Low Power Consumption Hybrid-Integrated Thermo-Optic Switch with Polymer Cladding and Silica Waveguide Core
Abstract
1. Introduction
2. Design and Optimization
2.1. Device Structure Design
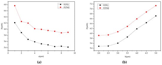
2.2. Optimization of Cross-Sectional Optical Field
2.3. Optimization of Cross-Sectional Thermal Field
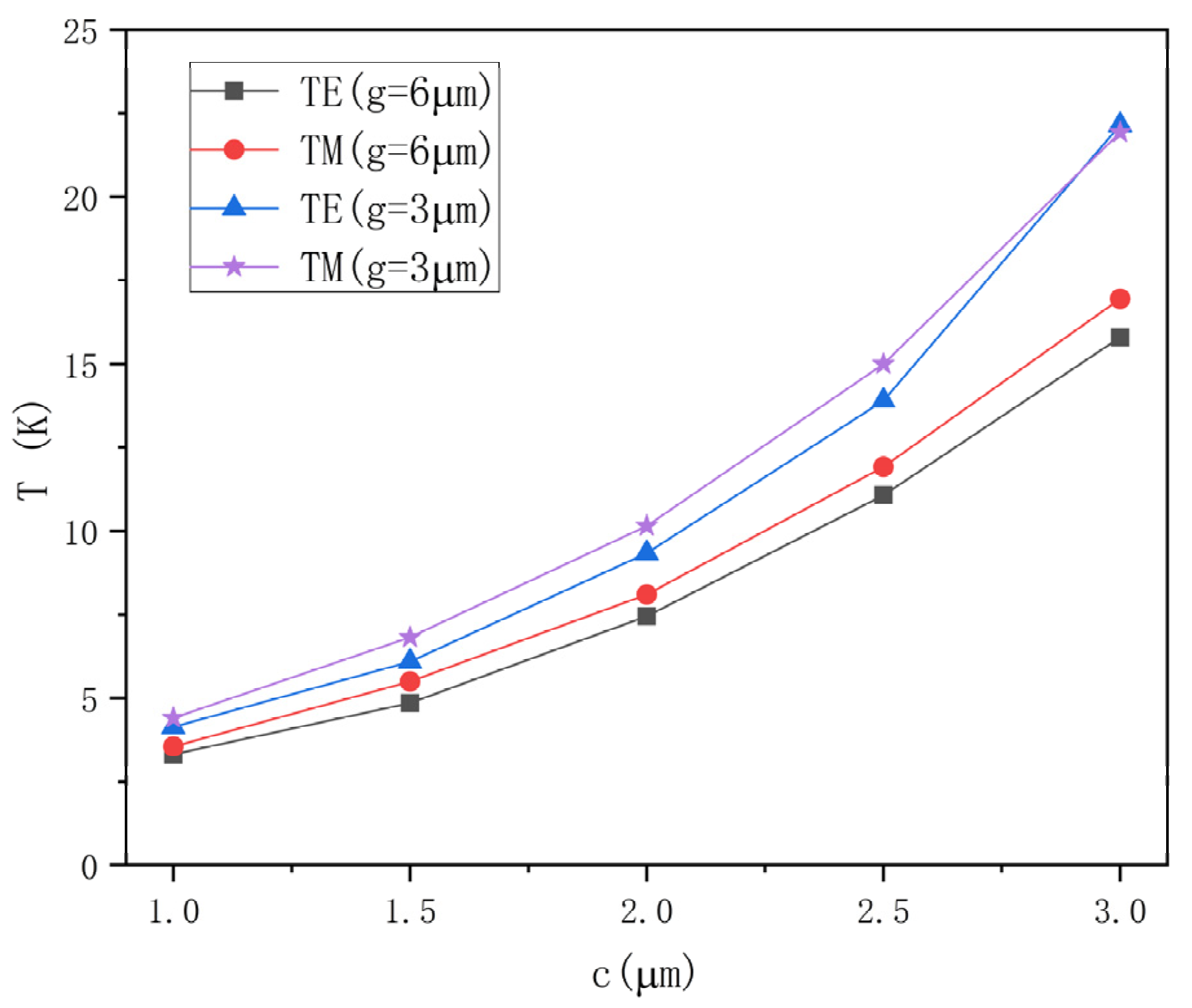
2.4. Optimization of the Coupling Structure
3. Device Performance Simulation
3.1. Power Consumption
3.2. Switching Time
3.3. Effect of Polymer Thermal Conductivity
4. Discussion and Conclusions
Author Contributions
Funding
Institutional Review Board Statement
Informed Consent Statement
Data Availability Statement
Conflicts of Interest
References
- Geis, M.W.; Spector, S.J.; Williamson, R.C.; Lyszczarz, T.M. Submicrosecond submilliwatt silicon-on-insulator thermooptic switch. IEEE Photonics Technol. Lett. 2004, 16, 2514–2516. [Google Scholar] [CrossRef]
- Sun, P.; Reano, R.M. Submilliwatt thermo-optic switches using free-standing silicon-on-insulator strip waveguides. Opt. Express 2010, 18, 8406–8411. [Google Scholar] [CrossRef] [PubMed]
- Foresi, J.; Lim, D.; Liao, L.; Agarwal, A.; Kimerling, L.; Tavassoli, M.; Cox, M.; Cao, M.; Greene, W. Small Radius Bends and Large Angle Splitters in SOI Waveguides; SPIE: San Jose, CA, USA, 1997; Volume 3007. [Google Scholar]
- Harjanne, M.; Kapulainen, M.; Aalto, T.; Heimala, P. Sub-μs switching time in silicon-on-insulator Mach-Zehnder thermooptic switch. IEEE Photonics Technol. Lett. 2004, 16, 2039–2041. [Google Scholar] [CrossRef]
- Shoji, Y.; Kintaka, K.; Suda, S.; Kawashima, H.; Hasama, T.; Ishikawa, H. Low-crosstalk 2 × 2 thermo-optic switch with silicon wire waveguides. Opt. Express 2010, 18, 9071–9075. [Google Scholar] [CrossRef] [PubMed]
- Al-Hetar, A.M.; Supa’at, A.S.M.; Mohammad, A.B.; Yulianti, I. Crosstalk improvement of a thermo-optic polymer waveguide MZI–MMI switch. Opt. Commun. 2008, 281, 5764–5767. [Google Scholar] [CrossRef]
- Hu, G.; Yun, B.; Ji, Y.; Cui, Y. Crosstalk reduced and low power consumption polymeric thermo-optic switch. Opt. Commun. 2010, 283, 2133–2135. [Google Scholar] [CrossRef]
- Wang, X.-B.; Sun, J.; Liu, Y.-F.; Sun, J.-W.; Chen, C.-M.; Sun, X.-Q.; Wang, F.; Zhang, D.-M. 650-nm 1 × 2 polymeric thermo-optic switch with low power consumption. Opt. Express 2014, 22, 11119–11128. [Google Scholar] [CrossRef]
