Preparation and Application of a Magnetic Oxidized Micro/Mesoporous Carbon with Efficient Adsorption for Cu(II) and Pb(II)
Abstract
1. Introduction
2. Materials and Methods
2.1. Materials
2.2. Preparation of Micro/Mesoporous Carbon
2.3. Preparation of Magnetic Oxidized Micro/Mesoporous Carbon
2.4. Characterization of MMC and MOMMC
2.5. Batch Adsorption Study
2.6. Adsorption Kinetics
2.7. Adsorption Isotherms
2.8. Recovery Experiments
2.9. Competitive Adsorption
3. Results and Discussion
3.1. Adsorbent Characterizations
3.2. Adsorption Capacity of Different Adsorbents
3.3. Effect of pH
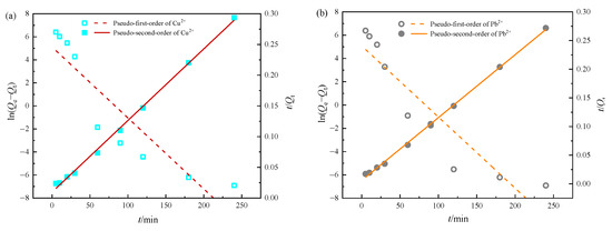
3.4. Adsorption Kinetics of MOMMC
3.5. Adsorption Isotherms of MOMMC
3.6. Recovery Performance
3.7. Competitive Adsorption
3.8. Discussion of Mechanism
4. Conclusions
Author Contributions
Funding
Institutional Review Board Statement
Informed Consent Statement
Data Availability Statement
Conflicts of Interest
References
- Tchounwou, P.B.; Yedjou, C.G.; Patlolla, A.K.; Sutton, D.J. Heavy metal toxicity and the environment. EXS 2012, 101, 133–164. [Google Scholar] [PubMed]
- Peralta-videa, J.R.; Lopez, M.L.; Narayan, M.; Saupe, G.; Gardea-Torresdey, J. The biochemistry of environmental heavy metal uptake by plants: Implications for the food chain. Int. J. Biochem. CellBiol. 2009, 41, 1665–1677. [Google Scholar] [CrossRef] [PubMed]
- Levy, J.L.; Stauber, J.L.; Jolley, D.F. Sensitivity of marine microalgae to copper: The effect of biotic factors on copper adsorption and toxicity. Sci. Total Environ. 2007, 387, 141–154. [Google Scholar] [CrossRef] [PubMed]
- Zhou, Y.Y.; Zhang, F.F.; Tang, L.; Zhang, J.C.; Zeng, G.M.; Luo, L.; Liu, Y.Y.; Wang, P.; Peng, B.; Liu, X.C. Simultaneous removal of atrazine and copper using polyacrylic acid-functionalized magnetic ordered mesoporous carbon from water: Adsorption mechanism. Sci. Rep. 2017, 7, 43831. [Google Scholar] [CrossRef]
- El-Naggar, N.E.; Hamouda, R.A.; Mousa, I.E.; Abdel-Hamid, M.S.; Rabei, N.H. Biosorption optimization, characterization, immobilization and application of Gelidium amansii biomass for complete Pb2+ removal from aqueous solutions. Sci. Rep. 2018, 8, 13456. [Google Scholar] [CrossRef]
- Zeng, F.R.; Mallhi, Z.I.; Khan, N.; Rizwan, M.; Ali, S.; Ahmad, A.; Hussain, A.; Alsahli, A.A.; Alyemeni, M. Combined Citric Acid and Glutathione Augments Lead (Pb) Stress Tolerance and Phytoremediation of Castorbean through Antioxidant Machinery and Pb Uptake. Sustainability 2021, 13, 4073. [Google Scholar] [CrossRef]
- Khan, S.; Farooqi, A.; Danish, M.I.; Zeb, A. Biosorption of copper (II) from aqueous solution using citrus sinensis peel and wood sawdust: Utilization in purification of drinking and waste water. IJRRAS 2013, 16, 297–306. [Google Scholar]
- Ali, I.; Gupta, V.K. Advances in water treatment by adsorption technology. Nat. Protoc. 2006, 1, 2661–2667. [Google Scholar] [CrossRef]
- Demirbas, A. Heavy metal adsorption onto agro-based waste materials: A review. J. Hazard. Mater. 2008, 157, 220–229. [Google Scholar] [CrossRef]
- Wang, A.Q.; Zhu, Y.F.; Wang, W.B.; Yu, H. Preparation of porous adsorbent via Pickering emulsion template for water treatment: A review. J. Environ. Sci. 2020, 88, 217–236. [Google Scholar]
