Physical Properties and Polymorphism of Acrylic Acid-Grafted Poly(1,4-butylene adipate-co-terephthalate)/Organically Modified Layered Double Hydroxide Nanocomposites
Abstract
:1. Introduction
2. Materials and Methods
2.1. Materials
2.2. Preparation of g-PBAT/m-LDH Nanocomposites
2.3. Characterization of g-PBAT/m-LDH Nanocomposites
3. Results
3.1. Structures and Polymorphisms of Various g-PBAT Copolymers
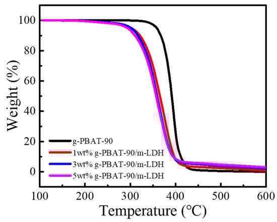
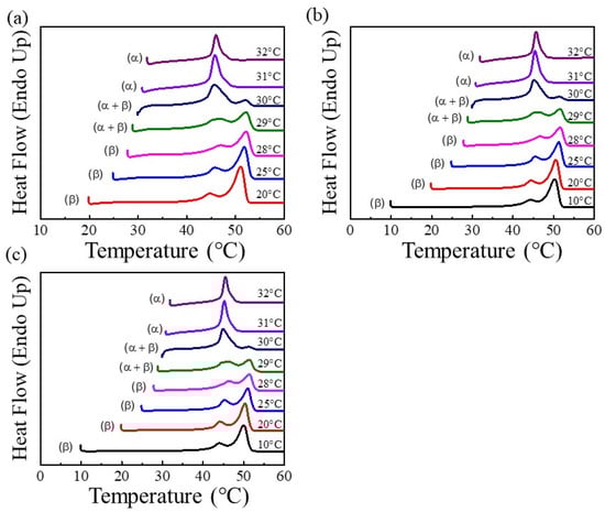
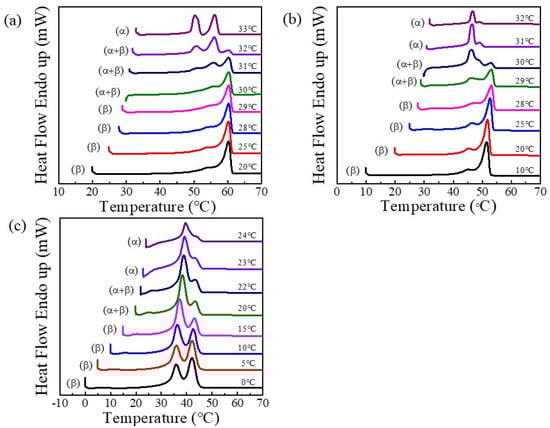
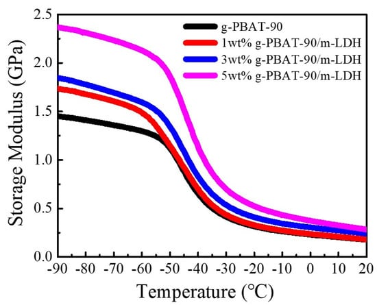
3.2. Morphologies, Physical Properties, and Polymorphisms of Various g-PBAT/m-LDH Nanocomposites
4. Conclusions
Supplementary Materials
Author Contributions
Funding
Acknowledgments
Conflicts of Interest
References
- Zhao, Y.; Qiu, Z. Effect of low multi-walled carbon nanotubes loading on the crystallization behavior of biodegradable poly(butylene adipate). J. Nanosci. Nanotechnol. 2012, 12, 4067–4074. [Google Scholar] [CrossRef] [PubMed]
- Minke, R.; Blackwell, J. Polymorphic structures of poly-(tetramethylene adipate). J. Macromol. Sci. Phys. 1979, B16, 407–417. [Google Scholar] [CrossRef]
- Minke, R.; Blackwell, J. Single crystals of poly(tetramethylene adipate). J. Macromol. Sci. Phys. 1980, B18, 233–255. [Google Scholar] [CrossRef]
- Gan, Z.; Kuwabara, K.; Abe, H.; Iwata, T.; Doi, Y. Metastability and transformation of polymorphic crystals in biodegradable poly(butylene adipate). Biomacromolecules 2004, 5, 371–378. [Google Scholar] [CrossRef]
- Gan, Z.; Abe, H.; Doi, Y. Temperature-induced polymorphic crystals of poly(butylene adipate). Macromol. Chem. Phys. 2002, 203, 2369–2374. [Google Scholar] [CrossRef]
- Liang, Z.; Yang, J.; Hua, L.; Pan, P.; Huang, J.; Zhang, J.; Abe, H.; Inoue, Y. Polymorphic crystallization of poly(butylene adipate) and its copolymer: Effect of poly(vinyl alcohol). J. Appl. Polym. Sci. 2014, 131, 39600. [Google Scholar] [CrossRef]
- Lugito, G.; Woo, E.M. Crystal polymorphism and spherulites in poly(butylene adipate) diluted with strongly versus weakly interacting amorphous polymers. Macromol. Chem. Phys. 2012, 213, 2228–2237. [Google Scholar] [CrossRef]
- Zhao, L.; Wang, X.; Li, L.; Gan, Z. Structural Analysis of Poly(butylene adipate) Banded Spherulites from Their Biodegradation Behavior. Polymer 2007, 48, 6152–6161. [Google Scholar] [CrossRef]
