Preparation of a Crosslinked Poly(imide-siloxane) for Application to Transistor Insulation
Abstract
1. Introduction
2. Materials and Methods
2.1. Materials
2.2. Instruments
2.3. Preparation of PAAS Solution
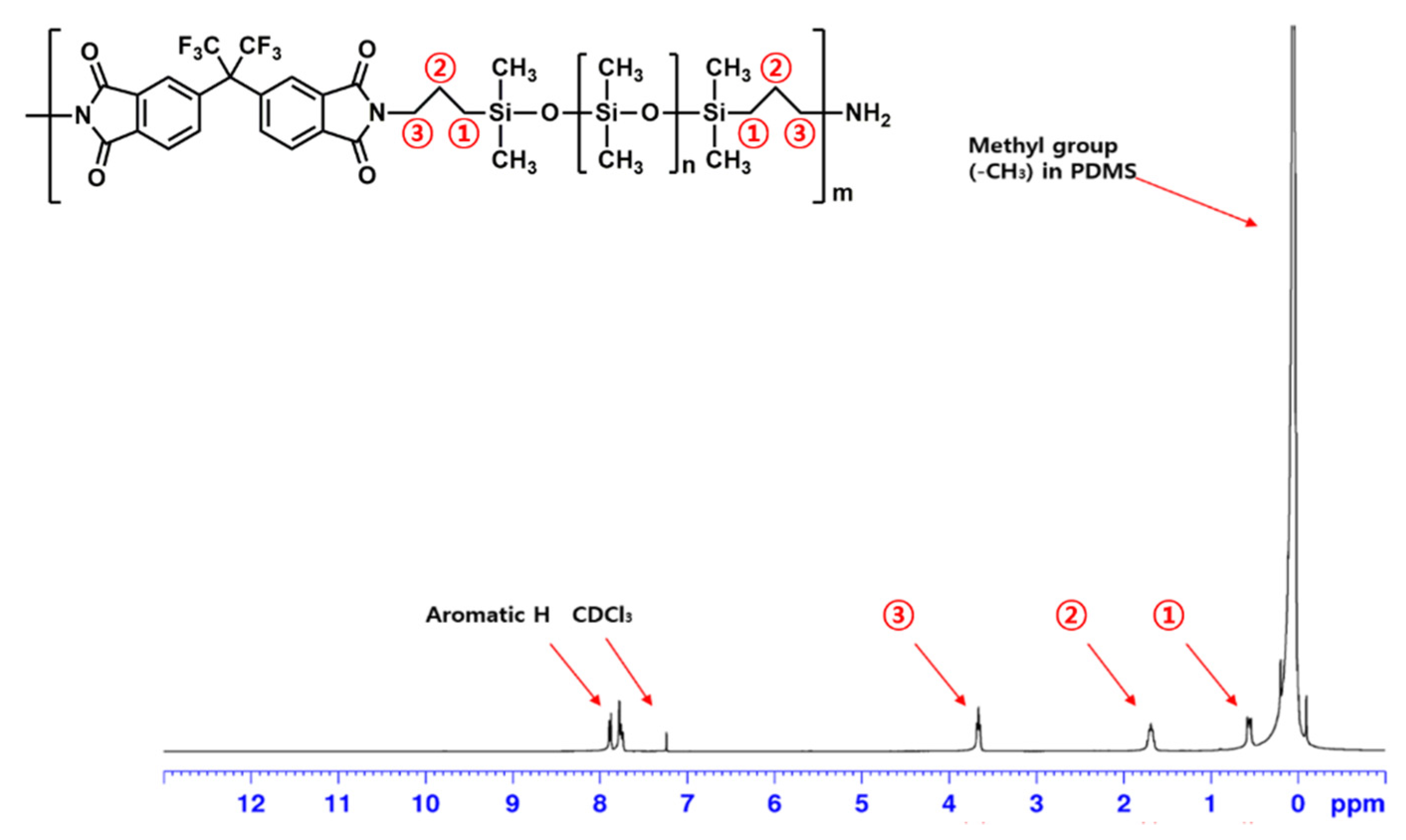
2.4. Preparation of PIS
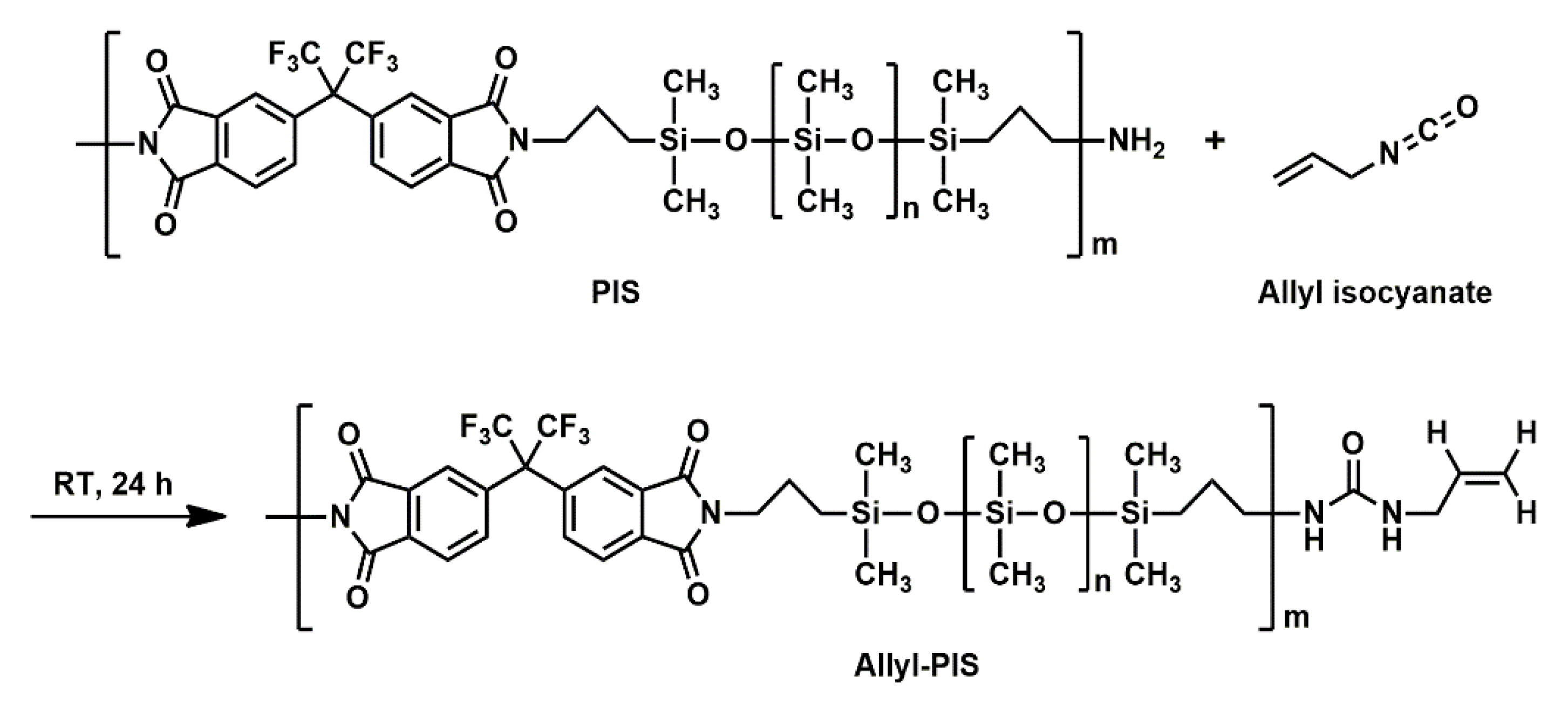
2.5. Preparation of Allyl-PIS
2.6. Preparation of Crosslinked PIS
3. Results and Discussion
3.1. Preparation of PAAS and PIS
3.2. Preparation of Allyl-PIS and Crosslinked PIS
3.3. Thermal Properties of Crosslinked PIS
3.4. Optical Property of Crosslinked PIS
3.5. Electrical Property of Crosslinked PIS
3.6. Rheological Property of Crosslinked PIS
4. Conclusions
Supplementary Materials
Author Contributions
Funding
Institutional Review Board Statement
Informed Consent Statement
Data Availability Statement
Conflicts of Interest
References
- Do, T.M.; Lesaint, O.; Auge, J.L. Streamers and partial discharge mechanisms in silicone gel under impulse and AC voltages. IEEJ Trans. Electr. Electron. Eng. 2008, 15, 1526–1534. [Google Scholar] [CrossRef]
- Jia, Y.J.; Xiao, F.; Duan, Y.Q.; Luo, Y.F.; Liu, B.L.; Huang, Y.L. Modeling method for electrothermal cosimulation of high-power IGBT. IEEJ Trans. Electr. Electron. Eng. 2019, 14, 1711–1718. [Google Scholar] [CrossRef]
- Xu, Y.; Bao, J.; Ning, Z.; Chen, Z.; Xu, W. Heat dissipation study of graphene-based film in single tube IGBT devices. AIP Adv. 2019, 9, 035103. [Google Scholar] [CrossRef]
- Amin, S.; Siddiqui, A.A.; Ayesha, A.; Ansar, T.; Ehtesham, A. Advanced materials for power electronics packaging and insulation. Rev. Adv. Mater. Sci. 2016, 44, 33–45. [Google Scholar]
- Loatelli, M.L.; Khazaka, R.; Diaham, S.; Pham, C.D.; Bechara, M.; Dinculescu, S.; Bidan, P. Evaluation of encapsulation materials for high-temperature power device packaging. IEEE Trans. Power Electron. 2014, 29, 2281–2288. [Google Scholar] [CrossRef]
- Villegas, J.A.; Cervantes, J. Unusual behavior of poly(methylhexylsiloxane) short chain molecules in solution. J. Inorg. Organomet. Polym. Mater. 2011, 21, 157–164. [Google Scholar] [CrossRef]
- Tiwari, A.; Nema, S.K. Synthesis, characterization, physicochemical and dielectric properties of siloxane, polyimide and their blends. Mat. Res. Innov. 2003, 7, 133–143. [Google Scholar] [CrossRef]
