Bioanalytical System for Determining the Phenol Index Based on Pseudomonas putida BS394(pBS216) Bacteria Immobilized in a Redox-Active Biocompatible Composite Polymer “Bovine Serum Albumin–Ferrocene–Carbon Nanotubes”
Abstract
1. Introduction
2. Materials and Methods
2.1. Strains of Microorganisms
2.2. Cultivation of Microorganisms for Biosensor Analysis
2.3. Adaptation of Microorganisms to Phenol
2.4. Synthesis of a Redox-Active Polymer Based on Bovine Serum Albumin (BSA) and a Neutral Red Mediator (BSA-NR)
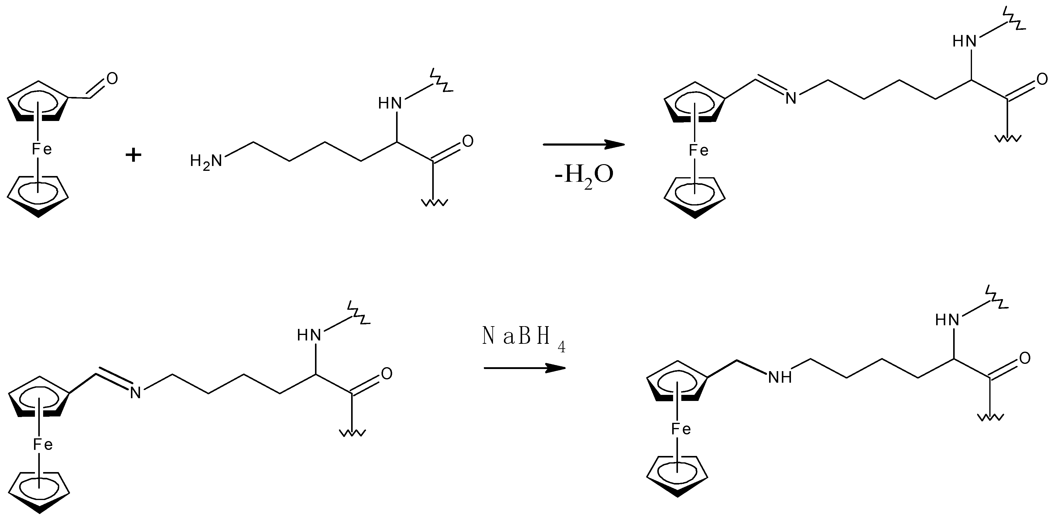
Synthesis of a Redox-Active Polymer Based on BSA and the Mediator Ferrocenecarboxaldehyde (BSA-FC)
2.5. Formation of the Working Electrode with Immobilized Microorganisms
2.6. Registration of Current-Voltage Dependences
2.7. Biosensor Measurements
2.8. Scanning Electron Microscopy (SEM)
2.9. Determination of Phenol by Photometric Method
3. Results
3.1. Selectivity of Microorganisms in the Adaptation Process
3.2. Metrological Characteristics of Receptor Systems Based on the Microorganisms Pseudomonas veronii DSM 11331T, Pseudomonas putida BS394(pBS216) and Rhodococcus pyridinivorans 5Ap
3.3. Selection of Redox-Active Particles and Redox-Active Polymers for the Formation of a Bioreceptor System
3.4. Characterization of the Receptor Element Based on Pseudomonas putida BS394(pBS216) Microorganism Modified with Redox-Active Polymer BSA-Ferrocene and CNT
3.5. Measurement of the Phenolic Index of Real Samples by the Standard Method
4. Conclusions
Author Contributions
Funding
Institutional Review Board Statement
Informed Consent Statement
Data Availability Statement
Conflicts of Interest
References
- Abd Manan, F.A.; Hong, W.W.; Abdullah, J.; Yusof, N.A.; Ahmad, I. Nanocrystalline cellulose decorated quantum dots based tyrosinase biosensor for phenol determination. Mater. Sci. Eng. C 2019, 99, 37–46. [Google Scholar] [CrossRef] [PubMed]
- Yashas, S.R.; Sandeep, S.; Shivakumar, B.P.; Swamy, N.K. Potentiometric polyphenol oxidase biosensor for sensitive determination of phenolic micropollutant in environmental samples. Environ. Sci. Pollut. Res. 2020, 27, 27234–27243. [Google Scholar] [CrossRef] [PubMed]
- Betz, S.A.; Somin, V.A.; Komarova, L.F. Purification of water from phenol and its derivatives on materials from vegetable raw materials. Polzunovskiy Vestn. 2014, 3, 243. [Google Scholar]
- Özer, E.M.; Apetrei, R.; Camurlu, P. Trace-Level Phenolics Detection Based on Composite PAN-MWCNTs Nanofibers. ChemBioChem 2022, 23, e202200139. [Google Scholar] [CrossRef]
- Sun, J.; Mu, Q.; Kimura, H.; Murugadoss, V.; He, M.; Du, W.; Hou, C. Oxidative degradation of phenols and substituted phenols in the water and atmosphere: A review. Adv. Compos. Hybrid Mater. 2022, 5, 627–640. [Google Scholar] [CrossRef]
- Bilal, M.; Iqbal, H.M.N. Microbial-derived biosensors for monitoring environmental contaminants: Recent advances and future outlook. Process Saf. Environ. Prot. 2019, 124, 8–17. [Google Scholar] [CrossRef]