- Xie, N.; Hashimoto, T.; Utaka, K. Very Low-Power, Polarization-Independent, and High-Speed Polymer Thermooptic Switch. IEEE Photonics Technol. Lett. 2009, 21, 1861–1863. [Google Scholar] [CrossRef]
- Al-Hetar, A.M.; Mohammad, A.B.; Supa’at, A.S.M.; Shamsan, Z.A. MMI-MZI Polymer Thermo-Optic Switch With a High Refractive Index Contrast. J. Light. Technol. 2011, 29, 171–178. [Google Scholar] [CrossRef]
- Keil, N.; Yao, H.H.; Zawadzki, C.; Lösch, K.; Satzke, K.; Wischmann, W.; Wirth, J.V.; Schneider, J.; Bauer, J.; Bauer, M. Hybrid polymer/silica thermo-optic vertical coupler switches. Appl. Phys. B 2001, 73, 469–473. [Google Scholar] [CrossRef]
- Yan, Y.-F.; Zheng, C.-T.; Liang, L.; Meng, J.; Sun, X.-Q.; Wang, F.; Zhang, D.-M. Response-time improvement of a 2 × 2 thermo-optic switch with polymer/silica hybrid waveguide. Opt. Commun. 2012, 285, 3758–3762. [Google Scholar] [CrossRef]
- Liang, L.; Qv, L.; Zhang, L.; Zheng, C.; Sun, X.; Wang, F.; Zhang, D. Fabrication and characterization on an organic/inorganic 2 × 2 Mach–Zehnder interferometer thermo-optic switch. Photonics Nanostruct.—Fundam. Appl. 2014, 12, 173–183. [Google Scholar] [CrossRef]
- Liu, Y.F.; Wang, X.B.; Sun, J.W.; Sun, J.; Wang, F.; Chen, C.M.; Sun, X.Q.; Cui, Z.C.; Zhang, D.M. Improved performance of thermal-optic switch using polymer/silica hybrid and air trench waveguide structures. Opt. Lett. 2015, 40, 1888–1891. [Google Scholar] [CrossRef] [PubMed]
- Liu, M.; Yin, X.; Ulin-Avila, E.; Geng, B.; Zentgraf, T.; Ju, L.; Wang, F.; Zhang, X. A graphene-based broadband optical modulator. Nature 2011, 474, 64–67. [Google Scholar] [CrossRef]
- Cao, Y.; Lin, B.; Sun, Y.; Che, X.; Yi, Y.; Wang, F.; Zhang, D. Thermal tuning of graphene-embedded waveguide filters based on the polymer–silica hybrid structure. RSC Adv. 2018, 8, 30755–30760. [Google Scholar] [CrossRef]
- Gan, X.; Zhao, C.; Wang, Y.; Mao, D.; Fang, L.; Han, L.; Zhao, J. Graphene-assisted all-fiber phase shifter and switching. Optica 2015, 2, 468–471. [Google Scholar] [CrossRef]
- Wang, X.; Jin, W.; Chang, Z.; Chiang, K.S. Buried graphene electrode heater for a polymer waveguide thermo-optic device. Opt. Lett. 2019, 44, 1480–1483. [Google Scholar] [CrossRef]
