Effects of Polyoxymethylene Fiber on Fresh and Hardened Properties of Seawater Sea-Sand Concrete
Abstract
1. Introduction
2. Experimental Program
2.1. Raw Materials
2.1.1. Seawater and Sea Sand
2.1.2. POM Fiber
2.2. Mixture Proportions and Specimen Preparation
2.3. Test Method
2.3.1. Workability Test
2.3.2. Early-Age Cracking Test
2.3.3. Mechanical Performance Test
3. Results and Discussion
3.1. Effects of POM Fiber on the Workability of SWSSC
3.2. Effects of POM Fiber on the Early-Age Cracking of SWSSC
3.3. Effects of POM Fiber on the Mechanical Performance of SWSSC
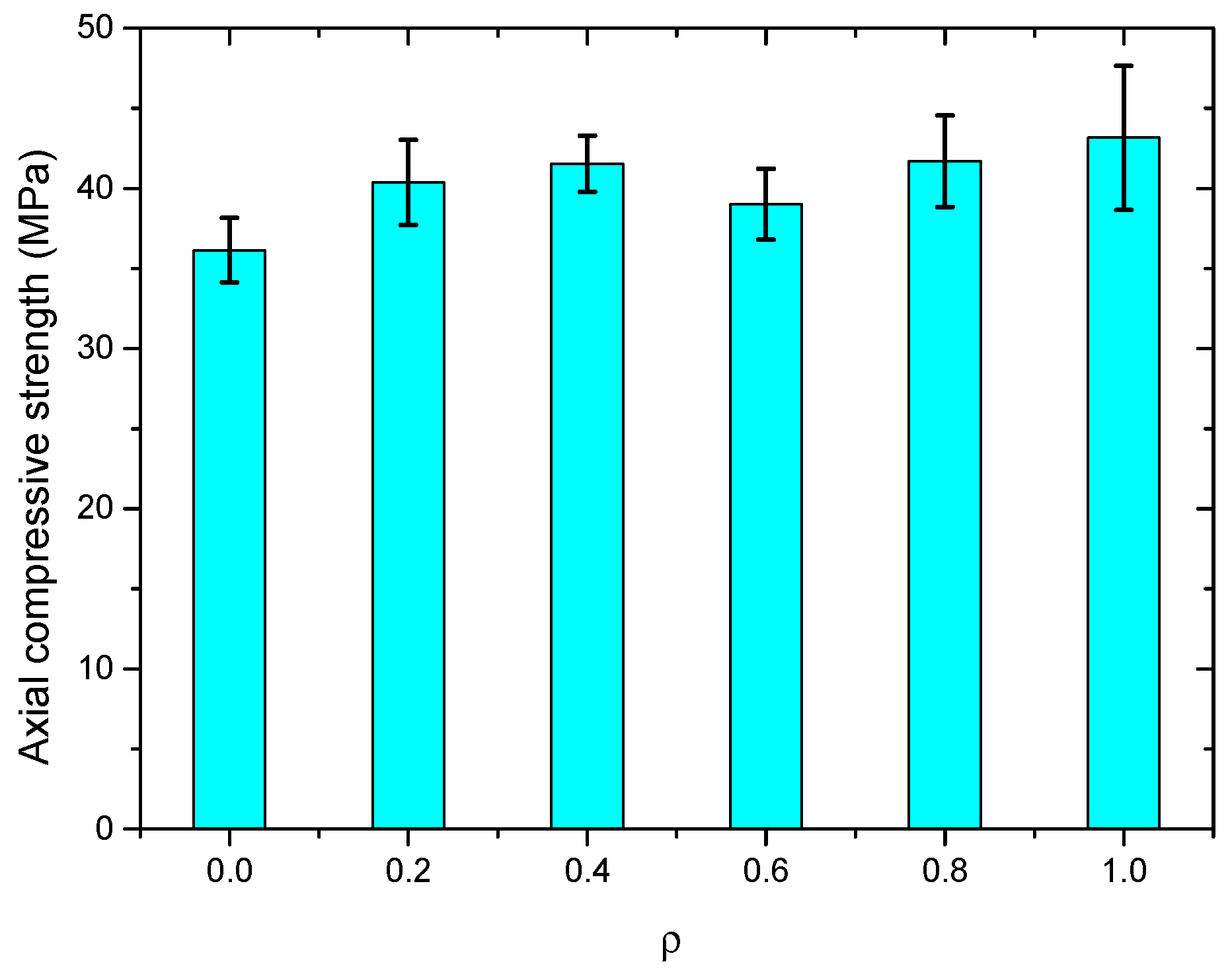
3.3.1. Cube Compressive Performance
3.3.2. Axial Compressive Performance