- Shahid, S.; Ejaz, A.; Javed, M.; Mansoor, S.; Iqbal, S.; Elkaeed, E.B.; Alzhrani, R.M.; Alsaab, H.O.; Awwad, N.S.; Ibrahium, H.A. The Anti-Inflammatory and Free Radical Scavenging Activities of Bio-Inspired Nano Magnesium Oxide. Front. Mater. 2022, 9, 875163. [Google Scholar] [CrossRef]
- PND F 14.1.2:1.105-97; Quantitative Chemical Analysis of Water. Method for Performing Measurements of the Mass Concentration of Volatile Phenols in Natural and Treated Wastewater by the Photometric Method after Distillation with Steam. Russian Gost: Moskow, Russia, 1997.
- MUK 4.1.1255-4.1.1274; Measurement of the Mass Concentration of Chemicals by Luminescent Methods in Environmental Objects. Russian Ministry of Health: Moskow, Russia, 2003.
- Wong, A.; Santos, A.M.; Fatibello-Filho, O.; Sotomayor, M.D.P.T. Amperometric tyrosinase biosensor based on carbon black paste electrode for sensitive detection of catechol in environmental samples. Electroanalysis 2021, 33, 431–437. [Google Scholar] [CrossRef]
- Wee, Y.; Park, S.; Kwon, Y.H.; Ju, Y.; Yeon, K.-M.; Kim, J. Tyrosinase-immobilized CNT based biosensor for highly-sensitive detection of phenolic compounds. Biosens. Bioelectron. 2019, 132, 279–285. [Google Scholar] [CrossRef]
- Wang, Y.; Zhai, F.; Hasebe, Y.; Jia, H.; Zhang, Z. A highly sensitive electrochemical biosensor for phenol derivatives using a graphene oxide-modified tyrosinase electrode. Bioelectrochemistry 2018, 122, 174–182. [Google Scholar] [CrossRef]
- Zhang, Y.; Li, X.; Li, D.; Wei, Q. A laccase based biosensor on AuNPs-MoS2 modified glassy carbon electrode for catechol detection. Colloids Surf. B 2020, 186, 110683. [Google Scholar] [CrossRef] [PubMed]
- Othman, A.M.; Wollenberger, U. Amperometric biosensor based on coupling aminated laccase to functionalized carbon nanotubes for phenolics detection. Int. J. Biol. Macromol. 2020, 153, 855–864. [Google Scholar] [CrossRef] [PubMed]
- Wu, C.; Liu, Z.; Sun, H.; Wang, X.; Xu, P. Selective determination of phenols and aromatic amines based on horseradish peroxidase-nanoporous gold co-catalytic strategy. Biosens. Bioelectron. 2016, 79, 843–849. [Google Scholar] [CrossRef] [PubMed]
- Felisardo, R.J.A.; Luque, A.M.; Silva, Q.S.; Soares, C.M.F.; Fricks, A.T.; Lima, A.S.; Cavalcanti, E.B. Biosensor of horseradish peroxidase immobilized onto self-assembled monolayers: Optimization of the deposition enzyme concentration. J. Electroanal. Chem. 2020, 879, 114784. [Google Scholar] [CrossRef]
- Mulchandani, P.; Lei, Y.; Chen, W.; Wang, J.; Mulchandani, A. Microbial biosensor for p-nitrophenol using Moraxella sp. Anal. Chim. Acta 2002, 470, 79–86. [Google Scholar] [CrossRef]