- Sun, Y.; Cao, Y.; Yi, Y.; Tian, L.; Zheng, Y.; Zheng, J.; Wang, F.; Zhang, D. A low-power consumption MZI thermal optical switch with a graphene-assisted heating layer and air trench. RSC Adv. 2017, 7, 39922–39927. [Google Scholar] [CrossRef]
- Guo, L.J. Nanoimprint Lithography: Methods and Material Requirements. Adv. Mater. 2007, 19, 495–513. [Google Scholar] [CrossRef]
- Sun, H. Recent progress in low temperature nanoimprint lithography. Microsyst. Technol. 2015, 21, 1–7. [Google Scholar] [CrossRef]
- Yang, R.; Lu, B.-R.; Wan, J.; Xie, S.-Q.; Chen, Y.; Huq, E.; Qu, X.-P.; Liu, R. Fabrication of micro/nano fluidic channels by nanoimprint lithography and bonding using SU-8. Microelectron. Eng. 2009, 86, 1379–1381. [Google Scholar] [CrossRef]
- Yang, Y.; Lv, J.; Lin, B.; Cao, Y.; Yi, Y.; Zhang, D. Graphene-Assisted Polymer Waveguide Optically Controlled Switch Using First-Order Mode. Polymers 2021, 13, 2117. [Google Scholar] [CrossRef] [PubMed]
- Wan, T.; Guo, Y.; Tang, B. Photothermal modeling and characterization of graphene plasmonic waveguides for optical interconnect. Opt. Express 2019, 27, 33268–33281. [Google Scholar] [CrossRef] [PubMed]
- Yu, Y.-Y.; Sun, X.-Q.; Ji, L.-T.; He, G.-B.; Wang, X.-B.; Yi, Y.-J.; Chen, C.-M.; Wang, F.; Zhang, D.-M. The 650-nm variable optical attenuator based on polymer/silica hybrid waveguide. Chin. Phys. B 2016, 25, 054101. [Google Scholar] [CrossRef]
- Song, X.; Yang, S.; He, L.; Yan, S.; Liao, F. Ultra-flyweight hydrophobic poly(m-phenylenediamine) aerogel with micro-spherical shell structures as a high-performance selective adsorbent for oil contamination. RSC Adv. 2014, 4, 49000–49005. [Google Scholar] [CrossRef]
- Chen, A.; Wu, Y.; Zhou, S.; Xu, W.; Jiang, W.; Lv, Y.; Guo, W.; Chi, K.; Sun, Q.; Fu, T.; et al. High thermal conductivity polymer chains with reactive groups: A step towards true application. Mater. Adv. 2020, 1, 1996–2002. [Google Scholar] [CrossRef]
- Henry, A.; Chen, G. High Thermal Conductivity of Single Polyethylene Chains Using Molecular Dynamics Simulations. Phys. Rev. Lett. 2008, 101, 235502. [Google Scholar] [CrossRef]
- Shen, S.; Henry, A.; Tong, J.; Zheng, R.; Chen, G. Polyethylene nanofibres with very high thermal conductivities. Nat. Nanotechnol. 2010, 5, 251–255. [Google Scholar] [CrossRef]
- Niu, D.; Zhang, D.; Yang, K.; Lian, T.; Sun, S.; Li, B.; Wang, X. 850-nm polymeric waveguide thermo-optic switch with low power-consumption. Opt. Laser Technol. 2020, 132, 106476. [Google Scholar] [CrossRef]
