A Sprayable and Visible Light Rapid-Cured Strippable Film for Surface Radioactive Decontamination
Abstract
:1. Introduction
2. Experiment
2.1. Materials
2.2. Sample Preparation
2.2.1. Preparation of TBA Homopolymer (PTBA) by Photopolymerization
2.2.2. Preparation of LPB/TBA Solutions
2.2.3. Preparation of Strippable Film via Visible Light Curing
2.3. Structural Characterization
3. Results and Discussion
3.1. Molecular Weight of PTBA
3.2. Viscosity of the LPB/TBA Solution
3.3. Polymerization Mechanism of the Strippable Films
3.4. Double Bond Conversion (DBC) and Photopolymerization Rate of TBA and LPB
3.5. Gel Content
3.6. VOC Content
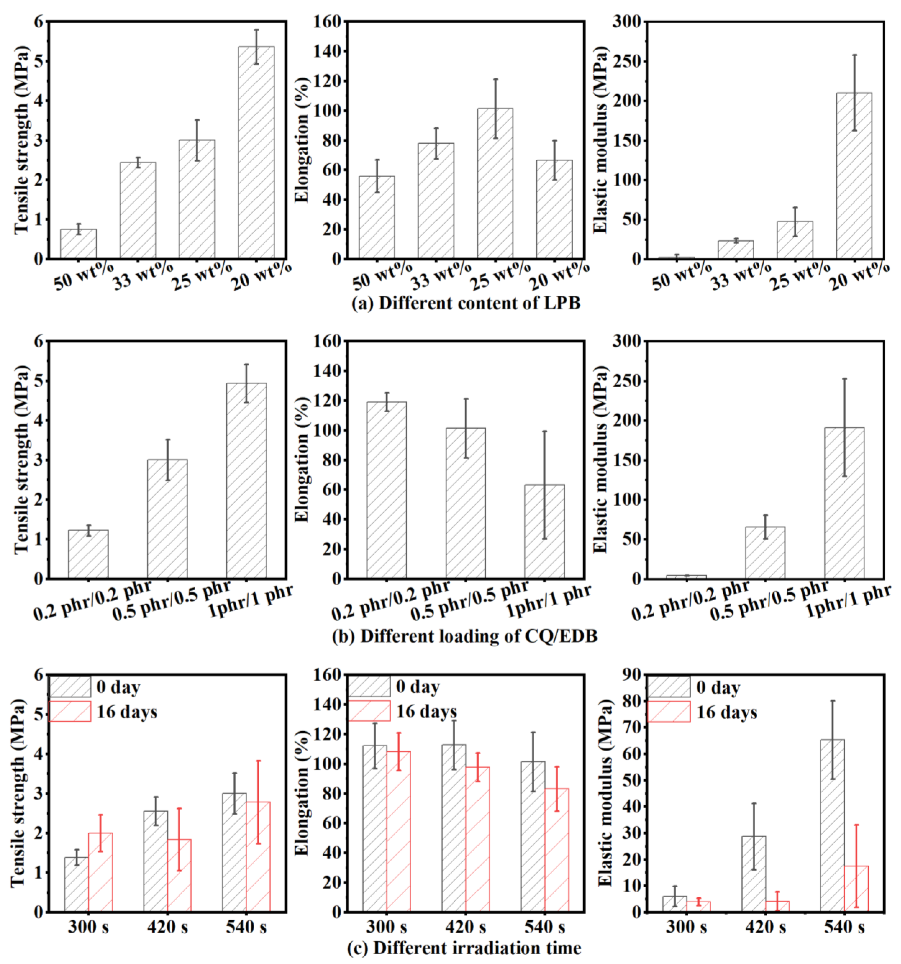
3.7. Mechanical Properties
3.8. Decontamination Efficiency (DE)
4. Conclusions
Author Contributions
Funding
Acknowledgments
Conflicts of Interest
References
- Pulpea, D.; Rotariu, T.; Toader, G.; Pulpea, G.B.; Neculae, V.; Teodorescu, M. Decontamination of radioactive hazardous materials by using novel biodegradable strippable coatings and new generation complexing agents. Chemosphere 2020, 258, 127227. [Google Scholar] [CrossRef] [PubMed]
- Kaminski, M.D.; Lee, S.D.; Magnuson, M. Wide-area decontamination in an urban environment after radiological dispersion: A review and perspectives. J. Hazard. Mater. 2016, 305, 67–86. [Google Scholar] [CrossRef] [PubMed] [Green Version]
- Zhong, L.; Lei, J.; Deng, J.; Lei, Z.; Lei, L.; Xu, X. Existing and potential decontamination methods for radioactively contaminated metals-A Review. Prog. Nucl. Energy 2021, 139, 103854. [Google Scholar] [CrossRef]
- Kohli, R. Chapter 1-Removal of Surface Contaminants Using Ionic Liquids, 1st ed.; William Andrew Publishing: London, UK, 2013; pp. 1–63. [Google Scholar]
- Lu, C.; Tang, Q.; Chen, M.; Zhou, X.; Zheng, Z. Study on ultrasonic electrochemical decontamination. J. Radioanal. Nucl. Chem. 2018, 316, 1–7. [Google Scholar] [CrossRef]
- Naznin, M.; Choi, J.; Shin, W.S.; Choi, J. Removal of metal ions from electrochemical decontamination solution using organic acids. Sep. Sci. Technol. 2017, 52, 2888–2898. [Google Scholar] [CrossRef]
- Yang, H.M.; Park, C.W.; Lee, K.W.; Lee, B.S.; Kim, I.; Yoon, I.H. Polyvinyl alcohol-borate hydrogel containing prussian blue for surface decontamination. J. Radioanal. Nucl. Chem. 2018, 316, 955–962. [Google Scholar] [CrossRef]
- Yang, H.M.; Yoon, I.H.; Lee, Y. Poly(vinyl alcohol)-borax complex-based spray coating for the decontamination of radioactive Cs from wide-area surfaces. Chem. Eng. J. 2020, 402, 126299. [Google Scholar] [CrossRef]
- Dame, C.; Fritz, C.; Pitois, O.; Faure, S. Relations between physicochemical properties and instability of decontamination foams. Colloids Surf. A 2005, 263, 210–218. [Google Scholar] [CrossRef]