- Srividhya, M.; Madhavan, K.; Reddy, B.S.R. Synthesis of novel soluble poly(imide-siloxane)s via hydrosilylation: Characterization and structure property behaviour. Eur. Polym. J. 2006, 42, 2743–2754. [Google Scholar] [CrossRef]
- Finis, G.; Claudi, A. On the dielectric breakdown behavior of silicone gel under various stress conditions. IEEE Trans. Dielectr. Electr. Insul. 2007, 14, 487–494. [Google Scholar] [CrossRef]
- Zhuang, Y.; Seong, J.G.; Lee, Y.M. Polyimides containing aliphatic/alicyclic segments in the main chains. Prog. Polym. Sci. 2019, 92, 35–88. [Google Scholar] [CrossRef]
- Gouzman, I.; Grossman, E.; Verker, R.; Atar, N.; Bolker, A.; Eliaz, N. Advances in polyimide-based materials for space applications. Adv. Mater. 2019, 31, 1807738. [Google Scholar] [CrossRef] [PubMed]
- Tapaswi, P.K.; Ha, C.-S. Recent trends on transparent colorless polyimides with balanced thermal and optical properties: Design and synthesis. Macromol. Chem. Phys. 2019, 220, 1800313. [Google Scholar] [CrossRef]
- Hasegawa, M.; Horie, K. Photophysics, photochemistry, and optical properties of polyimides. Prog. Polym. Sci. 2001, 26, 259–335. [Google Scholar] [CrossRef]
- Liaw, D.-J.; Wang, K.-L.; Huang, Y.-C.; Lee, K.-R.; Lai, J.-Y.; Ha, C.-S. Advanced polyimide materials: Syntheses, physical properties and applications. Prog. Polym. Sci. 2012, 37, 907–974. [Google Scholar] [CrossRef]
- Ozawa, H.; Ishiguro, E.; Kyoya, Y.; Kikuchi, Y.; Matsumoto, T. Colorless polyimides derived from an alicyclic tetracarboxylic dianhydride, CpODA. Polymers 2021, 13, 2824. [Google Scholar] [CrossRef]
- Jin, S.-W.; Choi, Y.-J.; Yu, H.-C.; Lee, S.-H.; Jin, Y.-J.; Lee, I.-S.; Lee, H.-S.; Chung, C.-M. Preparation of polyimide powders via hydrothermal polymerization and post-heat treatment for application to compression-molding materials. ACS Sustain. Chem. Eng. 2022, 10, 1910–1919. [Google Scholar] [CrossRef]
- Choi, J.-Y.; Jin, S.-W.; Kim, D.-M.; Song, I.-H.; Nam, K.-N.; Park, H.-J.; Chung, C.-M. Enhancement of the mechanical properties of polyimide film by microwave irradiation. Polymers 2019, 11, 477. [Google Scholar] [CrossRef]