- Woo, E.; Yen, K.; Wu, M. Analysis of Multiple Melting Behavior of Spherulites Comprising Ring-band Shell/Ringless Core in Polymorphic Poly(butylene adipate). J. Polym. Sci. Polym. Phys. 2008, 46, 892–899. [Google Scholar] [CrossRef]
- Yan, C.; Zhang, Y.; Hu, Y.; Ozaki, Y.; Shen, D.; Gan, Z. Melt Crystallization and Crystal Transition of Poly(butylene adipate) Revealed by Infrared Spectroscopy. J. Phys. Chem. B 2008, 112, 3311–3314. [Google Scholar] [CrossRef]
- Chu, M.C.; Hang, Y.T.; Chen, Y.A.; Wu, T.M. Thermal properties and degradation behavior of poly(1,4-butylene adipate)/modified layered double hydroxides nanocomposites. J. Appl. Polym. Sci. 2015, 132, 42083. [Google Scholar] [CrossRef]
- Wu, M.; Woo, E. Effects of α-form or β-form Nuclei on Polymorphic Crystalline Morphology of Poly(butylene adipate). Polym. Int. 2005, 54, 1681–1686. [Google Scholar] [CrossRef]
- Chen, Y.; Wang, S.; Chen, Q.; Xi, Z.; Wang, C.; Chen, X.; Feng, X.; Liang, R.; Yang, J. Modulated crystallization behavior, polymorphic crystalline structure and enzymatic degradation of poly(butylene adipate): Effects of layered metal phosphonate. Eur. Polym. J. 2015, 72, 222–237. [Google Scholar] [CrossRef]
- Chen, Y.A.; Hang, Y.T.; Wu, T.M. Polymorphism and spherulite morphology of poly(1,4-butylene adipate)/organically-modified layered double hydroxide nanocomposites. J. Appl. Polym. Sci. 2015, 132, 42526. [Google Scholar] [CrossRef]
- Chen, Y.A.; Chen, E.C.; Wu, T.M. Organically-modified layered zinc phenylphosphonate reinforced stereocomplex-type poly(lactic acid) nanocomposites with the highly enhanced mechanical properties and degradability. J. Mater. Sci. 2015, 50, 7770–7778. [Google Scholar] [CrossRef]
- Peng, H.; Han, Y.; Liu, T.; Tjiu, W.C.; He, C. Morphology and thermal degradation behavior of highly exfoliated CoAl-layered double hydroxide/polycaprolactone nanocomposites prepared by simple solution intercalation. Thermochim. Acta 2010, 502, 1–7. [Google Scholar] [CrossRef]
- Ciou, C.Y.; Li, S.Y.; Wu, T.M. Morphology and degradation behavior of poly(3-hydroxybutyrate-co-3-hydroxyvalerate)/layered double hydroxides composites. Euro. Polym. J. 2014, 59, 136–143. [Google Scholar] [CrossRef]
- Chiang, M.F.; Chen, E.C.; Wu, T.M. Preparation, mechanical properties and thermal stability of poly(l-lactide)/γ-polyglutamate-modified layered double hydroxide nanocomposites. Polym. Degrad. Stab. 2012, 97, 995–1001. [Google Scholar] [CrossRef]
