Mechanical Characterization of Hybrid Nano-Filled Glass/Epoxy Composites
Abstract
1. Introduction
2. Material and Methods
2.1. Materials
2.2. Mechanical Characterizations
3. Results and Discussion
3.1. SEM Analysis of the Nanoparticles
3.2. Tensile Results
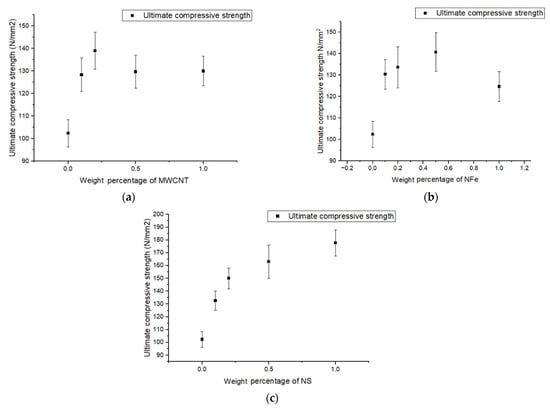
3.3. Compression Results
3.4. Flexural Results
3.5. Impact Result
3.6. SEM Analysis
4. Conclusions
Funding
Institutional Review Board Statement
Informed Consent Statement
Data Availability Statement
Acknowledgments
Conflicts of Interest
References
- Srivasta, V.K.; Pathak, J.P. Friction and wear properties of bushing bearing of graphite filled short glass fibre composites in dry sliding. Wear 1996, 197, 145–150. [Google Scholar] [CrossRef]
- Sutherland, L.S.; Soares, C.G. Impact on low fibre-volume, glass/polyester rectangular plates. Compos. Struct. 2005, 68, 13–22. [Google Scholar] [CrossRef]
- Evci, C.; Gulgec, M. An experimental investigation on the impact response of composite materials. Int. J. Impact Eng. 2012, 43, 40–51. [Google Scholar] [CrossRef]
- Sutherland, L.S.; Soares, C.G.; Guecdes, C. Mechanical properties of MWCNTs and graphene nanoparticles modified glass fibre-reinforced polymer nanocomposite. Int. J. Impact Eng. 2005, 33, 194. [Google Scholar]
- Mitreveski, T.; Marshall, I.H.; Thomsan, R. The influence of impactor shape on the damage to composite laminates. Compos. Struct. 2006, 76, 116–122. [Google Scholar] [CrossRef]
- Chang, M.S. An investigation on the dynamic behavior and thermal properties of MWCNTs/FRP laminate composites. J. Reinf. Plast. Compos. 2010, 29, 3593–3599. [Google Scholar] [CrossRef]
- Lal, A.; Markad, K. Thermo-mechanical post buckling analysis of multiwall carbon nanotube-reinforced composite laminated beam under elastic foundation. Curved Layer. Struct. 2019, 6, 212–228. [Google Scholar] [CrossRef]
- Ayatollahi, M.R.; Shadlou, S.; Shokrieh, M.M.; Chitsazzadeh, M. Effect of multi-walled carbon nanotube aspect ratio on mechanical and electrical properties of epoxy-based nanocomposites. Polym. Test. 2011, 30, 548–556. [Google Scholar] [CrossRef]
- Rafiee, M.; Nitzsche, F.; Labrosse, M.R. Fabrication and experimental evaluation of vibration and damping in multiscale graphene/fiberglass/epoxy composites. J. Compos. Mater. 2019, 53, 2105–2118. [Google Scholar] [CrossRef]
- Rafiee, M.; Nitzsche, F.; Laliberte, J.; Thibault, J.; Labrosse, M. Simultaneous einforcement of matrix and fibers for enhancement of mechanical properties of graphene-modified laminated composites. Polym. Compos. 2019, 40, E1732–E1745. [Google Scholar] [CrossRef]
- Mostovoy, A. Fiber-Reinforced Polymer Composites: Manufacturing and Performance. Polymers 2022, 14, 338. [Google Scholar] [CrossRef] [PubMed]
- Vázquez-Moreno, J.M.; Sánchez-Hidalgo, R.; Sanz-Horcajo, E.; Viña, J.; Verdejo, R.; López-Manchado, M.A. Preparation and Mechanical Properties of Graphene/Carbon Fiber-Reinforced Hierarchical Polymer Composites. J. Compos. Sci. 2019, 3, 30. [Google Scholar] [CrossRef]
- Bekeshev, A.; Mostovoy, A.; Tastanova, L.; Kadykova, Y.; Kalganova, S.; Lopukhova, M. Reinforcement of Epoxy Composites with Application of Finely-ground Ochre and Electrophysical Method of the Composition Modification. Polymers 2020, 12, 1437. [Google Scholar] [CrossRef] [PubMed]
- Jamali, N.; Rezvani, A.; Khosravi, H.; Tohidlou, E. On the mechanical behavior of basalt fiber/epoxy composites filled with silanized graphene oxide nanoplatelets. Polym. Compos. 2018, 39, E2472–E2482. [Google Scholar] [CrossRef]
- Tian, Y.; Zhang, H.; Zhang, Z. Influence of nanoparticles on the interfacial properties of fiber-reinforced-epoxy composites. Compos. Part A Appl. Sci. Manuf. 2017, 98, 1–8. [Google Scholar] [CrossRef]
- Liang, S.; Jia, C.; Tang, Y.; Zhang, Y.; Zhang, J.; An-qiang, P. Mechanical and electrical properties of carbon nanotube reinforced epoxide resin composites. Trans. Nonferrous Met. Soc. China 2007, 17, 675–679. [Google Scholar]