- Li, T.L.; Hsu, S.L.C. Enhanced Thermal Conductivity of Polyimide Films via a Hybrid of Micro- and Nano-Sized Boron Nitride. J. Phys. Chem. B 2010, 114, 6825–6829. [Google Scholar] [CrossRef]
- Lian, R.; Lei, X.; Chen, Y.; Zhang, Q. Hyperbranched-polysiloxane-based hyperbranched polyimide films with low dielectric permittivity and high mechanical and thermal properties. J. Appl. Polym. Sci. 2019, 136, 47771. [Google Scholar] [CrossRef]
- Ngo, I.L.; Jeon, S.; Byon, C. Thermal conductivity of transparent and flexible polymers containing fillers: A literature review. Int. J. Heat Mass Transf. 2016, 98, 219–226. [Google Scholar] [CrossRef]
- Zou, L.; Anthamatten, M. Synthesis and characterization of polyimide-polysiloxane segmented copolymers for fuel cell applications. J. Polym. Sci. Part A Polym. Chem. 2007, 45, 3747–3758. [Google Scholar] [CrossRef]
- Pechar, T.W.; Kim, S.; Vaughan, B.; Marand, E.; Baranauskas, V.; Riffle, J.; Jeong, H.K.; Tsapatsis, M. Preparation and characterization of a poly(imide siloxane) and zeolite L mixed matrix membrane. J. Memb. Sci. 2006, 277, 210–218. [Google Scholar] [CrossRef]
- Wang, Y.-L.; Tseng, I.-H.; Lin, C.-H.; Chen, C.-H.; Hsieh, T.-T.; Tsai, M.-H. Phosphinated poly(imide-siloxane) hybride films with enhanced adhesion strength and reduced dielectric constant. Prog. Org. Coat. 2021, 159, 106461. [Google Scholar] [CrossRef]
- Qi, H.; Wang, X.; Zhu, T.; Ki, J.; Ziong, L.; Liu, F. Low dielectric poly(imide siloxane) films enabled by a well-defined disiloxane-linked alkyl diamine. ACS Omega 2019, 4, 22143–22151. [Google Scholar] [CrossRef] [PubMed]
- Li, L.; Liu, C.; Qu, C.; Zheng, S.; Wang, D.; Chang, J.; Zhao, D.; Tang, Y.; Fan, X.; Liu, Z.; et al. In-situ self-encapsulated flexible multi-layered poly(imide siloxane) copolymer film with resistance to atomic oxygen. Mater. Today 2020, 23, 100959. [Google Scholar]
- Zhao, D.; Chen, W.; Qu, C.; Liu, C.; Cui, B.; Li, G.; Song, J.; Li, L.; Zheng, S.; Chang, J.; et al. Factors influencing thermal, mechanical, optical, and adhesive properties of segmented poly(imide siloxane) copolymers films. J. Appl. Polym. Sci. 2019, 136, 48148. [Google Scholar] [CrossRef]