- Jiang, J.Q.; Ashekuzzaman, S.M. Development of novel inorganic adsorbent for water treatment. Curr. Opin. Chem. Eng. 2012, 1, 191–199. [Google Scholar] [CrossRef]
- Zhang, Z.B.; Jiang, C.; Li, D.W.; Lei, Y.Q.; Yao, H.M.; Zhou, G.Y.; Wang, K.; Rao, Y.L.; Liu, W.G.; Xu, C.L.; et al. Micro-mesoporous activated carbon simultaneously possessing large surface area and ultra-high pore volume for efficiently adsorbing various VOCs. Carbon 2020, 170, 567–579. [Google Scholar] [CrossRef]
- Liu, D.; Hu, Y.Y.; Zeng, C.; Qu, D.Y. Soft-templated ordered mesoporous carbon materials:synthesis, structural modification and functionalization. Acta Phys-Chim. Sin. 2016, 32, 2826–2840. [Google Scholar] [CrossRef]
- Liu, R.L.; Shi, Y.F.; Wan, Y.; Meng, Y.; Zhang, F.Q.; Gu, D.; Chen, Z.X.; Tu, B.; Zhao, D.Y. Triconstituent co-assembly to ordered mesostructured polymer-silica and carbon-silica nanocomposites and large-pore mesoporous carbons with high surface areas. J. Am. Chem. Soc. 2006, 128, 11652–11662. [Google Scholar] [CrossRef]
- Kumar, P.S.; Korvinga, L.; Keesmanac, K.J.; Loosdrecht, M.C.N.; Witkamp, G. Effect of pore size distribution and particle size of porous metal oxides on phosphate adsorption capacity and kinetics. Chem. Eng. J. 2019, 358, 160–169. [Google Scholar] [CrossRef]
- Gang, D.; Ahmad, Z.U.; Lian, Q.; Yao, L.; Zappi, M.E. A Review of Adsorptive Remediation of Environmental Pollutants from Aqueous Phase by Ordered Mesoporous Carbon. Chem. Eng. J. 2021, 403, 126286. [Google Scholar] [CrossRef]
- Barczak, M.; Michalak-Zwierz, K.; Gdula, K.; Tyszczuk-Rotko, K.; Dobrowolski, R.; Dąbrowski, A. Ordered mesoporous carbons as effective sorbents for removal of heavy metal ions. Micropor. Mesopor. Mat. 2015, 211, 162–173. [Google Scholar] [CrossRef]
- Li, K.Q.; Wan, Z.Q.; Li, J.; Lu, M.Z.; Wang, X.H. Amino-functionalized bimodal ordered mesoporous carbon with high surface area for efficient adsorption of lead (II) ions. Desalin. Water. Treat. 2017, 60, 200–211. [Google Scholar] [CrossRef]
- Zeng, G.M.; Liu, Y.Y.; Tang, L.; Yang, G.D.; Pang, Y.; Zhang, Y.; Zhou, Y.Y.; Li, Z.; Li, M.Y.; Lai, M.Y.; et al. Enhancement of Cd(II) adsorption by polyacrylic acid modified magnetic mesoporous carbon. Chem. Eng. J. 2015, 259, 153–160. [Google Scholar] [CrossRef]
- Kou, Z.; Zhang, D.; Chen, Z.; Xie, Y. Quantitatively determine CO2 geosequestration capacity in depleted shale reservoir: A model considering viscous flow, diffusion, and adsorption. Fuel 2022, 309, 122191. [Google Scholar] [CrossRef]
- Kou, Z.; Wang, T.; Chen, Z.; Jiang, J. A fast and reliable methodology to evaluate maximum CO2 storage capacity of depleted coal seams: A case study. Energy 2021, 231, 120992. [Google Scholar] [CrossRef]
- Wang, H.; Kou, Z.; Guo, J.; Chen, Z. A semi-analytical model for the transient pressure behaviors of a multiple fractured well in a coal seam gas reservoir. J. Petrol. Sci. Eng. 2021, 198, 108159. [Google Scholar] [CrossRef]
- Kou, Z.; Wang, H. Transient Pressure Analysis of a Multiple Fractured Well in a Stress-Sensitive Coal Seam Gas Reservoir. Energies 2020, 13, 3849. [Google Scholar] [CrossRef]
- Zhang, L.; Kou, Z.; Wang, H.; Zhao, Y.; Dejam, M.; Guo, J.; Du, J. Performance analysis for a model of a multi-wing hydraulically fractured vertical well in a coalbed methane gas reservoir. J. Petrol. Sci. Eng. 2018, 166, 104–120. [Google Scholar] [CrossRef]