- Lei, Y.; Mulchandani, P.; Chen, W.; Wang, J.; Mulchandani, A. Arthrobacter sp. JS443-Based Whole Cell Amperometric Biosensor for p-Nitrophenol. Electroanal. An Int. J. Devoted to Fundam. Pract. Asp. Electroanal. 2004, 16, 2030–2034. [Google Scholar] [CrossRef]
- Kolahchi, N.; Ebrahimipour, G.H.; Ranaei Siadat, S.O.; Jaffrezic-Renault, N. Application of Multi walled Carbon Nanotubes (MWCNTs) in Phenol biosensor based on bacterial cells. Biol. J. Microorg. 2019, 8, 165–176. [Google Scholar]
- Banik, R.M.; Prakash, R.; Upadhyay, S.N. Microbial biosensor based on whole cell of Pseudomonas sp. for online measurement of p-Nitrophenol. Sens. Actuators B Chem. 2008, 131, 295–300. [Google Scholar] [CrossRef]
- Liu, C.; Yong, D.; Yu, D.; Dong, S. Cell-based biosensor for measurement of phenol and nitrophenols toxicity. Talanta 2011, 84, 766–770. [Google Scholar] [CrossRef]
- Emelyanova, E.V.; Reshetilov, A.N. Rhodococcus erythropolis as the receptor of cell-based sensor for 2,4-dinitrophenol detection: Effect of ‘co-oxidation’. Process Biochem. 2002, 37, 683–692. [Google Scholar] [CrossRef]
- Sagiroglu, A.; Paluzar, H.; Ozcan, H.M.; Okten, S.; Sen, B. A novel biosensor based on Lactobacillus acidophilus for determination of phenolic compounds in milk products and wastewater. Prep. Biochem. Biotechnol. 2011, 41, 321–336. [Google Scholar] [CrossRef]
- Shin, H.J. Agarose-gel-immobilized recombinant bacterial biosensors for simple and disposable on-site detection of phenolic compounds. Appl. Microbiol. Biotechnol. 2012, 93, 1895–1904. [Google Scholar] [CrossRef]
- Timur, S.; Pazarlioğlu, N.; Pilloton, R.; Telefoncu, A. Detection of phenolic compounds by thick film sensors based on Pseudomonas putida. Talanta 2003, 61, 87–93. [Google Scholar] [CrossRef]
- Kolahchi, N.; Braiek, M.; Ebrahimipour, G.; Ranaei-Siadat, S.O.; Lagarde, F.; Jaffrezic-Renault, N. Direct detection of phenol using a new bacterial strain-based conductometric biosensor. J. Environ. Chem. Eng. 2018, 6, 478–484. [Google Scholar] [CrossRef]
- Melnikov, P.; Bobrov, A.; Marfin, Y. On the Use of Polymer-Based Composites for the Creation of Optical Sensors: A Review. Polymers 2022, 14, 4448. [Google Scholar] [CrossRef]
- Parajuli, D.; Murali, N.; KC, D.; Karki, B.; Samatha, K.; Kim, A.A.; Park, M.; Pant, B. Advancements in MXene-Polymer Nanocomposites in Energy Storage and Biomedical Applications. Polymers 2022, 14, 3433. [Google Scholar] [CrossRef]
- Mansoor, S.; Shahid, S.; Ashiq, K.; Alwadai, N.; Javed, M.; Iqbal, S.; Fatima, U.; Zaman, S.; Sarwar, M.N.; Alshammari, F.H. Controlled growth of nanocomposite thin layer based on Zn-Doped MgO nanoparticles through Sol-Gel technique for biosensor applications. Inorg. Chem. Commun. 2022, 142, 109702. [Google Scholar] [CrossRef]
- Arlyapov, V.A.; Kharkova, A.S.; Kurbanaliyeva, S.K.; Kuznetsova, L.S.; Machulin, A.V.; Tarasov, S.E.; Melnikov, P.V.; Ponamoreva, O.N.; Alferov, V.A.; Reshetilov, A.N. Use of biocompatible redox-active polymers based on carbon nanotubes and modified organic matrices for development of a highly sensitive BOD biosensor. Enzyme Microb. Technol. 2021, 143, 109706. [Google Scholar] [CrossRef]