- Toader, G.; Stănescu, P.-O.; Zecheru, T.; Rotariu, T.; El-Ghayoury, A.; Teodorescu, M. Water-based strippable coatings containing bentonite clay for heavy metal surface decontamination. Arabian J. Chem. 2019, 12, 4026–4034. [Google Scholar] [CrossRef] [Green Version]
- Fricke, V. ALARATM 1146 Strippable Coating; Office of Scientific & Technical Information Technical Reports: Columbia, SC, USA, 1999. [Google Scholar]
- Vanhorne-Sealy, J.D. Evaluating the efficiency of Decon Gel 1101 for removal of 137Cs, 60Co, and 154Eu on common commercial construction materials. Master’s Thesis, Oregon State University, Oregon, OR, USA, 2009. [Google Scholar]
- Gurau, D.; Deju, R. The use of chemical gel for decontamination during decommissioning of nuclear facilities. Radiat. Phys. Chem. 2015, 106, 371–375. [Google Scholar] [CrossRef]
- Kohli, R. Chapter 2-Applications of Strippable Coatings for Removal of Surface Contaminants, 1st ed.; Elsevier: Amsterdam, The Netherlands, 2019; pp. 50, 67–70. [Google Scholar]
- Technology Evaluation Report Bartlett Services, Inc. Stripcoat TLC Free Radiological Decontamination Strippable Coating; U.S. Environmental Protection Agency: Washington, DC, USA, 2008. [Google Scholar]
- Technology Evaluation Report Isotron Corp. Orion™ Radiological Decontamination Strippable Coating; U.S. Environmental Protection Agency: Washington, DC, USA, 2008. [Google Scholar]
- Gray, H.N.; Jorgensen, B.; Mcclaugherty, D.L.; Kippenberger, A. Smart Polymeric Coatings for Surface Decontamination. Ind. Eng. Chem. Res. 2001, 40, 3540–3546. [Google Scholar] [CrossRef]
- Liu, R.L.; Li, Y.T.; Zhou, Y.L.; Zhang, H.Y.; Zhang, Q.P.; Zheng, J.; Wang, S.Q. Fabrication of poly(methyl methacrylate)-block-poly(methacrylic acid) diblock copolymer as a self-embrittling strippable coating for radioactive decontamination. Chem. Lett. 2016, 45, 793–794. [Google Scholar] [CrossRef]
- Zhang, K.; Wang, S.; He, Z.; Wu, M.; Cao, X. Study on acrylate peelable nuclear detergent for film formation at low temperature. Appl. Radiat. Isot. 2020, 162, 109187. [Google Scholar] [CrossRef] [PubMed]
- Wagle, P.G.; Tamboli, S.S.; More, A.P. Peelable coatings: A review. Prog. Org. Coat. 2021, 150, 106005. [Google Scholar] [CrossRef]
- Banerjee, D.; Sandhya, U.; Khot, S.A.; Srinivas, C. Development of Strippable Gel for Surface Decontamination Applications; Nuclear Recycle Group: Trombay, India, 2015. [Google Scholar]
- Luong, P.Q.; Chinh, N.V.; Dinh Lam, N. Surface decontamination studies of 137CS and 85Sr using polymer gel. Univers. J. Phys. Appl. 2016, 10, 150–156. [Google Scholar]