- Konggidinata, M.I.; Chao, B.; Lian, Q.; Subramaniam, R.; Zappi, M.; Gang, D.D. Equilibrium, kinetic and thermodynamic studies for adsorption of BTEX onto Ordered Mesoporous Carbon (OMC). J. Hazard. Mater. 2017, 336, 249–259. [Google Scholar] [CrossRef] [PubMed]
- Singh, A.V.; Kumawat, I.K. Preparation and characterisation of tamarind 4-hydroxybenzoic acid (THBA) resin and its use in extraction of heavy metal ions from industrial wastewater. Water SA 2012, 38, 529–536. [Google Scholar] [CrossRef][Green Version]
- Chan, L.; Cheung, W.; Allen, S.; McKay, G. Error Analysis of Adsorption Isotherm Models for Acid Dyes onto Bamboo Derived Activated Carbon. Chin. J. Chem. Eng. 2012, 20, 535–542. [Google Scholar] [CrossRef]
- Shi, S.; Fan, Y.W.; Huang, Y.M. Facile Low Temperature Hydrothermal Synthesis of Magnetic Mesoporous Carbon Nanocomposite for Adsorption Removal of Ciprofloxacin Antibiotics. Ind. Eng. Chem. Res. 2013, 52, 2604–2612. [Google Scholar] [CrossRef]
- Farma, R.; Anugrah, A.P.; Apriyani, I.; Awitdrus, A. Facile synthesis of Veitchia merilli coir based porous carbon using combined chemical and physical activation routes as electrode material for energy storage. Adv. Nat. Sci. Nanosci. Nanotechnol. 2022, 13, 015009. [Google Scholar] [CrossRef]
- Yang, N.; Zhu, S.M.; Zhang, D.; Xu, S. Synthesis and properties of magnetic Fe3O4-activated carbon nanocomposite particles for dye removal. Mater. Lett. 2008, 62, 645–647. [Google Scholar] [CrossRef]
- Zhu, X.; Zhang, Z.; Mao, Y.; Li, Y.; Huang, X.; Gu, N. Applying deep learning in automatic and rapid measurement of lattice spacings in HRTEM images. Sci. China Mater. 2020, 63, 2365–2370. [Google Scholar] [CrossRef]
- Liu, P.; Jiao, J.; Huang, Y. Ordered mesoporous carbon prepared from triblock copolymer/novolac composites. J. Porous. Mater. 2013, 20, 107–113. [Google Scholar] [CrossRef]
- Ezzeddine, Z.; Batonneau-Gener, I.; Pouilloux, Y.; Hamad, H.; Saad, Z. The applicability of as synthesized mesoporous carbon CMK-3 as a heavy metals adsorbent: Application to real water samples. Energy Source Part A 2021, 43, 1675–1690. [Google Scholar] [CrossRef]
- Xu, J.; Cao, Z.; Zhang, Y.; Yuan, Z.; Lou, Z.; Xu, X.; Wang, X. A review of functionalized carbon nanotubes and graphene for heavy metal adsorption from water: Preparation, application, and mechanism. Chemosphere 2018, 195, 351–364. [Google Scholar] [CrossRef] [PubMed]
- Yang, F.J.; Ma, C.H.; Yang, L.; Zhao, C.J.; Zhang, Y.; Zu, Y.G. Enrichment and Purification of Deoxyschizandrin and γ-Schizandrin from the Extract of Schisandra chinensis Fruit by Macroporous Resins. Molecules 2012, 17, 3510–3523. [Google Scholar] [CrossRef]
- Sun, Y.F.; Liu, Y.; Yang, Y.; Li, J.J. Enhancing adsorption of Pb (II) and Cu (II) ions onto chitosan using tri-sodium citrate and epichlorohydrin as cross-linkers. Desalin. Water. Treat. 2014, 52, 6430–6439. [Google Scholar] [CrossRef]
- Guivar, J.A.R.; Sadrollahi, E.; Menzel, D.; Fernandes, E.; López, E.O.; Torres, M.A.M.; Arsuaga, J.M.; Arencibia, A.; Litterst, F.J. Magnetic, structural and surface properties of functionalized maghemite nanoparticles for copper and lead adsorption. RSC Adv. 2017, 7, 28763–28779. [Google Scholar] [CrossRef]