- Zhou, Y.; Pervin, F.; Lewis, L.; Jeelani, S. Fabrication and characterization of carbon/epoxy composites mixed with multi walled carbon nanotubes. Mater. Sci. Eng. A 2008, 475, 157–165. [Google Scholar] [CrossRef]
- Wong, M.; Paramsothy, M.; Xu, X.J.; Ren, Y.; Li, S.; Liao, K. Physical interactions at carbon nanotube–polymer interface. Polymer 2003, 44, 7757–7764. [Google Scholar] [CrossRef]
- Veronica, M.M.; Veronica, P.S.; Jose, M.M.M. Improvement in mechanical and structural integrity of natural stone by applying unsaturated polyester resin-nanosilica hybrid thin coating. Eur. Polym. J. 2008, 44, 3146–3155. [Google Scholar]
- Shu, X.Z.; Li, M.W.; Jian, S. Effect of Nanosilica on the properties of Polyester-Based Polyurethane. J. Appl. Polym. Sci. 2003, 88, 189–193. [Google Scholar]
- Smia, G.; Shailesh, K.G.; Lon, J.M. Surface modification of nano-silica with amides and imides for use in polyester nano composites. J. Mater. Chem. Am. 2013, 1, 6073–6080. [Google Scholar]
- Natalia, C.C.; Jose Roberto, V.B.; Yendry, C.U. Basis and Applications of Silicon Reinforced Adhesives. Org. Med. Chem Int. J. 2018, 5, 18–29. [Google Scholar]
- Sudirman, M.; Anggaravidya, E.; Budianto, I. Gunawan Synthesis and Characterization of Polyester-Based Nanocomposite. Procedia Chem. 2012, 4, 107–113. [Google Scholar] [CrossRef]
- Zheng, Y.; Ning, R.; Zheng, Y. Study of Si02 nanoparticies on the improved performance of epoxy and fibre composites. J. Reinf. Plast. Compos. 2005, 24, 223–233. [Google Scholar] [CrossRef]











| S. No | Properties | Value |
|---|---|---|
| 1. | Appearance | Clear, viscous liquid |
| 2. | Viscosity at 25 °C | 9000–12,000 m Pas |
| 3. | Specific gravity at 25 °C | 1.1–1.2 |
| 4. | Solubility | 30 g/25 mL |
| 5. | Melting point | 88–92 °C |
| 6. | Pot life | 6 h–8 h at 20 °C 5 h–7 h at 30 °C 3 h–5 h at 40 °C |
| 7. | Tensile strength | 70–80 MPa |
| 8. | Elastic modulus in tension | 4.0–4.8 GPa |
| 9. | Glass transition temperature (DSC) | 150–160 °C |
| 10. | Co-efficient of linear thermal expansion | 45–55 × 10−6 K−1 |
| S. No | Type of Resin | Type of Nanoparticle | Weight Percentage of Nanoparticles |
|---|---|---|---|
| 1 | EPOXY | MWCNT | 0.10% |
| 2 | EPOXY | NS | 0.10% |
| 3 | EPOXY | NFe | 0.10% |
| 4 | EPOXY | MWCNT | 0.20% |
| 5 | EPOXY | NS | 0.20% |
| 6 | EPOXY | NFe | 0.20% |
| 7 | EPOXY | MWCNT | 0.50% |
| 8 | EPOXY | NS | 0.50% |
| 9 | EPOXY | NFe | 0.50% |
| 10 | EPOXY | MWCNT | 1.00% |
| 11 | EPOXY | NS | 1.00% |
| 12 | EPOXY | NFe | 1.00% |
| 13 | EPOXY | - | - |
| Material Properties | Nano-Silica | Nano-Iron Oxide | MWCNT |
|---|---|---|---|
| Size (nm) | 50 | 50 | 30–50 |
| Shape | Spherical | Spherical | Cylindrical |
| Purity | 99.9% | 99.9% | 99.8% |
| Color | White | Reddish | Black |
Publisher’s Note: MDPI stays neutral with regard to jurisdictional claims in published maps and institutional affiliations. |
© 2022 by the author. Licensee MDPI, Basel, Switzerland. This article is an open access article distributed under the terms and conditions of the Creative Commons Attribution (CC BY) license (https://creativecommons.org/licenses/by/4.0/).
Share and Cite
Rajhi, A.A. Mechanical Characterization of Hybrid Nano-Filled Glass/Epoxy Composites. Polymers 2022, 14, 4852. https://doi.org/10.3390/polym14224852
Rajhi AA. Mechanical Characterization of Hybrid Nano-Filled Glass/Epoxy Composites. Polymers. 2022; 14(22):4852. https://doi.org/10.3390/polym14224852
Chicago/Turabian StyleRajhi, Ali A. 2022. "Mechanical Characterization of Hybrid Nano-Filled Glass/Epoxy Composites" Polymers 14, no. 22: 4852. https://doi.org/10.3390/polym14224852
APA StyleRajhi, A. A. (2022). Mechanical Characterization of Hybrid Nano-Filled Glass/Epoxy Composites. Polymers, 14(22), 4852. https://doi.org/10.3390/polym14224852