3.3.3. Splitting Tensile Performance
3.3.4. Flexural Performance
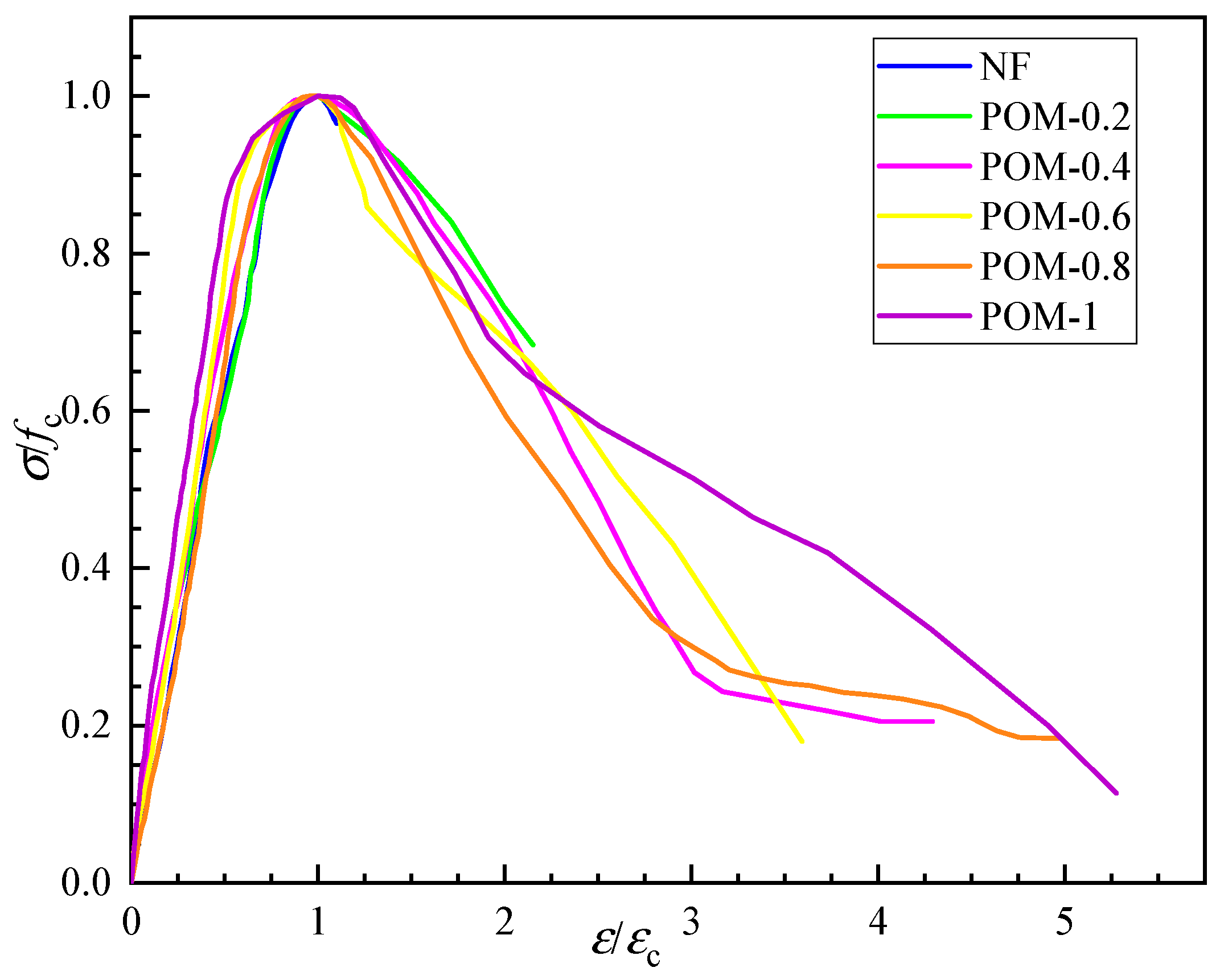
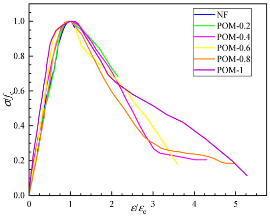
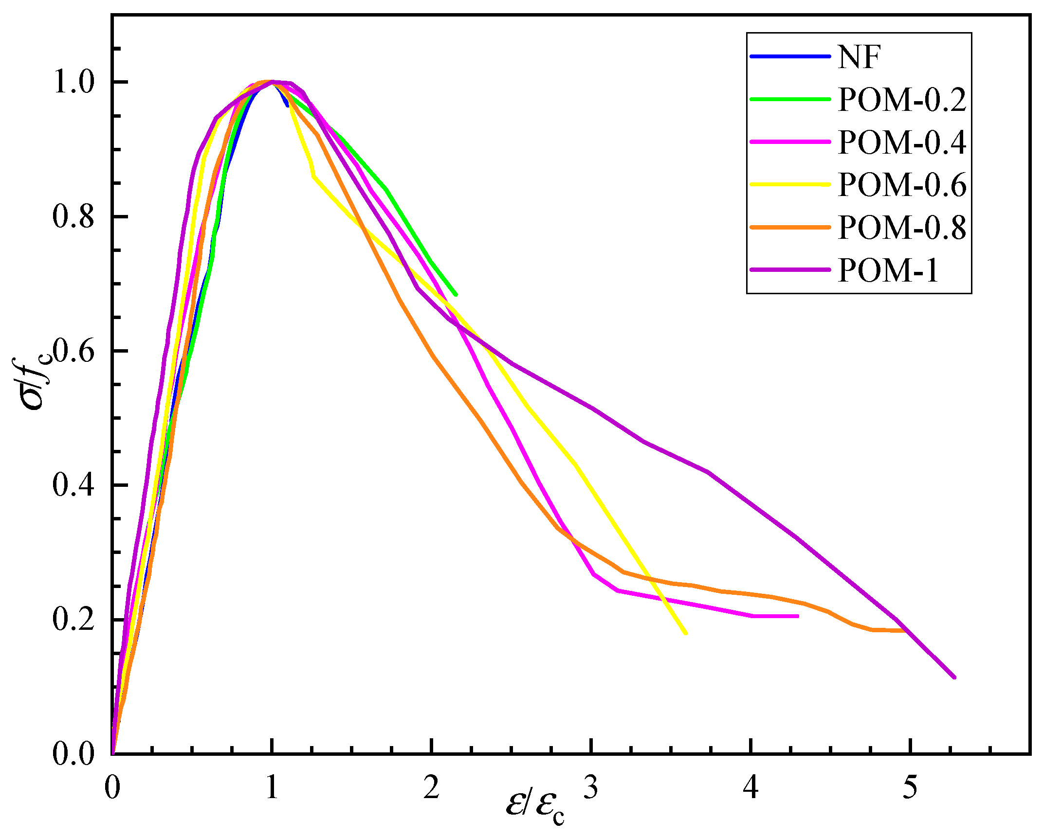
3.4. Complete Stress–Strain Curve of SWSSC
4. Conclusions
- (1)
- The workability of SWSSC mixtures with different ρ was investigated through the experiment. With increases in ρ, the slump and expansibility decreased. Compared with the NF mixture, for the POM-1 mixture, the decreases in slump and expansibility were 110.6 and 91.9 mm, respectively. When ρ was larger than 0.6, there were obvious increases in the descent rates of slump and expansibility of the SWSSC mixtures.