- Chen, Y.A.; Tsai, G.S.; Chen, E.C.; Wu, T.M. Thermal degradation behaviors and biodegradability of novel nanocomposites based on various poly[(butylene succinate)-co-adipate] and modified layered double hydroxides. J. Taiwan Inst. Chem. Eng. 2017, 77, 263–270. [Google Scholar] [CrossRef]
- Gan, Z.; Kuwabara, K.; Yamamoto, M.; Abe, H.; Doi, Y. Solid-state structures and thermal properties of aliphatic–aromatic poly(butylene adipate-co-butylene terephthalate) copolyesters. Polym. Degrad. Stab. 2004, 83, 289–300. [Google Scholar] [CrossRef]
- Chiang, M.F.; Wu, T.M. Synthesis and characterization of biodegradable poly(L-lactide)/layered double hydroxide nanocomposites. Compos. Sci. Technol. 2010, 70, 110–115. [Google Scholar] [CrossRef]
- Chiang, M.F.; Wu, T.M. Intercalation of γ-PGA in Mg/Al layered double hydroxides: An in situ WAXD and FTIR investigation. Appl. Clay Sci. 2011, 51, 330–334. [Google Scholar] [CrossRef]
- Hsu, M.C.; Wang, J.M.; Wu, T.M. Synthesis, mechanical properties and enzymatic degradation of biodegradable poly(butylene carbonate-co-terephthalate)/organically modified layered double hydroxide nanocomposites. J. Polym. Environ. 2021, 29, 755–764. [Google Scholar] [CrossRef]








| Polymer | Feed Ratio [AA]/[DMT] (mol %) | Polymer Ratio a [AA]/[DMT] (mol %) | Mw (g/mol) ×104 | Mn (g/mol) ×104 | PDI | Tc (°C) | Tm (°C) |
|---|---|---|---|---|---|---|---|
| PBA | 100/0 | 100:0 | 4.52 | 3.14 | 1.44 | 29.9 | 51.25 |
| PBAT-90 | 90/10 | 90.6:9.40 | 4.53 | 2.62 | 1.73 | 19.79 | 44.75 |
| PBAT-80 | 80/20 | 79.4:20.6 | 4.10 | 2.37 | 1.72 | 5.57 | 37.1 |
| Sample | aTd10% (°C) | bTd50% (°C) | cE’ (GPa) |
|---|---|---|---|
| g-PBA | 351.9 | 388.1 | 1.65 |
| 1 wt% g-PBA/m-LDH | 330.8 | 372.2 | 2.11 |
| 3 wt% g-PBA/m-LDH | 309.8 | 359.3 | 2.55 |
| 5 wt% g-PBA/m-LDH | 306.9 | 357.5 | 2.92 |
| g-PBAT90 | 366.6 | 392.3 | 1.45 |
| 1 wt% g-PBAT-90/m-LDH | 324.4 | 366.5 | 1.73 |
| 3 wt% g-PBAT-90/m-LDH | 316.5 | 360.2 | 1.86 |
| 5 wt% g-PBAT-90/m-LDH | 311.2 | 357.7 | 2.37 |
| g-PBAT80 | 367.8 | 408.4 | 0.85 |
| 1 wt% g-PBAT-80/m-LDH | 331.7 | 375.3 | 1.06 |
| 3 wt% g-PBAT-80/m-LDH | 320.2 | 367.0 | 1.29 |
| 5 wt% g-PBAT-80/m-LDH | 316.7 | 361.2 | 1.45 |
| Sample | Tc (°C) | Polymorphism |
|---|---|---|
| 29 | β-form | |
| 30 | α- and β-form | |
| g-PBA | 32 | α- and β-form |
| 33 | α-form | |
| 28 | β-form | |
| 29 | α- and β-form | |
| 1 wt% g-PBA/m-LDH | 31 | α- and β-form |
| 32 | α-form | |
| 27 | β-form | |
| 28 | α- and β-form | |
| 3 wt% g-PBA/m-LDH | 31 | α- and β-form |
| 32 | α-form | |
| 27 | β-form | |
| 28 | α- and β-form | |