- Holze, R. Composites and copolymers containing redox-active molecules and intrinsically conducting polymers as active masses for supercapacitor electrodes—An introduction. Polymers 2020, 12, 1835. [Google Scholar] [CrossRef]
- Kharkova, A.S.; Arlyapov, V.A.; Turovskaya, A.D.; Avtukh, A.N.; Starodumova, I.P.; Reshetilov, A.N. Mediator BOD biosensor based on cells of microorganisms isolated from activated sludge. Appl. Biochem. Microbiol. 2019, 55, 189–197. [Google Scholar] [CrossRef]
- GOST 18190-72; GOST (State Standard). Drinking Water. Methods for Determining the Content of Residual Active Chlorine. USSR National Committee on Standards at the Cabinet of Ministers: Moscow, Russia, 2009.
- Chernyavskaya, M.I. Characterization of strains of naphthalene-utilizing bacteria of the genus Rhodococcus. Proc. BSU Phys. Biochem. Molec Bas Fun Bio. 2016, 11, 190–197. [Google Scholar]
- Kharkova, A.S.; Arlyapov, V.A.; Turovskaya, A.D.; Shvets, V.I.; Reshetilov, A.N. A mediator microbial biosensor for assaying general toxicity. Enzyme Microb. Technol. 2020, 132, 109435. [Google Scholar] [CrossRef]
- Arinbasarov, M.U.; Filonov, A.E.; Boronin, A.M. the effect of catabolic plasmids on the physiological parameters of the bacteria of the genus pseudomones and the efficiency of biodegradation of oil. Microbiology 2007, 76, 354–360. [Google Scholar]
- Beitollahi, H.; Khalilzadeh, M.A.; Tajik, S.; Safaei, M.; Zhang, K.; Jang, H.W.; Shokouhimehr, M. Recent advances in applications of voltammetric sensors modified with ferrocene and its derivatives. ACS Omega 2020, 5, 2049–2059. [Google Scholar] [CrossRef]
- Kharkova, A.S.; Arlyapov, V.A.; Ilyukhina, A.S.; Ponamoreva, O.N.; Alferov, V.A.; Reshetilov, A.N. A kinetic approach to the formation of two-mediator systems for developing microbial biosensors as exemplified by a rapid biochemical oxygen demand assay. 3 Biotech 2021, 11, 1–13. [Google Scholar] [CrossRef]
- Roy, R.; Ray, S.; Chowdhury, A.; Anand, R. Tunable multiplexed whole-cell biosensors as environmental diagnostics for ppb-level detection of aromatic pollutants. ACS Sens. 2021, 6, 1933–1939. [Google Scholar] [CrossRef]
- Tuta-Navajas, G.; Gutierrez-Avila, K.; Roa-Prada, S.; Chalela-Alvarez, G. Experimental development of a biosensor system to measure the concentration of phenol diluted in water using alternative sources of oxidoreductase enzymes. Anal. Chim. Acta 2018, 1040, 128–135. [Google Scholar] [CrossRef]
- Nicholson, R.S.; Shain, I. Theory of stationary electrode polarography. Single scan and cyclic methods applied to reversible, irreversible, and kinetic systems. Anal. Chem. 1964, 36, 706–723. [Google Scholar] [CrossRef]