- (2)
- Based on the knife-edge binding method, experiments on the early-age cracking performance of SWSSC mixtures with different ρ were conducted. The test results indicated that the POM fiber had a significant effect in improving the early-age cracking resistance of SWSSC. Compared with those of the NF specimens, the ac, bc, and cc of the POM-1 specimens decreased by 77.0%, 89.4%, and 97.6%, respectively.
- (3)
- Cube and axial compressive tests were conducted to clarify the effects of POM fiber on the compressive properties of SWSSC. When ρ was smaller than 0.6, with increases in ρ, the fcu of the SWSSC specimens increased. When ρ was larger than 0.6, the increase in ρ led to decreases in fcu. When ρ was smaller than 0.4, with increases in ρ, the fc of the SWSSC specimens increased. When ρ = 0.6, there was a clear decrease in fc. For SWSSC specimens with ρ = 0.6~1.0, with increases in ρ, the fc increased.
- (4)
- The ft and ff of SWSSC specimens with different ρ exhibited unimodal distribution. Compared with that of the NF specimen, the ft of the POM-0.2, POM-0.4, POM-0.6, POM-0.8, and POM-1 specimens was increased by 5.1%, 11.6%, 20.2%, 13.9%, and 11.6%, respectively. Results of flexural test indicated that compared with that of the NF specimens, ff of POM-0.2, POM-0.4, POM-0.6, POM-0.8 and POM-1 specimens were increased by 1.1%, 6.7%, 9.2%, 5.9% and 0.8%, respectively.
- (5)
- The failure performances of the test specimens after cube and axial compressive tests, splitting tensile tests, and flexural tests were recorded. For the NF specimens, brittle failure modes were observed. For the test specimens with POM fiber, the stress concentration caused by cracks in the concrete was relieved by the POM fiber. POM fiber performed a bridging effect, building connections between cracked concretes. The integrity of the SWSSC specimens with POM fiber was almost entirely preserved, indicating ductile failure modes.
- (6)
- To quantify the effects of POM fiber on the fcu, fc, ft, and ff of SWSSC with different ρ, predictive equations were proposed based on the test results. Comparisons between the results from predictive equations and the test results were performed, proving the effectiveness of the predictive equations.
- (7)
- The effects of different stress–strain models in describing the stress–strain relationships of SWSSC with and without POM fiber were compared, and a polynomial model suitable for SWSSC was suggested. According to the model, the complete stress–strain curve of SWSSC with any POM fiber content could be determined.
Author Contributions
Funding
Institutional Review Board Statement
Informed Consent Statement
Data Availability Statement
Acknowledgments
Conflicts of Interest
References
- Wang, N.; Zhou, F.; Li, Z.; Xu, Z.; Xu, H. Experimental and numerical investigation on the L-joint composed of steel-plate composite (SC) walls under seismic loading. Eng. Struct. 2020, 227, 111360. [Google Scholar] [CrossRef]
- Wang, N.; Zhou, F.; Li, Z.; Xu, Z.; Xu, H. Behavior of L-joint composed of steel-plate composite wall and reinforced concrete wall. J. Constr. Steel Res. 2020, 176, 106439. [Google Scholar] [CrossRef]
- Xiao, J.; Qiang, C.; Nanni, A.; Zhang, K. Use of sea-sand and seawater in concrete construction: Current status and future opportunities. Constr. Build. Mater. 2017, 155, 1101–1111. [Google Scholar] [CrossRef]
- Younis, A.; Ebead, U.; Suraneni, P.; Nanni, A. Fresh and hardened properties of seawater-mixed concrete. Constr. Build. Mater. 2018, 190, 276–286. [Google Scholar] [CrossRef]
- Liu, G.; Hua, J.; Wang, N.; Deng, W.; Xue, X. Material Alternatives for Concrete Structures on Remote Islands: Based on Life-cycle cost Analysis. Adv. Civ. Eng. 2022, 2022, 7329408. [Google Scholar] [CrossRef]
- Shi, Z.; Shui, Z.; Li, Q.; Geng, H. Combined effect of metakaolin and sea water on performance and microstructures of concrete. Constr. Build. Mater. 2015, 74, 57–64. [Google Scholar] [CrossRef]
- Dong, Z.; Wu, G.; Zhu, H. Mechanical properties of seawater sea-sand concrete reinforced with discrete BFRP-Needles. Constr. Build. Mater. 2019, 206, 432–441. [Google Scholar] [CrossRef]
- Younis, A.; Ebead, U.; Judd, S. Life cycle cost analysis of structural concrete using seawater, recycled concrete aggregate, and GFRP reinforcement. Constr. Build. Mater. 2018, 175, 152–160. [Google Scholar] [CrossRef]
- Pasupathy, K.; Sanjayan, J.; Rajeev, P.; Law, D.W. The effect of chloride ingress in reinforced geopolymer concrete exposed in the marine environment. J. Build. Eng. 2021, 39, 102281. [Google Scholar] [CrossRef]