- Yan, Y.; Zheng, C.; Sun, X.; Wang, F.; Zhang, D. Fast response 2 × 2 thermo-optic switch with polymer/silica hybrid waveguide. Chin. Opt. Lett. 2012, 10, 092501–092503. [Google Scholar] [CrossRef]











| Reference | Structure (Core/Upper Cladding/Under Cladding) | Wavelength (nm) | PC (mW) 1 | RT (µs) 2 | FT (µs) 3 |
|---|---|---|---|---|---|
| [5] | Silicon/Silica/Silica | 1520–1630 | 40 | 30 (total) | |
| [4] | Silicon/Silica/Silica | 1550 | 260 | 0.725 | 0.700 |
| [8] | Doped PMMA/PMMA/PMMA | 650 | 5.3 | 464.4 | 448 |
| [30] | EpoCore/EpoClad/EpoClad | 850 | 4.5 | 400 | 600 |
| [13] | SU-8/PMMA/Silica | 1550 | 7.8 | 100 (total) | |
| [31] | SU-8/PMMA/Silica | 1550 | 7.2 | 106 | 93 |
| [14] | SU-8/PMMA/Silica | 1550 | 3.4 | 183.1 | 139.9 |
| This work | Doped Silica/Polymer/Silica | 1550 | 5.49/5.96 | 121/118 | 329/329 |
Publisher’s Note: MDPI stays neutral with regard to jurisdictional claims in published maps and institutional affiliations. |
© 2022 by the authors. Licensee MDPI, Basel, Switzerland. This article is an open access article distributed under the terms and conditions of the Creative Commons Attribution (CC BY) license (https://creativecommons.org/licenses/by/4.0/).
Share and Cite
Xie, Y.; Han, J.; Qin, T.; Ge, X.; Wu, X.; Liu, L.; Wu, X.; Yi, Y. Low Power Consumption Hybrid-Integrated Thermo-Optic Switch with Polymer Cladding and Silica Waveguide Core. Polymers 2022, 14, 5234. https://doi.org/10.3390/polym14235234
Xie Y, Han J, Qin T, Ge X, Wu X, Liu L, Wu X, Yi Y. Low Power Consumption Hybrid-Integrated Thermo-Optic Switch with Polymer Cladding and Silica Waveguide Core. Polymers. 2022; 14(23):5234. https://doi.org/10.3390/polym14235234
Chicago/Turabian StyleXie, Yuqi, Jiachen Han, Tian Qin, Xuyang Ge, Xihan Wu, Lu Liu, Xubin Wu, and Yunji Yi. 2022. "Low Power Consumption Hybrid-Integrated Thermo-Optic Switch with Polymer Cladding and Silica Waveguide Core" Polymers 14, no. 23: 5234. https://doi.org/10.3390/polym14235234
APA StyleXie, Y., Han, J., Qin, T., Ge, X., Wu, X., Liu, L., Wu, X., & Yi, Y. (2022). Low Power Consumption Hybrid-Integrated Thermo-Optic Switch with Polymer Cladding and Silica Waveguide Core. Polymers, 14(23), 5234. https://doi.org/10.3390/polym14235234