- Arlyapov, V.A.; Kuznetsova, L.S.; Kharkova, A.S.; Provotorova, D.V.; Nenarochkina, E.D.; Kamanina, O.A.; Machulin, A.V.; Ponamoreva, O.N.; Alferov, V.A.; Reshetilov, A.N. On the Development of Reagent-Free Conductive Nanocomposite Systems for the Modification of Printed Electrodes when Producing Glucose Biosensors. Nanobiotechnol. Rep. 2022, 17, 106–117. [Google Scholar] [CrossRef]
- Skládal, P.; Morozova, N.O.; Reshetilov, A.N. Amperometric biosensors for detection of phenol using chemically modified electrodes containing immobilized bacteria. Biosens. Bioelectron. 2002, 17, 867–873. [Google Scholar] [CrossRef]
- Mulyawan, R.; Iswantini, D.; Nurhidayat, N.; Saprudin, D.; Purwaningsih, H. Biosensor performance of phenol analysis using microbial consortium of Bacillus sp. AIP Conf. Proc. 2022, 2638, 50009. [Google Scholar]













| Phenol/Glucose Concentration in the Growth Medium, mg/dm3 | KM, mg/dm3 | Lower Limit of Determined Concentrations, mg/dm3 | Sensitivity Coefficient, 10−3 µA·dm3/mg | Rmax, µA | |
|---|---|---|---|---|---|
| P. veronii DSM 11331T | 50/200 | 500 ± 80 | 17.5 | 9.6 ± 0.7 | 1.24 ± 0.03 | 
| P. veronii DSM 11331T | 150/100 | 1500 ± 200 | 30.2 | 1.10 ± 0.06 | 2.3 ± 0.2 | 
| P. veronii DSM 11331T | 250/0 | 120 ± 10 | 35 | 7.2 ± 0.3 | 5.2 ± 0.3 | 
| P. putida BS394(pBS216) | 30/220 | 330 ± 40 | 41.5 | 1.6 ± 0.3 | 8.8 ± 0.3 | 
| P. putida BS394(pBS216) | 130/120 | 900 ± 300 | 36.5 | 2.9 ± 0.2 | 2.7 ± 0.5 | 
| P. putida BS394(pBS216) | 250/0 | 6.7 ± 0.7 | 0.5 | 4.9 ± 0.3 | 0.73 ± 0.06 | 
| R. pyridini-vorans 5Ap | 50/200 | 0.97 ± 0.03 | 1250 | 0.25 ± 0.04 | 0.36 ± 0.03 | 
| R. pyridini-vorans 5Ap | 150/100 | 330 ± 50 | 216 | 0.45 ± 0.03 | 0.019 ± 0.002 | 
| R. pyridine-vorans 5Ap | 250/0 | 219 ± 16 | 244 | 0.0031 ± 0.0002 | 0.92 ± 0.02 | 
| Mediator | The Rate Constant of the Interaction of Mediators with Bacteria P. putida BS394(pBS216), dm3/(g·s) | Heterogeneous Rate Constant of Electron Transfer to a Graphite-Paste Electrode, Which Characterizes the Reaction Rate (3), cm/s | 
|---|---|---|
| Neutral red | 182.1 ± 0.4 | 0.017 ± 0.005 [35] | 
| Thionin | 33.8 ± 0.5 | 0.022 ± 0.005 [35] | 
| Methylene blue | 78.2 ± 0.3 | 0.025 ± 0.009 [35] | 
| Potassium hexacyanoferrate (III) | 162.01 ± 0.08 | 0.0067 ± 0.0009 [35] | 
| Ferrocene | 97.9 ± 0.2 | 0.4 ± 0.1 [35] | 
| Ferrocenecarboxaldehyde | 44.8 ± 0.2 | 0.03 ± 0.01 [35] | 
| BSA-ferrocene | 193.8 ± 0.7 | 0.45 ± 0.01 [30] | 
| BSA-ferrocene/CNT | 502.8 ± 0.6 | 0.55 ± 0.01 [30] | 
| BSA-NR | 3.9 ± 0.2 | 0.0119 ± 0.0006 [42] | 
| Microorganism | Mediator System | KM, mg/dm3 | Lower Limit of Determined Concentrations, mg/dm3 | Sensitivity Coefficient, µA•dm3/mg | The Number of Oxidized Substrates | Rmax, µA | 
|---|---|---|---|---|---|---|
| P. putida BS394(pBS216) | Ferrocene | 7 ± 2 | 1.4 | (0.05 ± 0.01) × 10−3 | 16 | 0.73 ± 0.06 | 
| P. putida BS394(pBS216) | BSA-ferrocene | 35 ± 3 | 1 × 10−3 | 0.20 ± 0.04 | 5 | 7.4 ± 0.3 | 