- Hua, J.; Wang, F.; Huang, L.; Wang, N.; Xue, X. Experimental study on mechanical properties of corroded stainless-clad bimetallic steel bars. Constr. Build. Mater. 2021, 287, 123019. [Google Scholar] [CrossRef]
- Fernandez, I.; Bairán, J.M.; Marí, A.R. Corrosion effects on the mechanical properties of reinforcing steel bars. Fatigue and σ-ε behavior. Constr. Build. Mater. 2015, 101, 772–783. [Google Scholar] [CrossRef]
- Hua, J.; Fan, H.; Xue, X.; Wang, F.; Chen, Z.; Huang, L.; Wang, N. Tensile and low-cycle fatigue performance of bimetallic steel bars with corrosion. J. Build. Eng. 2021, 43, 103188. [Google Scholar] [CrossRef]
- Hua, J.; Wang, F.; Wang, N.; Huang, L.; Hai, L.; Li, Y.; Zhu, X.; Xue, X. Experimental and numerical investigations on corroded stainless-clad bimetallic steel bar with artificial damage. J. Build. Eng. 2021, 44, 102779. [Google Scholar] [CrossRef]
- Tang, F.; Lin, Z.; Chen, G.; Yi, W. Three-dimensional corrosion pit measurement and statistical mechanical degradation analysis of deformed steel bars subjected to accelerated corrosion. Constr. Build. Mater. 2014, 70, 104–117. [Google Scholar] [CrossRef]
- Hua, J.; Fan, H.; Yan, W.; Wang, N.; Xue, X.; Huang, L. Seismic resistance of the corroded bimetallic steel bar under different strain amplitudes. Constr. Build. Mater. 2022, 319, 126088. [Google Scholar] [CrossRef]
- Wu, X.; Ye, D.; Li, H.; Yu, H. Corrosion characteristics of S23043 duplex stainless steel bars. Constr. Build. Mater. 2018, 178, 135–143. [Google Scholar] [CrossRef]
- Limbert, J.; Afshan, S.; Kashani, M.; Robinson, A. Compressive stress–strain behaviour of stainless steel reinforcing bars with the effect of inelastic buckling. Eng. Struct. 2021, 237, 112098. [Google Scholar] [CrossRef]
- Chen, Y.; Davalos, J.F.; Ray, I. Durability prediction for GFRP reinforcing bars using short-term data of accelerated aging tests. J. Compos. Constr. 2006, 10, 279–286. [Google Scholar] [CrossRef]
- MRobert, M.; Wang, P.; Cousin, P.; Benmokrane, B. Temperature as an accelerating factor for long-term durability testing of FRPs: Should there be any limitations? J. Compos. Constr. 2010, 14, 361–367. [Google Scholar] [CrossRef]
- Hua, J.; Wang, F.; Xiang, Y.; Yang, Z.; Xue, X.; Huang, L.; Wang, N. Mechanical properties of stainless-clad bimetallic steel bars exposed to elevated temperatures. Fire Saf. J. 2022, 127, 103521. [Google Scholar] [CrossRef]
- Wang, F.; Hua, J.; Xue, X.; Ding, Z.; Lyu, Y.; Liu, Q. Low-cycle fatigue performance of bimetallic steel bar considering the effect of inelastic buckling. Constr. Build. Mater. 2022, 351, 128787. [Google Scholar] [CrossRef]
- Hua, J.; Wang, F.; Xue, X.; Ding, Z.; Chen, Z. Residual monotonic mechanical properties of bimetallic steel bar with fatigue damage. J. Build. Eng. 2022, 55, 104703. [Google Scholar] [CrossRef]
- Hua, J.; Wang, F.; Yang, Z.; Xue, X.; Huang, L.; Chen, Z. Low-cycle fatigue properties of bimetallic steel bars after exposure to elevated temperature. J. Constr. Steel Res. 2021, 187, 106959. [Google Scholar] [CrossRef]
- Ogunsanya, I.G.; Strong, V.; Hansson, C.M. Corrosion behavior of austenitic 304L and 316LN stainless steel clad reinforcing bars in cracked concrete. Mater. Corros. 2020, 71, 1066–1080. [Google Scholar] [CrossRef]
- Hua, J.; Wang, F.; Xue, X. Study on fatigue properties of post-fire bimetallic steel bar with different cooling methods. Structures 2022, 40, 633–645. [Google Scholar] [CrossRef]
- Ban, H.; Chen, Z.; Xiang, Y.; Li, Z. Bond behaviour of stainless-clad bimetallic rebar in concrete. Structures 2022, 37, 1069–1079. [Google Scholar] [CrossRef]
- Hua, J.; Yang, Z.; Wang, F.; Xue, X.; Wang, N.; Huang, L. Relation between the metallographic structure and mechanical properties of a bimetallic steel bar after fire. J. Mater. Civ. Eng. 2022, 34, 04022193. [Google Scholar] [CrossRef]
- Hua, J.; Wang, F.; Xue, X.; Fan, H.; Yan, W. Fatigue properties of bimetallic steel bar: An experimental and numerical study. Eng. Fail. Anal. 2022, 136, 106212. [Google Scholar] [CrossRef]
- Shi, Y.; Luo, Z.; Zhou, X.; Xue, X.; Xiang, Y. Post-fire performance of bonding interface in explosion-welded stainless-clad bimetallic steel. J. Constr. Steel Res. 2022, 193, 107285. [Google Scholar] [CrossRef]
- Shi, Y.; Luo, Z.; Zhou, X.; Xue, X.; Li, J. Post-fire mechanical properties of titanium–clad bimetallic steel in different cooling approaches. J. Constr. Steel Res. 2022, 191, 107169. [Google Scholar] [CrossRef]
