Application Research on the Lightweight Design and Optimization of Carbon Fiber Reinforced Polymers (CFRP) Floor for Automobile
Abstract
1. Introduction
2. Selection of Raw Materials for Composite Floor
2.1. Selection of Fiber Reinforcement Material
2.2. Selection of Composite Matrix
3. Basic Theory of Composite Mechanics
3.1. Constitutive Model of Composite Single-Layer Plate
3.2. Stiffness Analysis of Composite Laminates
3.3. Strength Analysis and Failure Criterion of Composite Laminates
4. Basic Performance Test of Composites
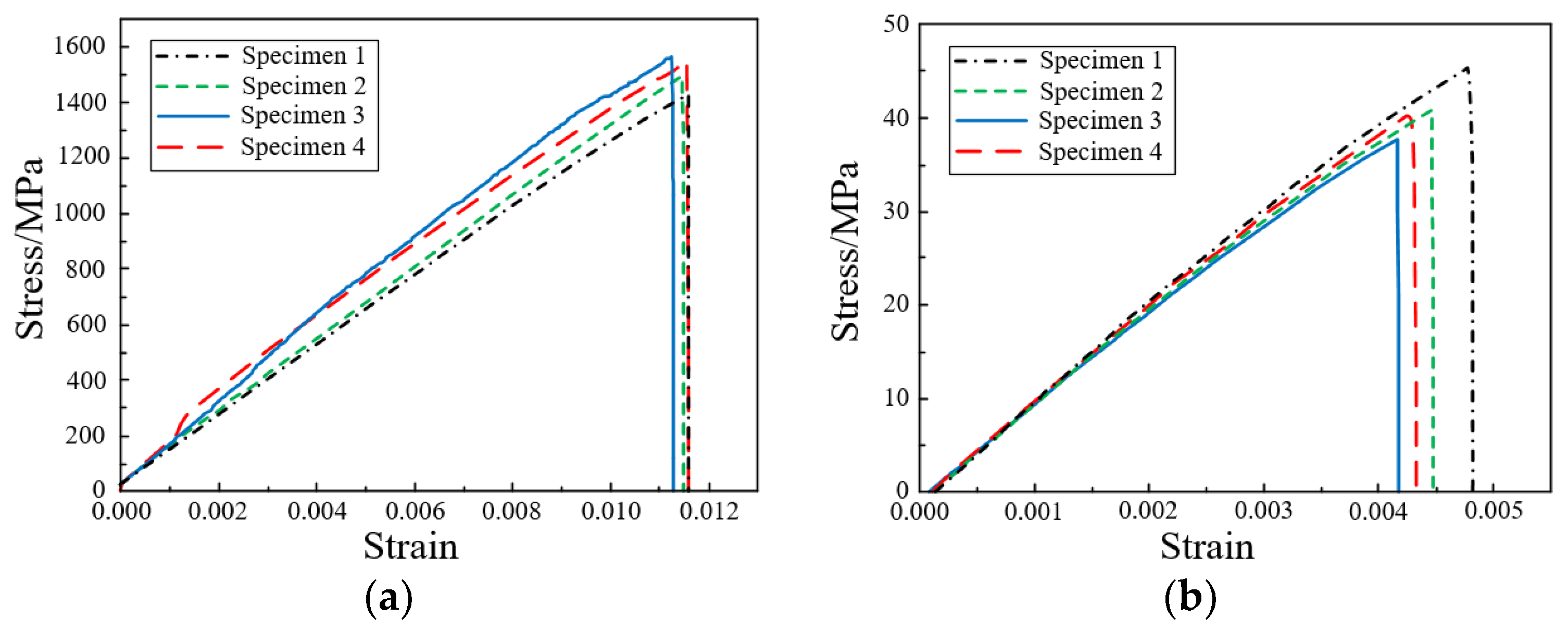
4.1. Uniaxial Tensile Tests at 0° and 90° Layer
4.2. Uniaxial Compression Tests at 0° and 90° Layer
4.3. In-Plane Shear Test at ±45° Layer
4.4. Performance Test Results of CFRP T300/5208
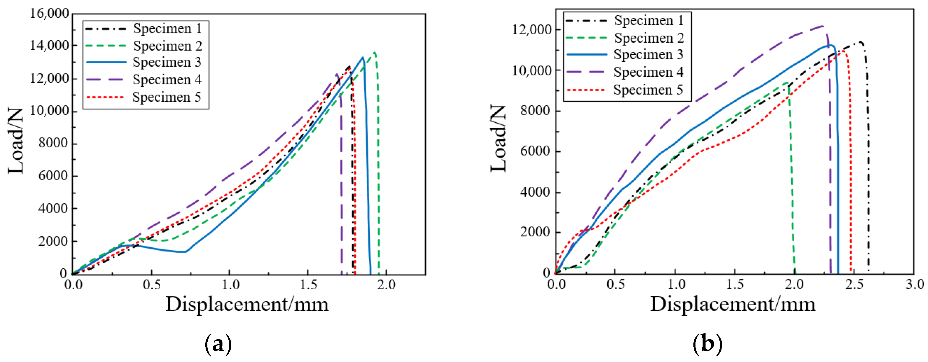
5. Bonding Material Selection and Mechanical Properties Test
6. Structure and Layer Design of CFRP Floor
6.1. Integrated Design of Floor Structure
6.2. Thickness and Block Shape Design of Layer of CFRP Floor
6.3. Optimizing the Number of Floor Layers
6.4. Structure Layer Modeling of CFRP Floor
7. Performance Verification of CFRP Floor
8. Conclusions
Author Contributions
Funding
Institutional Review Board Statement
Data Availability Statement
Conflicts of Interest
References
- Park, D.; Jin, S.; Lee, G.; Choi, D.-H. Material arrangement optimization for automotive BIW considering a large number of design variables. Trans. Korean Soc. Automot. Eng. 2013, 21, 15–23. [Google Scholar] [CrossRef][Green Version]
- Duan, L.B.; Liu, X.; Xu, W.; Xu, D.K.; Shi, L.; Jiang, H.B. Thickness-based subdomain hybrid cellular automata algorithm for lightweight design of BIW under side collision. Appl. Math. Model. 2022, 102, 170–193. [Google Scholar] [CrossRef]
- Wu, J.W.; Posen, I.D.; MacLean, H.L. Trade-offs between vehicle fuel economy and performance: Evidence from heterogeneous firms in China. Energy Policy 2021, 156, 112445. [Google Scholar] [CrossRef]
- Chandru, B.T.; Suresh, P.M. Numerical and Experimental Analysis of Passenger Car Floor. In Proceedings of the International Conferance on Advances in Science and Enginerring (ICASE), Bangkok, Thailand, 19–22 January 2017; pp. 22303–22311. [Google Scholar] [CrossRef]
- Ma, G.Y.; Huang, B.B. Optimization of process parameters of stamping forming of the automotive lower floor board. J. Appl. Math. 2014, 2014, 470320. [Google Scholar] [CrossRef]
- Lee, H.; Park, H. Study on structural design and manufacturing of sandwich composite floor for automotive structure. Materials 2021, 14, 1732. [Google Scholar] [CrossRef]