| P. putida BS394(pBS216) | BSA-ferrocene/CNT | 230 ± 30 | 1 × 10−3 | (5.8 ± 0.2) × 10−3 | 6 | 2.17 ± 0.08 | 
| Pseudomonas sp. (GSN23) [30] | - | 300 | 0.2 | - | - | - | 
| Pseudomonas sp. 74-III [43] | Duroquinone | 0.094 ± 0.003 | 1 × 10−4 | - | - | - | 
| Consortium of Bacillus and Pseudomonas [44] | - | - | 19.7 | (0.95 ± 0.22) × 10−3 | - | - | 
| Sample | Standard Method X ± ∆, mg/dm3 | Biosensor Method X ± ∂, mg/dm3 | 
|---|---|---|
| River water | (3 ± 1) × 10−3 | - | 
| River water with a phenol concentration of 0.1 mg/dm3 | 0.10 ± 0.02 | 0.12 ± 0.02 | 
| River water with a phenol concentration of 5 mg/dm3 | 4.6 ± 0.5 | 4.5 ± 0.5 | 
| River water with a phenol concentration of 24 mg/dm3 | 23 ± 1 | 22 ± 2 | 
| Publisher’s Note: MDPI stays neutral with regard to jurisdictional claims in published maps and institutional affiliations. | 
© 2022 by the authors. Licensee MDPI, Basel, Switzerland. This article is an open access article distributed under the terms and conditions of the Creative Commons Attribution (CC BY) license (https://creativecommons.org/licenses/by/4.0/).
Share and Cite
Perchikov, R.N.; Provotorova, D.V.; Kharkova, A.S.; Arlyapov, V.A.; Medvedeva, A.S.; Machulin, A.V.; Filonov, A.E.; Reshetilov, A.N. Bioanalytical System for Determining the Phenol Index Based on Pseudomonas putida BS394(pBS216) Bacteria Immobilized in a Redox-Active Biocompatible Composite Polymer “Bovine Serum Albumin–Ferrocene–Carbon Nanotubes”. Polymers 2022, 14, 5366. https://doi.org/10.3390/polym14245366
Perchikov RN, Provotorova DV, Kharkova AS, Arlyapov VA, Medvedeva AS, Machulin AV, Filonov AE, Reshetilov AN. Bioanalytical System for Determining the Phenol Index Based on Pseudomonas putida BS394(pBS216) Bacteria Immobilized in a Redox-Active Biocompatible Composite Polymer “Bovine Serum Albumin–Ferrocene–Carbon Nanotubes”. Polymers. 2022; 14(24):5366. https://doi.org/10.3390/polym14245366
Chicago/Turabian StylePerchikov, Roman N., Daria V. Provotorova, Anna S. Kharkova, Vyacheslav A. Arlyapov, Anastasia S. Medvedeva, Andrey V. Machulin, Andrey E. Filonov, and Anatoly N. Reshetilov. 2022. "Bioanalytical System for Determining the Phenol Index Based on Pseudomonas putida BS394(pBS216) Bacteria Immobilized in a Redox-Active Biocompatible Composite Polymer “Bovine Serum Albumin–Ferrocene–Carbon Nanotubes”" Polymers 14, no. 24: 5366. https://doi.org/10.3390/polym14245366
APA StylePerchikov, R. N., Provotorova, D. V., Kharkova, A. S., Arlyapov, V. A., Medvedeva, A. S., Machulin, A. V., Filonov, A. E., & Reshetilov, A. N. (2022). Bioanalytical System for Determining the Phenol Index Based on Pseudomonas putida BS394(pBS216) Bacteria Immobilized in a Redox-Active Biocompatible Composite Polymer “Bovine Serum Albumin–Ferrocene–Carbon Nanotubes”. Polymers, 14(24), 5366. https://doi.org/10.3390/polym14245366
 
        




 
                         
       