- Li, L.; Xu, Y.; Che, J.; Su, X.; Song, C.; M, X. Transparent fluorinated poly(imide siloxane) copolymers with good adhesivity. Macromol. Res. 2017, 25, 1076–1084. [Google Scholar] [CrossRef]
- Choi, J.-Y.; Nam, K.-N.; Jin, S.-W.; Kim, D.-M.; Song, I.-H.; Park, H.-J.; Park, S.; Chung, C.-M. Preparation and properties of poly(imide-siloxane) copolymer composite films with micro-Al2O3 particles. Appl. Sci. 2019, 9, 548. [Google Scholar] [CrossRef]
- Banaszczyk, J.; Adamczyk, B. Dielectric strength measurements of silicone gel. In Progress in Applied Electrical Engineering (PAEE); IEEE: Koscielisko-Zakopane, Poland, 2016; pp. 1–4. [Google Scholar]
- Feng, L.; Iroh, J.O. Polyimide-b-polysiloxane copolymers: Synthesis and properties. J. Inorg. Organomet. Polym. Mater. 2013, 23, 477–488. [Google Scholar] [CrossRef]
- Ha, S.Y.; Oh, B.-K.; Lee, Y.M. Preparation of poly(amideimide siloxane) from trimellitic anhydride chloride, oxylene diamine and oligo(dimethylsiloxane) diamine. Polymer 1995, 36, 3549–3553. [Google Scholar] [CrossRef]
- Deng, X.; Luo, R.; Chen, H.; Liu, B.; Feng, Y.; Sun, Y. Synthesis and surface properties of pdms–acrylate emulsion with gemini surfactant as co-emulsifier. Colloid Polym. Sci. 2007, 285, 923–930. [Google Scholar] [CrossRef]
- Téllez, L.; Rubio, J.; Rubio, F.; Morales, E.; Oteo, J.L. FT-IR study of the hydrolysis and polymerization of tetraethyl orthosilicate and polydimethyl siloxane in the presence of tetrabutylorthotitanate. Spectrosc. Lett. 2004, 37, 11–31. [Google Scholar] [CrossRef]
- Li, K.; Zeng, X.; Li, H.; Lai, X.; Xie, H. Effects of calcination temperature on the microstructure and wetting behavior of superhydrophobic polydimethylsiloxane/silica coating. Colloids Surf. A Physicochem. Eng. Asp. 2014, 445, 111–118. [Google Scholar] [CrossRef]
- Abdelmalik, A.A.; Liland, K.B. Electric Field Enhancement Control in Active Junction of IGBT Power Module. J. Phys. Sci. 2020, 31, 1–15. [Google Scholar] [CrossRef]
- Rutnakornpituk, M.; Ngamdee, P.; Phinyocheep, P. Preparation and properties of polydimethylsiloxane-modified chitosan. Carbohydr. Polym. 2006, 63, 229–237. [Google Scholar] [CrossRef]