- Wang, R.; Fan, X.W.; Li, Y.Z. Efficient removal of a low-concentration of Pb(II), Fe(III) and Cu(II) from simulated drinking water by co-immobilization between low-dosages of metal-resistant/adapted fungus Penicillium janthinillum and graphene oxide and activated carbon. Chemosphere 2022, 286, 131591. [Google Scholar] [CrossRef]
- Zhang, Q.Y.; He, M.; Chen, B.B.; Hu, B. Magnetic Mesoporous Carbons Derived from in Situ MgO Template Formation for Fast Removal of Heavy Metal Ions. ACS Omega 2018, 3, 3752–3759. [Google Scholar] [CrossRef]
- Liu, Y.Y.; Xiong, Y.; Xu, P.; Pang, Y.; Du, C.Y. Enhancement of Pb (II) adsorption by Boron doped ordered mesoporous carbon: Isotherm and kinetics modeling. Sci. Total Environ. 2020, 708, 134918. [Google Scholar] [CrossRef]
- Geng, S.Y.; Liu, J.; Wang, C.; Dong, L.M.; Liang, T.X. Experimental analysis and theoretical studies by density functional theory of aminopropyl-modified ordered mesoporous carbon. Appl. Surf. Sci. 2015, 351, 911–919. [Google Scholar] [CrossRef]
- Mandal, S.; Calderon, J.; Marpu, S.B.; Omary, M.A.; Shi, S.Q. Mesoporous activated carbon as a green adsorbent for the removal of heavy metals and Congo red: Characterization, adsorption kinetics, and isotherm studies. J. Contam. Hydrol. 2021, 243, 103869. [Google Scholar] [CrossRef] [PubMed]

















| Sample | F127/g | Hydrochloric Acid/mL | Ethanol/mL | Sucrose/g | TEOS/g |
|---|---|---|---|---|---|
| MMC-1 | 1.80 | 0.5 | 5.0 | 0.90 | 0.37 |
| MMC-2 | 1.80 | 1.0 | 10.0 | 1.80 | 0.73 |
| MMC-3 | 1.80 | 3.0 | 30.0 | 5.40 | 2.19 |
| Physical Quantity | Abbreviation | Values and Units |
|---|---|---|
| Equilibrium adsorption capacity | Qe | mg·g−1 |
| Equilibrium concentration | Ce | mg·L−1 |
| Maximum adsorption capacity | Qm | mg·g−1 |
| Langmuir adsorption isotherm constant | KL | L·mg−1 |
| Freundlich adsorption isotherm constant | Kf | (mg·g−1) (L·mg−1)1/n) |
| Heterogeneity parameter | n | / |
| Polanyi potential | ε | ε = RTln(1 + 1/Ce), J·mol−1 |
| Constant related to adsorption-free energy | β | mol2·J−2 |
| Gas constant | R | 8.3145 J·mol−1·K−1 |
| Absolute temperature | T | K |
| Temkin isotherm constant | bT | J·mol−1 |
| Temkin isotherm equilibrium constant | AT | L·g−1 |
| Redlich–Peterson constants | KR | L·g−1 |
| Redlich–Peterson constants | g | / |
| Redlich–Peterson constants | B | L·g−1 |
| Experimental equilibrium adsorption capacity | Qe,exp | mg·g−1 |
| Calculated equilibrium adsorption capacity | Qe,cal | mg·g−1 |
| Sample | Specific Surface Area/(m2·g−1) | Specific Surface Area of Micropore/(m2·g−1) | Total Pore Volume/(cm3·g−1) | Micropore Volume/(cm3·g−1) | Mesopore Volume/(cm3·g−1) | Total Pore Size/nm | Mesopore Size/nm | Type | Hysteresis |
|---|---|---|---|---|---|---|---|---|---|
| MMC-1 | 183.53 | / | 0.41 | / | 0.42 | 7.50 | 8.21 | IV | H2(b) |
| MMC-2 | 460.21 | 170.24 | 0.82 | 0.06 | 0.76 | 7.12 | 8.19 | IV | H2(b) |
| MMC-3 | 381.72 | 290.12 | 0.26 | 0.12 | 0.14 | 3.43 | 8.14 | I + IV | H4 |
| MOMMC | 89.40 | 26.64 | 0.09 | 0.01 | 0.08 | 3.37 | 5.18 | IV | H2(b) |
| Systems | Qe,exp /mg·g−1 | Pseudo-First-Order | Pseudo-Second-Order | ||||
|---|---|---|---|---|---|---|---|