- Xue, X.Y.; Zhou, X.; Shi, Y.; Xiang, Y. Ultimate shear resistance of S600E high-strength stainless steel plate girders. J. Constr. Steel Res. 2021, 179, 106535. [Google Scholar] [CrossRef]
- Ban, H.; Zhu, J.; Shi, G.; Zhang, Y. Tests and modelling on cyclic behaviour of stainless-clad bimetallic steel. J. Constr. Steel Res. 2020, 166, 105944. [Google Scholar] [CrossRef]
- Guo, M.; Hu, B.; Xing, F.; Zhou, X.; Sun, M.; Sui, L.; Zhou, Y. Characterization of the mechanical properties of eco-friendly concrete made with untreated sea sand and seawater based on statistical analysis. Constr. Build. Mater. 2020, 234, 117339. [Google Scholar] [CrossRef]
- Li, P.; Li, W.; Yu, T.; Qu, F.; Tam, V.W. Investigation on early-age hydration, mechanical properties and microstructure of seawater sea sand cement mortar. Constr. Build. Mater. 2020, 249, 118776. [Google Scholar] [CrossRef]
- Wang, F.; Hua, J.; Xue, X.; Wang, N.; Yao, Y. Effects of Polyoxymethylene Fiber on Mechanical Properties of Seawater Sea-Sand Concrete with Different Ages. Polymers 2022, 14, 3472. [Google Scholar] [CrossRef] [PubMed]
- Xiao, J.; Zhang, Q.; Zhang, P.; Shen, L.; Qiang, C. Mechanical behavior of concrete using seawater and sea-sand with recycled coarse aggregates. Struct. Concr. 2019, 20, 1631–1643. [Google Scholar] [CrossRef]
- Hua, J.; Yang, Z.; Xue, X.; Huang, L.; Wang, N.; Chen, Z. Bond properties of bimetallic steel bar in seawater sea-sand concrete at different ages. Constr. Build. Mater. 2022, 323, 126539. [Google Scholar] [CrossRef]
- Quagliarini, E.; Monni, F.; Bondioli, F.; Lenci, S. Basalt fiber ropes and rods: Durability tests for their use in building engineering. J. Build. Eng. 2016, 5, 142–150. [Google Scholar] [CrossRef]
- Alrekabi, S.; Cundy, A.; Lampropoulos, A.; Whitby, R.; Savina, I. Mechanical performance of novel cement-based composites prepared with nano-fibres, and hybrid nano- and micro-fibres. Compos. Struct. 2017, 178, 145–156. [Google Scholar] [CrossRef]
- Raza, S.S.; Qureshi, L.A. Effect of carbon fiber on mechanical properties of reactive powder concrete exposed to elevated temperatures. J. Build. Eng. 2021, 42, 102503. [Google Scholar] [CrossRef]
- Navabi, D.; Javidruzi, M.; Hafezi, M.R.; Mosavi, A. The high-performance light transmitting concrete and experimental analysis of using polymethylmethacrylate optical fibers in it. J. Build. Eng. 2020, 38, 102076. [Google Scholar] [CrossRef]
- Ozutok, A.; Madenci, E.; Kadioglu, F. Free vibration analysis of angle-ply laminate composite beams by mixed finite element formulation using the Gâteaux differential. Sci. Eng. Compos. Mater. 2014, 21, 257–266. [Google Scholar] [CrossRef]
- Saradar, A.; Tahmouresi, B.; Mohseni, E.; Shadmani, A. Restrained Shrinkage Cracking of Fiber-Reinforced High-Strength Concrete. Fibers 2018, 6, 12. [Google Scholar] [CrossRef]
- Alwesabi, E.A.; Abu Bakar, B.; Alshaikh, I.M.; Akil, H. Experimental investigation on mechanical properties of plain and rubberised concretes with steel–polypropylene hybrid fibre. Constr. Build. Mater. 2019, 233, 117194. [Google Scholar] [CrossRef]
- Espinach, F.; Granda, L.A.; Tarrés, Q.; Duran, J.; Fullana-I-Palmer, P.; Mutjé, P. Mechanical and micromechanical tensile strength of eucalyptus bleached fibers reinforced polyoxymethylene composites. Compos. Part B Eng. 2017, 116, 333–339. [Google Scholar] [CrossRef]
- Gao, Y.; Sun, S.; He, Y.; Wang, X.; Wu, D. Effect of poly (ethylene oxide) on tribological performance and impact fracture behavior of polyoxymethylene/polytetrafluoroethylene fiber composites. Compos. Part B Eng. 2011, 42, 1945–1955. [Google Scholar] [CrossRef]
- Wu, H.; Lin, X.; Zhou, A. A review of mechanical properties of fibre reinforced concrete at elevated temperatures. Cem. Concr. Res. 2020, 135, 106117. [Google Scholar] [CrossRef]
- Zhou, X.; Zeng, Y.; Chen, P.; Jiao, Z.; Zheng, W. Mechanical properties of basalt and polypropylene fibre-reinforced alkali-activated slag concrete. Constr. Build. Mater. 2020, 269, 121284. [Google Scholar] [CrossRef]
- JGJ 52-2006; Standard for Technical Requirements and Test Method of Sand and Crushed Stone (or Gravel) for Ordinary Concrete. Ministry of Construction of the PR China: Beijing, China, 2006.
- GB 50080-2016; Standard for Test Method of Performance on Ordinary Fresh Concrete. China Standard Press: Beijing, China, 2016.
- GB/T 50082-2009; Standard for Test Methods of Long—Term Performance and Durability of Ordinary Concrete. China Building Industry Press: Beijing, China, 2009.
- GB/T 50081-2002; Standard for Test Method of Mechanical Properties on Ordinary Concrete. Ministry of Construction of the PR China: Beijing, China, 2002.