- Vivod, S.L.; Meador, M.A.B.; Pugh, C.; Wilkosz, M.; Calomino, K.; McCorkle, L. Toward Improved Optical Transparency of Polyimide Aerogels. ACS Appl. Mater. Interfaces. 2020, 12, 8622–8633. [Google Scholar] [CrossRef]
- Chisca, S.; Musteata, V.E.; Sava, I.; Bruma, M. Dielectric behavior of some aromatic polyimide films. Eur. Polym. J. 2011, 47, 1186–1197. [Google Scholar] [CrossRef]
- Frey, D.; Schanen, J.L.; Auge, J.L.; Lesaint, O. Electric field investigation in IGBT power modules. In Proceedings of the IEEE International Conference on Solid Dielectrics, Toulouse, France, 5–9 July 2004. [Google Scholar]
- Mukherjee, S.; Evans, T.; Narayanasamy, B.; Le, Q.; Emon, A.I.; Deshpande, A.; Luo, F.; Peng, Y.; Pytel, S.; Vrotsos, T.; et al. Toward partial discharge reduction by corner correction in powder module layouts. In Proceedings of the 2018 IEEE 19th Workshop on Control and Modeling for Power Electronics, Padua, Italy, 25–28 June 2018. [Google Scholar]
- Mushtaq, N.; Wang, Q.; Chen, G.; Bashir, B.; Lao, H.; Zhang, Y.; Sidra, L.R.; Fang, X. Synthesis of polyamide-imides with different monomer sequence and effect on transparency and thermal properties. Polymer 2020, 190, 122218. [Google Scholar] [CrossRef]
- Yu, H.-C.; Jung, J.-W.; Choi, J.-Y.; Chung, C.-M. Kinetic study of low-temperature imidization of poly(amic-acid)s and preparation of colorless, transparent polyimide films. J. Polym. Sci. Polym. Chem. 2016, 54, 1593–1602. [Google Scholar] [CrossRef]
- Chu, H.J.; Zhu, B.K.; Xu, Y.Y. Polyimide Foams with Ultralow Dielectric Constants. J. Appl. Polym. Sci. 2006, 102, 1734–1740. [Google Scholar] [CrossRef]
- Stiubianu, G.; Bele, A.; Cazacu, M.; Racles, C.; Vlad, S. Dielectric silicone elastomers with mixed ceramic nanoparticles. Mater. Res. Bull. 2015, 71, 67–74. [Google Scholar] [CrossRef]
- Simpson, J.O.; St.Clair, A.K. Fundamental insight on developing low dielectric constant polyimides. Thin Solid Films 1997, 308–309, 480–485. [Google Scholar] [CrossRef]
- Li, X.; Nakagawa, S.; Tsuji, Y.; Watanabe, N.; Shibayama, M. Polymer gel with a flexible and highly ordered three-dimensional network synthesized via bond percolation. Sci. Adv. 2019, 5, eaax8647. [Google Scholar] [CrossRef] [PubMed]












| n (×104 g/mol) | w (×104 g/mol) | PDI b | |