| Qe,cal /mg·g−1 | k1 /min−1 | R2 | Qe,cal /mg·g−1 | k2 /g·mg−1·min−1 | R2 | ||
| Cu(II) | 817.29 | 167.47 | 0.062 | 0.8172 | 854.70 | 0.00014 | 0.9972 |
| Pb(II) | 882.87 | 160.60 | 0.061 | 0.8472 | 909.09 | 0.00020 | 0.9985 |
| Models. | Parameters | Cu(II) | Pb(II) |
|---|---|---|---|
| Langmuir | Qm/mg·g−1 | 877.19 | 943.40 |
| KL/L·mg−1 | 0.0783 | 0.1299 | |
| R2 | 0.9978 | 0.9982 | |
| ARE | 0.1586 | 0.1367 | |
| Freundlich | n | 2.02 | 2.06 |
| Kf/((mg·g−1) (L·mg−1)1/n) | 82.1864 | 112.1851 | |
| R2 | 0.9069 | 0.9355 | |
| ARE | 0.2278 | 0.1970 | |
| Dubinin–Radushkevich | Qm/mg·g−1 | 334.73 | 365.45 |
| β/mol2·J−2 | 2.72×10−7 | 1.41×10−7 | |
| R2 | 0.4697 | 0.5278 | |
| ARE | 11.4106 | 14.2571 | |
| Temkin | bT/J·mol−1 | 17.6809 | 17.1163 |
| AT/L·g−1 | 1.6204 | 2.9214 | |
| R2 | 0.9314 | 0.9412 | |
| ARE | 0.5730 | 0.5771 | |
| Redlich–Peterson | g | 0.6645 | 0.6605 |
| KR/L·g−1 | 150 | 300 | |
| B/L·g−1 | 0.8846 | 1.4860 | |
| R2 | 0.9473 | 0.9719 | |
| ARE | 0.1549 | 0.1225 |
| Adsorbent Material | Cu(II)/mg·g−1 | Pb(II)/mg·g−1 | References |
|---|---|---|---|
| CTS cross-linked with CA-ECH | 151.52 | 121.95 | [36] |
| γ-Fe2O3@HAp | 88.2 | [37] | |
| SA-PVA-fungus GXCR bead | 1.107 | 1.618 | [38] |
| SA-PVA-GO-fungus GXCR bead | 1.71 | 1.589 | [38] |
| SA-PVA-AC-fungus GXCR bead | 1.551 | 1.638 | [38] |
| Fe3O4@SiO2@mC | 48.5 | 94.0 | [39] |
| Fe3O4@SiO2@mC-H2O2 | 86.5 | 156 | [39] |
| Ordered mesoporous carbon | 288.4 | [40] | |
| Boron-doped mesoporous carbon | 415.5 | [40] | |
| Ordered mesoporous carbons containing amino propyls | 4.97 | 6.86 | [41] |
| Mesoporous activated carbon from kenaf | 12.7 | 12.0 | [42] |
| Magnetic oxidized micro/mesoporous carbon | 877.19 | 943.40 | This study |
Publisher’s Note: MDPI stays neutral with regard to jurisdictional claims in published maps and institutional affiliations. |
© 2022 by the authors. Licensee MDPI, Basel, Switzerland. This article is an open access article distributed under the terms and conditions of the Creative Commons Attribution (CC BY) license (https://creativecommons.org/licenses/by/4.0/).
Share and Cite
Qu, J.; Huang, H.; Yang, Q.; Gong, W.; Li, M.; Chang, L.; Cao, B.; Zhang, G.; Zhou, C. Preparation and Application of a Magnetic Oxidized Micro/Mesoporous Carbon with Efficient Adsorption for Cu(II) and Pb(II). Polymers 2022, 14, 4888. https://doi.org/10.3390/polym14224888
Qu J, Huang H, Yang Q, Gong W, Li M, Chang L, Cao B, Zhang G, Zhou C. Preparation and Application of a Magnetic Oxidized Micro/Mesoporous Carbon with Efficient Adsorption for Cu(II) and Pb(II). Polymers. 2022; 14(22):4888. https://doi.org/10.3390/polym14224888
Chicago/Turabian StyleQu, Jia, Hongpu Huang, Qiang Yang, Wei Gong, Meilan Li, Liangliang Chang, Baoyue Cao, Guochun Zhang, and Chunsheng Zhou. 2022. "Preparation and Application of a Magnetic Oxidized Micro/Mesoporous Carbon with Efficient Adsorption for Cu(II) and Pb(II)" Polymers 14, no. 22: 4888. https://doi.org/10.3390/polym14224888
APA StyleQu, J., Huang, H., Yang, Q., Gong, W., Li, M., Chang, L., Cao, B., Zhang, G., & Zhou, C. (2022). Preparation and Application of a Magnetic Oxidized Micro/Mesoporous Carbon with Efficient Adsorption for Cu(II) and Pb(II). Polymers, 14(22), 4888. https://doi.org/10.3390/polym14224888