- Das, S.; Sobuz, H.R.; Tam, V.W.; Akid, A.S.M.; Sutan, N.M.; Rahman, F.M. Effects of incorporating hybrid fibres on rheological and mechanical properties of fibre reinforced concrete. Constr. Build. Mater. 2020, 262, 120561. [Google Scholar] [CrossRef]
- Hua, J.; Wang, F.; Xue, X.; Ding, Z.; Sun, Y.; Xiao, L. Ultra-low cycle fatigue performance of Q690 high-strength steel after exposure to elevated temperatures. J. Build. Eng. 2022, 5, 104832. [Google Scholar] [CrossRef]
- Hua, J.; Xue, X.; Huang, Q.; Shi, Y.; Deng, W. Post-fire performance of high-strength steel plate girders developing post-buckling capacity. J. Build. Eng. 2022, 52, 104442. [Google Scholar] [CrossRef]
- Hua, J.; Yang, Z.; Zhou, F.; Hai, L.; Wang, N.; Wang, F. Effects of exposure temperature on low–cycle fatigue properties of Q690 high–strength steel. J. Constr. Steel Res. 2022, 190, 107159. [Google Scholar] [CrossRef]
- Zhou, X.; Xue, X.; Shi, Y.; Xu, J. Post-fire mechanical properties of Q620 high-strength steel with different cooling methods. J. Constr. Steel Res. 2021, 180, 106608. [Google Scholar] [CrossRef]
- Hesami, S.; Hikouei, I.S.; Emadi, S.A.A. Mechanical behavior of self-compacting concrete pavements incorporating recycled tire rubber crumb and reinforced with polypropylene fiber. J. Clean. Prod. 2016, 133, 228–234. [Google Scholar] [CrossRef]
- Iqbal, S.; Ali, A.; Holschemacher, K.; Bier, T.A. Mechanical properties of steel fiber reinforced high strength lightweight self-compacting concrete (SHLSCC). Constr. Build. Mater. 2015, 98, 325–333. [Google Scholar] [CrossRef]
- Ren, G.; Wu, H.; Fang, Q.; Liu, J. Effects of steel fiber content and type on static mechanical properties of UHPCC. Constr. Build. Mater. 2018, 163, 826–839. [Google Scholar] [CrossRef]
- Jin, L.; Zhang, R.; Tian, Y.; Dou, G.; Du, X. Experimental investigation on static and dynamic mechanical properties of steel fiber reinforced ultra-high-strength concretes. Constr. Build. Mater. 2018, 178, 102–111. [Google Scholar] [CrossRef]
- Guo, Z. Principle of Reinforced Concrete; Tsinghua University Press: Beijing, China, 2013. [Google Scholar]
- Guo, Z. Strength and Deformation of Concrete-Test Basis and Constitutive Relation; Tsinghua University Press: Beijing, China, 1997. [Google Scholar]
- Cui, T.; He, H.; Yan, W. Experimental Research on Uniaxial Compression Constitutive Model of Hybrid Fiber-Reinforced Cementitious Composites. Materials 2019, 12, 2370. [Google Scholar] [CrossRef]































| Unit | Cl− | SO42− | Na+ | K+ | Mg2+ | Ca2+ | |
|---|---|---|---|---|---|---|---|
| Tap water | mg/L | 12.3 | 36.8 | 8.7 | 2.8 | 9.6 | 53.1 |
| Seawater | mg/L | 19,365.5 | 2537.5 | 11,208.7 | 389.9 | 1321.7 | 395.8 |
| Sea sand | mg/kg | 7.4 | 34.9 | 14.2 | 4.0 | 3.0 | 13.8 |
| Sieve Diameter | Cumulative Percentages of Sieve Residue (%) | |
|---|---|---|
| A1 | 4.75 mm | 4.0 |
| A2 | 2.36 mm | 14.0 |
| A3 | 1.18 mm | 29.4 |
| A4 | 600 μm | 49.0 |
| A5 | 300 μm | 68.6 |
| A6 | 150 μm | 90.6 |
| <150 μm | 99.4 |
| Fiber | Density (kg/m3) | Tensile Strength (MPa) | Elongation (%) | Melting Point (°C) | Elastic Modulus (GPa) |
|---|---|---|---|---|---|
| POM | 1400 | 970 | 18 | 165 | 8 |
| Types | Cement (kg/m3) | Fly Ash (kg/m3) | Mineral Powder (kg/m3) | Sea Sand (kg/m3) | Coarse Aggregate (kg/m3) | Seawater (kg/m3) | Fiber (kg/m3) | W/C Ratio |
|---|---|---|---|---|---|---|---|---|
| NF | 264 | 88 | 88 | 831 | 1016 | 160 | 0.0 | 0.36 |
| POM-0.2 | 264 | 88 | 88 | 831 | 1016 | 160 | 2.8 | |
| POM-0.4 | 264 | 88 | 88 | 831 | 1016 | 160 | 5.6 | |
| POM-0.6 | 264 | 88 | 88 | 831 | 1016 | 160 | 8.4 | |
| POM-0.8 | 264 | 88 | 88 | 831 | 1016 | 160 | 11.2 | |
| POM-1 | 264 | 88 | 88 | 831 | 1016 | 160 | 14.0 |
| Test Type | Specimen Size | Quantity of Specimens | |||||
|---|---|---|---|---|---|---|---|