- Yang, H.M.; Hwang, K.S.; Park, C.W.; Lee, K.-W. Polyvinyl alcohol-borate hydrogel containing magnetic adsorbent for surface decontamination. Ann. Nucl. Energy 2017, 109, 359–364. [Google Scholar] [CrossRef]
- Yang, H.M.; Park, C.W.; Lee, K.W. Polymeric coatings for surface decontamination and ecofriendly volume reduction of radioactive waste after use. Prog. Nucl. Energy 2018, 104, 67–74. [Google Scholar] [CrossRef]
- Yang, H.M.; Park, C.W.; Lee, K.W. Enhanced surface decontamination of radioactive Cs by self-generated, strippable hydrogels based on reversible cross-linking. J. Hazard. Mater. 2019, 362, 72–81. [Google Scholar] [CrossRef]
- Olson, K.E.; Anderson, B.M. Highly durable waterborne radiation cured coating. U.S. Patent 6,822,063, 23 November 2004. [Google Scholar]
- Salamon, P.A. Temporary Protective Coatings for Precision Surfaces. U.S. Patent 5945462, 31 August 1999. [Google Scholar]
- Sun, F.C.; Shen, B. Synthesis and properties of novel UV curable strippable metallic coatings. Chem. Ind. Times 2010, 24, 12–16. [Google Scholar]
- Tao, M.J.; Yuan, L.; Guan, Q.B.; Liang, G.Z.; Gu, A.J. Water-Phase Synthesis of a Biobased Allyl Compound for Building UV-Curable Flexible Thiol–Ene Polymer Networks with High Mechanical Strength and Transparency. ACS Sustain. Chem. Eng. 2018, 6, 7902–7909. [Google Scholar]
- Shen, L.; Li, Y.; Zheng, J.; Lu, M.; Wu, K. Modified epoxy acrylate resin for photocurable temporary protective coatings. Prog. Org. Coat. 2015, 89, 17–25. [Google Scholar] [CrossRef]
- Xu, Y.; Ding, Z.; Zhu, H.; Graff, B.; Knopf, S.; Xiao, P.; Dumur, F.; Lalevée, J. Design of ketone derivatives as highly efficient photoinitiators for free radical and cationic photopolymerizations and application in 3D printing of composites. J. Polym. Sci. 2020, 58, 3432–3435. [Google Scholar] [CrossRef]
- Pérez-Mondragón, A.A.; Cuevas-Suárez, C.E.; González-López, J.A.; Trejo-Carbajal, N.; Herrera-González, A.M. Evaluation of new coinitiators of camphorquinone useful in the radical photopolymerization of dental monomers. J. Photochem. Photobiol. A 2020, 403, 112844. [Google Scholar] [CrossRef]
- Yoon, T.-H.; Lee, Y.-K.; Lim, B.-S.; Kim, C.-W. Degree of polymerization of resin composites by different light sources. J. Oral Rehabil. 2002, 29, 1165–1173. [Google Scholar] [CrossRef] [PubMed]
- Al-Odayni, A.-B.; Saeed, W.S.; Khan, R.; Al-Kahtani, A.; Aouak, T.; Almutairi, K.; Alrahlah, A. Viscosity, Degree of Polymerization, Water Uptake, and Water Solubility Studies on Experimental Dichloro-BisGMA-Based Dental Composites. Appl. Sci. 2021, 11, 3577. [Google Scholar] [CrossRef]