| 5 wt% g-PBA/m-LDH | 31 | α- and β-form |
| 32 | α-form | |
| 28 | β-form | |
| 29 | α- and β-form | |
| g-PBAT-90 | 30 | α- and β-form |
| 31 | α-form | |
| 28 | β-form | |
| 29 | α- and β-form | |
| 1 wt% g-PBAT-90/m-LDH | 30 | α- and β-form |
| 31 | α-form | |
| 28 | β-form | |
| 29 | α- and β-form | |
| 3 wt% g-PBAT-90/m-LDH | 30 | α- and β-form |
| 31 | α-form | |
| 28 | β-form | |
| 29 | α- and β-form | |
| 5 wt% g-PBAT-90/m-LDH | 30 | α- and β-form |
| 31 | α-form | |
| 15 | β-form | |
| 20 | α- and β-form | |
| g-PBAT-80 | 22 | α- and β-form |
| 23 | α-form | |
| 15 | β-form | |
| 20 | α- and β-form | |
| 1 wt% g-PBAT-80/m-LDH | 23 | α- and β-form |
| 24 | α-form | |
| 15 | β-form | |
| 20 | α- and β-form | |
| 3 wt% g-PBAT-80/m-LDH | 23 | α- and β-form |
| 24 | α-form | |
| 15 | β-form | |
| 20 | α- and β-form | |
| 5 wt% g-PBAT-80/m-LDH | 23 | α- and β-form |
| 24 | α-form |
Publisher’s Note: MDPI stays neutral with regard to jurisdictional claims in published maps and institutional affiliations. |
© 2022 by the authors. Licensee MDPI, Basel, Switzerland. This article is an open access article distributed under the terms and conditions of the Creative Commons Attribution (CC BY) license (https://creativecommons.org/licenses/by/4.0/).
Share and Cite
Chen, Y.-J.; Hung, Y.-J.; Chiang, M.-Y.; Wang, E.-T.; Wu, T.-M. Physical Properties and Polymorphism of Acrylic Acid-Grafted Poly(1,4-butylene adipate-co-terephthalate)/Organically Modified Layered Double Hydroxide Nanocomposites. Polymers 2022, 14, 492. https://doi.org/10.3390/polym14030492
Chen Y-J, Hung Y-J, Chiang M-Y, Wang E-T, Wu T-M. Physical Properties and Polymorphism of Acrylic Acid-Grafted Poly(1,4-butylene adipate-co-terephthalate)/Organically Modified Layered Double Hydroxide Nanocomposites. Polymers. 2022; 14(3):492. https://doi.org/10.3390/polym14030492
Chicago/Turabian StyleChen, Yun-Ju, Yu-Jia Hung, Ming-Yen Chiang, En-Tze Wang, and Tzong-Ming Wu. 2022. "Physical Properties and Polymorphism of Acrylic Acid-Grafted Poly(1,4-butylene adipate-co-terephthalate)/Organically Modified Layered Double Hydroxide Nanocomposites" Polymers 14, no. 3: 492. https://doi.org/10.3390/polym14030492
APA StyleChen, Y.-J., Hung, Y.-J., Chiang, M.-Y., Wang, E.-T., & Wu, T.-M. (2022). Physical Properties and Polymorphism of Acrylic Acid-Grafted Poly(1,4-butylene adipate-co-terephthalate)/Organically Modified Layered Double Hydroxide Nanocomposites. Polymers, 14(3), 492. https://doi.org/10.3390/polym14030492