|---|---|---|---|
| PIS | 1.9 | 4.4 | 2.4 |
| Run No. | Allyl-PIS (wt%) | Crosslinker (wt%) | Catalyst (wt%) | Product a |
|---|---|---|---|---|
| 1 | 98.5 | 1 | 0.5 | Viscous liquid |
| 2 | 96.5 | 3 | 0.5 | Semi-solid |
| 3 | 94.5 | 5 | 0.5 | Semi-solid (foamed) |
| 4 | 92.5 | 7 | 0.5 | Semi-solid (foamed) |
| 5 | 98 | 1 | 1 | Viscous liquid |
| 6 | 96 | 3 | 1 | Semi-solid |
| 7 | 94 | 5 | 1 | Semi-solid (foamed) |
| 8 | 92 | 7 | 1 | Semi-solid (foamed) |
| 9 | 96.9 | 3 | 0.1 | Viscous liquid |
| 10 | 95 | 3 | 2 | Semi-solid (foamed) |
| Td (°C) | Thermal Diffusivity (m2/s) | Density (g/cm3) | Specific Heat Capacity (J/g·K) | Thermal Conductivity (W/m·K) | ||
|---|---|---|---|---|---|---|
| T5 a | T10 b | |||||
| Crosslinked PIS | 416 | 454 | 0.07 | 1.00 | 1.58 | 0.11 |
Publisher’s Note: MDPI stays neutral with regard to jurisdictional claims in published maps and institutional affiliations. |
© 2022 by the authors. Licensee MDPI, Basel, Switzerland. This article is an open access article distributed under the terms and conditions of the Creative Commons Attribution (CC BY) license (https://creativecommons.org/licenses/by/4.0/).
Share and Cite
Park, H.-J.; Choi, J.-Y.; Jin, S.-W.; Lee, S.-H.; Choi, Y.-J.; Kim, D.-B.; Chung, C.-M. Preparation of a Crosslinked Poly(imide-siloxane) for Application to Transistor Insulation. Polymers 2022, 14, 5392. https://doi.org/10.3390/polym14245392
Park H-J, Choi J-Y, Jin S-W, Lee S-H, Choi Y-J, Kim D-B, Chung C-M. Preparation of a Crosslinked Poly(imide-siloxane) for Application to Transistor Insulation. Polymers. 2022; 14(24):5392. https://doi.org/10.3390/polym14245392
Chicago/Turabian StylePark, Hyeong-Joo, Ju-Young Choi, Seung-Won Jin, Seung-Hyun Lee, Yun-Je Choi, Dam-Bi Kim, and Chan-Moon Chung. 2022. "Preparation of a Crosslinked Poly(imide-siloxane) for Application to Transistor Insulation" Polymers 14, no. 24: 5392. https://doi.org/10.3390/polym14245392
APA StylePark, H.-J., Choi, J.-Y., Jin, S.-W., Lee, S.-H., Choi, Y.-J., Kim, D.-B., & Chung, C.-M. (2022). Preparation of a Crosslinked Poly(imide-siloxane) for Application to Transistor Insulation. Polymers, 14(24), 5392. https://doi.org/10.3390/polym14245392