- Wang, D.; Szillat, F.; Fouassier, J.P.; Lalevée, J. Remarkable versatility of silane/iodonium salt as redox free radical, cationic, and photopolymerization initiators. Macromolecules 2019, 52, 5638–5645. [Google Scholar] [CrossRef]
- Yi, H.; Lu, J.; Han, B. Synthesis and characterization of dihydroxyl-terminated polybutadiene with high content of 1,4-structure. China Synth. Rubber Ind. 2010, 33, 353–356. [Google Scholar]
- Fu, J.C. Study on Preparation and Properties of UV-Curable Polyurethane Acrylate Hardening Coatings. Master’s Thesis, Zhejiang University, Zhejiang, China, 2020; p. 46. [Google Scholar]










| Loading of CQ/EDB (phr/phr) | Time (s) | Mn (kgꞏmol−1) | Mw (kgꞏmol−1) | PDI |
|---|---|---|---|---|
| 0.2/0.2 | 200 | - | - | - * |
| 0.2/0.2 | 400 | 184 | 335 | 1.82 |
| 0.2/0.2 | 600 | 155 | 303 | 1.96 |
| 0.5/0.5 | 200 | 185 | 350 | 1.89 |
| 0.5/0.5 | 400 | 177 | 334 | 1.89 |
| 0.5/0.5 | 600 | 171 | 324 | 1.89 |
| 1/1 | 200 | 185 | 353 | 1.91 |
| 1/1 | 400 | 163 | 336 | 2.07 |
| 1/1 | 600 | 148 | 318 | 2.16 |
| Monomer | Loading (phr/phr) | Photopolymerization Rate * (s−1) | Final DBC (%) |
|---|---|---|---|
| TBA | 0.2/0.2 | 0.18 | 77.9 ± 2.1 |
| TBA | 0.5/0.5 | 0.48 | 89.9 ± 1.0 |
| TBA | 1/1 | 0.84 | 96.8 ± 1.9 |
| LPB | 0.2/0.2 | 0.03 | 11.9 ± 1.5 |
| LPB | 0.5/0.5 | 0.26 | 25.0 ± 0.5 |
| LPB | 1/1 | 0.31 | 37.5 ± 1.9 |
| Surface Type | DE (%) |
|---|---|
| Glass | 98.1 ± 2.8 |
| Ceramic | 94.3 ± 5.7 |
| Metal | 97.6 ± 2.5 |
Publisher’s Note: MDPI stays neutral with regard to jurisdictional claims in published maps and institutional affiliations. |
© 2022 by the authors. Licensee MDPI, Basel, Switzerland. This article is an open access article distributed under the terms and conditions of the Creative Commons Attribution (CC BY) license (https://creativecommons.org/licenses/by/4.0/).
Share and Cite
Zhang, H.; Zhang, H.; Zhu, W.; Xi, H.; Ma, B.; He, Y. A Sprayable and Visible Light Rapid-Cured Strippable Film for Surface Radioactive Decontamination. Polymers 2022, 14, 1008. https://doi.org/10.3390/polym14051008
Zhang H, Zhang H, Zhu W, Xi H, Ma B, He Y. A Sprayable and Visible Light Rapid-Cured Strippable Film for Surface Radioactive Decontamination. Polymers. 2022; 14(5):1008. https://doi.org/10.3390/polym14051008
Chicago/Turabian StyleZhang, Huiyuan, Hongxing Zhang, Wenchao Zhu, Hailing Xi, Bomou Ma, and Yong He. 2022. "A Sprayable and Visible Light Rapid-Cured Strippable Film for Surface Radioactive Decontamination" Polymers 14, no. 5: 1008. https://doi.org/10.3390/polym14051008
APA StyleZhang, H., Zhang, H., Zhu, W., Xi, H., Ma, B., & He, Y. (2022). A Sprayable and Visible Light Rapid-Cured Strippable Film for Surface Radioactive Decontamination. Polymers, 14(5), 1008. https://doi.org/10.3390/polym14051008