| NF | POM-0.2 | POM-0.4 | POM-0.6 | POM-0.8 | POM-1 | ||
| Workability test | - | 1 | 1 | 1 | 1 | 1 | 1 |
| Early-age cracking test | 800 mm × 600 mm × 100 mm | 1 | 1 | 1 | 1 | 1 | 1 |
| Cube compressive test | 100 mm × 100 mm × 100 mm | 3 | 3 | 3 | 3 | 3 | 3 |
| Axial compressive test | 100 mm × 100 mm × 300 mm | 3 | 3 | 3 | 3 | 3 | 3 |
| Splitting tensile test | 100 mm × 100 mm × 100 mm | 3 | 3 | 3 | 3 | 3 | 3 |
| Flexural test | 100 mm × 100 mm × 400 mm | 3 | 3 | 3 | 3 | 3 | 3 |
| Types | Slump (mm) | Expansibility 1 (mm) | Expansibility 2 (mm) | Expansibility (mm) |
|---|---|---|---|---|
| NF | 175.2 | 291.3 | 286.5 | 288.9 |
| POM-0.2 | 161.5 | 244.3 | 249.6 | 247.0 |
| POM-0.4 | 144.9 | 231.2 | 223.4 | 227.3 |
| POM-0.6 | 132.1 | 235.1 | 222.5 | 228.8 |
| POM-0.8 | 83.2 | 204.4 | 199.3 | 201.9 |
| POM-1 | 64.6 | 198.1 | 195.8 | 197.0 |
| Number | ac (mm2) | bc (m−2) | cc (mm2/m2) | COV |
|---|---|---|---|---|
| NF | 12.6 | 97.9 | 1237.9 | 1.29 |
| POM-0.2 | 9.9 | 41.7 | 411.1 | 1.20 |
| POM-0.4 | 7.1 | 37.5 | 266.4 | 1.37 |
| POM-0.6 | 7.1 | 31.2 | 222.7 | 0.70 |
| POM-0.8 | 6.1 | 18.7 | 114.3 | 0.66 |
| POM-1 | 2.9 | 10.4 | 30.2 | 0.60 |
| Number | fcu (MPa) | fcu-mean (MPa) | Standard Deviation | COV | 95% Confidence Interval | |
|---|---|---|---|---|---|---|
| Lower Range | Upper Range | |||||
| NF-1 | 58.67 | 56.38 | 2.87 | 0.0510 | ||
| NF-2 | 58.15 | 50.64 | 62.13 | |||
| NF-3 | 52.33 | |||||
| POM-0.2-1 | 58.78 | 58.33 | 0.42 | 0.0072 | ||
| POM-0.2-2 | 58.45 | 57.49 | 59.17 | |||
| POM-0.2-3 | 57.77 | |||||
| POM-0.4-1 | 63.28 | 63.95 | 0.48 | 0.0075 | ||
| POM-0.4-2 | 64.23 | 63.00 | 64.91 | |||
| POM-0.4-3 | 64.35 | |||||
| POM-0.6-1 | 65.29 | 66.39 | 0.91 | 0.0138 | ||
| POM-0.6-2 | 66.36 | 64.56 | 68.22 | |||
| POM-0.6-3 | 67.53 | |||||
| POM-0.8-1 | 62.15 | 61.78 | 2.85 | 0.0461 | ||
| POM-0.8-2 | 58.12 | 56.08 | 67.48 | |||
| POM-0.8-3 | 65.07 | |||||
| POM-1-1 | 62.55 | 61.77 | 2.11 | 0.0342 | ||
| POM-1-2 | 63.88 | 57.54 | 66.00 | |||
| POM-1-3 | 58.88 | |||||
| Number | fc (MPa) | fc-mean (MPa) | Standard Deviation | COV | 95% Confidence Interval | |
|---|---|---|---|---|---|---|
| Lower Range | Upper Range | |||||
| NF-1 | 34.94 | 36.15 | 2.01 | 0.0555 | ||
| NF-2 | 34.53 | 32.13 | 40.17 | |||
| NF-3 | 38.98 | |||||
| POM-0.2-1 | 41.94 | 40.38 | 2.66 | 0.0660 | ||
| POM-0.2-2 | 42.57 | 35.05 | 45.71 | |||
| POM-0.2-3 | 36.63 | |||||
| POM-0.4-1 | 40.43 | 41.55 | 1.76 | 0.0423 | ||
| POM-0.4-2 | 40.18 | 38.03 | 45.06 | |||
| POM-0.4-3 | 44.03 | |||||
| POM-0.6-1 | 39.41 | 39.02 | 2.22 | 0.0568 | ||
| POM-0.6-2 | 41.52 | 34.58 | 43.46 | |||
| POM-0.6-3 | 36.13 | |||||
| POM-0.8-1 | 45.73 | 41.70 | 2.85 | 0.0684 | ||
| POM-0.8-2 | 39.88 | 36.00 | 47.41 | |||
| POM-0.8-3 | 39.50 | |||||
| POM-1-1 | 48.55 | 43.16 | 4.50 | 0.1042 | ||
| POM-1-2 | 43.38 | 34.16 | 52.16 | |||
| POM-1-3 | 37.54 | |||||
| Number | ft (MPa) | ft-mean (MPa) | Standard Deviation | COV | 95% Confidence Interval | |
|---|---|---|---|---|---|---|
| Lower Range | Upper Range | |||||
| NF-1 | 3.01 | 3.06 | 0.17 | 0.0559 | ||
| NF-2 | 3.29 | 2.72 | 3.40 | |||
| NF-3 | 2.88 | |||||
| POM-0.2-1 | 3.20 | 3.22 | 0.13 | 0.0395 | ||
| POM-0.2-2 | 3.07 | 2.96 | 3.47 | |||
| POM-0.2-3 | 3.38 | |||||
| POM-0.4-1 | 3.84 | 3.42 | 0.33 | 0.0971 | ||
| POM-0.4-2 | 3.38 | 2.75 | 4.08 | |||
| POM-0.4-3 | 3.03 | |||||
| POM-0.6-1 | 4.09 | 3.68 | 0.29 | 0.0795 | ||
| POM-0.6-2 | 3.48 | 3.09 | 4.26 | |||
| POM-0.6-3 | 3.46 | |||||
| POM-0.8-1 | 3.17 | 3.49 | 0.24 | 0.0680 | ||
| POM-0.8-2 | 3.74 | 3.01 | 3.96 | |||
| POM-0.8-3 | 3.55 | |||||
| POM-1-1 | 3.48 | 3.42 | 0.17 | 0.0507 | ||
| POM-1-2 | 3.59 | 3.07 | 3.76 | |||
| POM-1-3 | 3.18 | |||||
| Number | ff (MPa) | ff-mean (MPa) | Standard Deviation | COV | 95% Confidence Interval | |
