13, 1819–1846. [Google Scholar] [CrossRef]





| Immerse Media | Groups | Mean | S.D | F (p-Value) | Post–Hoc Tukey Test | p-Value |
|---|---|---|---|---|---|---|
| Distilled Water | Group 0: CTC (Control) | 1.541 | 0.256 | 63.373 (≤ 0.001) | Group 0 vs. Group 1 | ≤0.001 |
| Group 0 vs. Group 2 | ≤0.001 | |||||
| Group 1: TC-CS (Experimental) | 2.157 | 0.180 | Group 1 vs. Group 2 | ≤0.001 | ||
| Group 2: TC-COS (Experimental) | 2.615 | 0.421 | ||||
| Artificial Saliva | Group 0: CTC (Control) | 1.659 | 0.235 | 5.945 (0.005) | Group 0 vs. Group 1 | 0.007 |
| Group 1: TC-CS (Experimental) | 2.001 | 0.189 | Group 0 vs. Group 2 | ≤0.001 | ||
| Group 2: TC-COS (Experimental) | 1.964 | 0.519 | Group 1 vs. Group 2 | 0.020 |
| Groups | Duration | Distilled Water | F (p-Value) | Artificial Saliva | F (p-Value) |
|---|---|---|---|---|---|
| Mean ± S.D | Mean ± S.D | ||||
| Group 0: CTC (Control) | 1 day | 0.116 ± 0.013 | 54.352 (p ≤ 0.001) | 0.860 ± 0.197 | 13.124 (p ≤ 0.001) |
| 3 day | 0.238 ± 0.024 | 1.092 ± 0.192 | |||
| 5 day | 0.214 ± 0.063 | 1.092 ± 0.190 | |||
| 7 day | 0.360 ± 0.035 | 1.424 ± 0.219 | |||
| 14 day | 0.500 ± 0.065 | 1.678 ± 0.191 | |||
| Group 1: TC-CS (Experimental) | 1 day | 0.652 ± 0.255 | 6.106 (p = 0.002) | 0.848 ± 0.282 | 6.952 (p ≤ 0.001) |
| 3 day | 0.952 ± 0.274 | 0.960 ± 0.278 | |||
| 5 day | 0.952 ± 0.284 | 1.328 ± 0.265 | |||
| 7 day | 1.120 ± 0.235 | 1.416 ± 0.319 | |||
| 14 day | 1.404 ± 0.181 | 1.656 ± 0.264 | |||
| Group 2: TC-COS (Experimental) | 1 day | 0.700 ± 0.209 | 10.909 (p ≤ 0.001) | 1.648 ± 0.533 | 0.761 (p = 0.563) |
| 3 day | 0.866 ± 0.275 | 1.790 ± 0.456 | |||
| 5 day | 0.892 ± 0.265 | 1.728 ± 0.411 | |||
| 7 day | 1.124 ± 0.361 | 1.874 ± 0.441 | |||
| 14 day | 1.824 ± 0.356 | 2.112 ± 0.428 |
| Groups | Immerse Media | Mean | S.D | F Value | p-Value |
|---|---|---|---|---|---|
| Group 0: CTC (Control) | Distilled Water | 0.286 | 0.028 | 160.367 | ≤0.001 |
| Artificial Saliva | 1.229 | 0.069 | |||
| Group 1: TC-CS (Experimental) | Distilled Water | 1.016 | 0.068 | 4.654 | 0.036 |
| Artificial Saliva | 1.242 | 0.080 | |||
| Group 2: TC-COS (Experimental) | Distilled Water | 1.081 | 0.097 | 32.112 | ≤0.001 |
| Artificial Saliva | 1.830 | 0.089 |
| Immerse Media | Groups | Mean | S.D | F (p-Value) | Post–Hoc Tukey Test | p-Value |
|---|---|---|---|---|---|---|
| Distilled Water | Group 0: CTC (Control) | 0.286 | 0.141 | 39.372 (≤0.001) | Group 0 vs. Group 1 | ≤0.001 |
| Group 0 vs. Group 2 | ≤0.001 | |||||
| Group 1: TC-CS (Experimental) | 1.016 | 0.338 | Group 1 vs. Group 2 | 0.790 | ||
| Group 2: TC-COS (Experimental) | 1.081 | 0.487 | ||||
| Artificial Saliva | Group 0: CTC (Control) | 1.229 | 0.345 | 18.359 (≤0.001) | Group 0 vs. Group 1 | 0.993 |
| Group 1: TC-CS (Experimental) | 1.242 | 0.399 | Group 0 vs. Group 2 | ≤0.001 | ||
| Group 2: TC-COS (Experimental) | 1.830 | 0.447 | Group 1 vs. Group 2 | ≤0.001 |
Publisher’s Note: MDPI stays neutral with regard to jurisdictional claims in published maps and institutional affiliations. |
© 2022 by the authors. Licensee MDPI, Basel, Switzerland. This article is an open access article distributed under the terms and conditions of the Creative Commons Attribution (CC BY) license (https://creativecommons.org/licenses/by/4.0/).
Share and Cite
Saeed, A.; Zahid, S.; Sajid, M.; Ud Din, S.; Alam, M.K.; Chaudhary, F.A.; Kaleem, M.; Alswairki, H.J.; Abutayyem, H. Physico-Mechanical Properties of Commercially Available Tissue Conditioner Modified with Synthesized Chitosan Oligosaccharide. Polymers 2022, 14, 1233. https://doi.org/10.3390/polym14061233
Saeed A, Zahid S, Sajid M, Ud Din S, Alam MK, Chaudhary FA, Kaleem M, Alswairki HJ, Abutayyem H. Physico-Mechanical Properties of Commercially Available Tissue Conditioner Modified with Synthesized Chitosan Oligosaccharide. Polymers. 2022; 14(6):1233. https://doi.org/10.3390/polym14061233
Chicago/Turabian StyleSaeed, Asfia, Shahreen Zahid, Muhammad Sajid, Shahab Ud Din, Mohammad Khursheed Alam, Farooq Ahmad Chaudhary, Muhammad Kaleem, Haytham Jamil Alswairki, and Huda Abutayyem. 2022. "Physico-Mechanical Properties of Commercially Available Tissue Conditioner Modified with Synthesized Chitosan Oligosaccharide" Polymers 14, no. 6: 1233. https://doi.org/10.3390/polym14061233
APA StyleSaeed, A., Zahid, S., Sajid, M., Ud Din, S., Alam, M. K., Chaudhary, F. A., Kaleem, M., Alswairki, H. J., & Abutayyem, H. (2022). Physico-Mechanical Properties of Commercially Available Tissue Conditioner Modified with Synthesized Chitosan Oligosaccharide. Polymers, 14(6), 1233. https://doi.org/10.3390/polym14061233