|---|---|---|---|---|---|---|
| Lower Range | Upper Range | |||||
| NF-1 | 6.78 | 6.48 | 0.24 | 0.0372 | ||
| NF-2 | 6.19 | 6.00 | 6.97 | |||
| NF-3 | 6.48 | |||||
| POM-0.2-1 | 6.49 | 6.56 | 0.09 | 0.0133 | ||
| POM-0.2-2 | 6.68 | 6.38 | 6.73 | |||
| POM-0.2-3 | 6.50 | |||||
| POM-0.4-1 | 6.72 | 6.92 | 0.42 | 0.0602 | ||
| POM-0.4-2 | 7.50 | 6.88 | 7.28 | |||
| POM-0.4-3 | 6.54 | |||||
| POM-0.6-1 | 7.22 | 7.08 | 0.10 | 0.0140 | ||
| POM-0.6-2 | 7.02 | 6.88 | 7.28 | |||
| POM-0.6-3 | 7.00 | |||||
| POM-0.8-1 | 6.91 | 6.87 | 0.11 | 0.0155 | ||
| POM-0.8-2 | 6.97 | 6.65 | 7.08 | |||
| POM-0.8-3 | 6.72 | |||||
| POM-1-1 | 6.27 | 6.54 | 0.19 | 0.0291 | ||
| POM-1-2 | 6.64 | 6.16 | 6.92 | |||
| POM-1-3 | 6.70 | |||||
| Equation Type | Source | Equation | |
|---|---|---|---|
| Polynomial equation | Proposed by Zhenhai Guo [62] | (13) | |
| Exponential equation | Proposed by Umenura [62] | (14) | |
| Rational fraction equation | Proposed by Sargin [62] | (15) | |
| Proposed by Al-Hassani [63] | (16) | ||
| Proposed by Saenz [64] | (17) |
| Study | Equation Coefficient | NF | POM-0.2 | POM-0.4 | POM-0.6 | POM-0.8 | POM-1 |
|---|---|---|---|---|---|---|---|
| Zhenhai Guo [62] | A | 1.078 | 1.238 | 1.672 | 1.814 | 1.153 | 2.385 |
| R2 | 0.9973 | 0.9902 | 0.9978 | 0.9846 | 0.9925 | 0.9932 | |
| B | 4.113 | 0.7258 | 1.27 | 1.134 | 1.523 | 0.8837 | |
| R2 | 0.9906 | 0.9924 | 0.9545 | 0.9322 | 0.9963 | 0.9714 | |
| Umenura [62] | a | −0.3172 | −0.7386 | −0.9495 | −0.9203 | −0.8827 | −0.5342 |
| b | −0.3015 | −0.7783 | −0.9842 | −0.9679 | −0.9181 | −1.561 | |
| c | −90.75 | 49.44 | 70 | 50.08 | 59.27 | 2.568 | |
| R2 | 0.9802 | 0.9644 | 0.9601 | 0.9513 | 0.8998 | 0.9816 | |
| Sargin [62] | c1 | 1.237 | 1.016 | 1.435 | 1.521 | 0.9915 | 2.165 |
| c2 | 0.2128 | 1.025 | 0.7549 | 0.7589 | 0.9057 | 0.7199 | |
| R2 | 0.9979 | 0.9804 | 0.9937 | 0.9838 | 0.9951 | 0.9893 | |
| Al-Hassani [63] | A | 1.319 | 1.346 | 1.526 | 1.617 | 1.365 | 1.871 |
| R2 | 0.9962 | 0.9922 | 0.9982 | 0.9939 | 0.9865 | 0.9937 | |
| B | 4.113 | 0.7258 | 1.27 | 1.134 | 1.523 | 0.8837 | |
| R2 | 0.9906 | 0.9924 | 0.9545 | 0.9322 | 0.9963 | 0.9714 | |
| Saenz [64] | c1 | 0.7607 | 0.6715 | 0.5851 | 0.7878 | 1.076 | 0.493 |
| c2 | 0.2946 | 0.2314 | 0.2591 | −0.7334 | −1.18 | −0.0062 | |
| c3 | −0.8396 | −0.215 | −0.2149 | 0.9369 | 1.01 | 0.434 | |
| c4 | 0.791 | 0.3183 | 0.351 | 0.01489 | 0.08796 | 0.07669 | |
| R2 | 0.9975 | 0.9924 | 0.9952 | 0.99 | 0.9979 | 0.9921 |
Publisher’s Note: MDPI stays neutral with regard to jurisdictional claims in published maps and institutional affiliations. |
© 2022 by the authors. Licensee MDPI, Basel, Switzerland. This article is an open access article distributed under the terms and conditions of the Creative Commons Attribution (CC BY) license (https://creativecommons.org/licenses/by/4.0/).
Share and Cite
Xue, X.; Wang, F.; Hua, J.; Wang, N.; Huang, L.; Chen, Z.; Yao, Y. Effects of Polyoxymethylene Fiber on Fresh and Hardened Properties of Seawater Sea-Sand Concrete. Polymers 2022, 14, 4969. https://doi.org/10.3390/polym14224969
Xue X, Wang F, Hua J, Wang N, Huang L, Chen Z, Yao Y. Effects of Polyoxymethylene Fiber on Fresh and Hardened Properties of Seawater Sea-Sand Concrete. Polymers. 2022; 14(22):4969. https://doi.org/10.3390/polym14224969
Chicago/Turabian StyleXue, Xuanyi, Fei Wang, Jianmin Hua, Neng Wang, Lepeng Huang, Zengshun Chen, and Yunhang Yao. 2022. "Effects of Polyoxymethylene Fiber on Fresh and Hardened Properties of Seawater Sea-Sand Concrete" Polymers 14, no. 22: 4969. https://doi.org/10.3390/polym14224969
APA StyleXue, X., Wang, F., Hua, J., Wang, N., Huang, L., Chen, Z., & Yao, Y. (2022). Effects of Polyoxymethylene Fiber on Fresh and Hardened Properties of Seawater Sea-Sand Concrete. Polymers, 14(22), 4969. https://doi.org/10.3390/polym14224969