- Li, S.; Bai, J.T.; Wang, X.C.; Song, L.M.; Luo, K.; Zuo, W.J. Equivalent substitution criteria of aluminum for steel and its application in automobile structures. Adv. Mech. Eng. 2020, 12, 1687814020965049. [Google Scholar] [CrossRef]
- Joost, W.J.; Krajewski, P.E. Towards magnesium alloys for high-volume automotive applications. Scr. Mater. 2017, 128, 107–112. [Google Scholar] [CrossRef]
- Wang, T.T.; Dong, R.Y.; Zhang, S.; Qin, D.C. Research on Lightweight Design of Automobile Collision Safety Structure Based on Multiple Materials. In Proceedings of the 3rd International Conference on Applied Mathematics, Modeling and Simulation (AMMS), Shanghai, China, 20–21 September 2020. [Google Scholar] [CrossRef]
- Güler, T.; Demirci, E.; Yildiz, A.R.; Yavuz, U. Lightweight design of an automobile hinge component using glass fiber polyamide composites. Mater. Test. 2018, 60, 306–310. [Google Scholar] [CrossRef]
- Kim, K.-S.; Bae, K.-M.; Oh, S.-Y.; Seo, M.-K.; Kang, C.-G.; Park, S.-J. Trend of carbon fiber-reinforced composites for lightweight vehicles. Elastomers Compos. 2012, 47, 65–74. Available online: http://uci.kci.go.kr/resolution/result.do?res_cd=G704-000728.2012.47.1.006&res_svc_cd (accessed on 1 January 2012). [CrossRef]
- Hong, S. A study on carbon fiber reinforced plastic focusing on the automotive applications. Korean Soc. Sci. Art 2019, 37, 429–440. [Google Scholar] [CrossRef]
- Pu, Y.F.; Ma, F.W.; Zhang, J.Y.; Yang, M. Optimal lightweight material selection for automobile applications considering multi-perspective indices. IEEE Access 2018, 6, 8591–8598. [Google Scholar] [CrossRef]
- Ravishankar, B.; Nayak, S.K.; Kader, M.A. Hybrid composites for automotive applications—A review. J. Reinf. Plast. Compos. 2019, 38, 835–845. [Google Scholar] [CrossRef]
- Kim, Y.S.; Moon, K.H.; Chang, S.; Mok, J.K. Strength Analysis of Chassis Structure for Medium-Sized Low-Floor Vehicle Under Dynamic Load Cases. In Proceedings of the 9th International Conference on Fracture and Damage Mechanics, Nagasaki, Japan, 20–22 September 2010; pp. 709–712. [Google Scholar] [CrossRef]
- Dagdeviren, S.; Yavuz, M.; Kocabas, M.O.; Unsal, E.; Esat, V. Structural crashworthiness analysis of a ladder frame chassis subjected to full frontal and pole side impacts. Int. J. Crashworthiness 2016, 21, 477–493. [Google Scholar] [CrossRef]
- Liu, Y.; Sanchez, A.; Zogg, M.; Ermanni, P. A Comparative Experimental Study on Structural and Interface Damping Approaches for Vibration Suppression Purposes. In Proceedings of the Conference on Active and Passive Smart Structures and Integrated Systems, San Diego, CA, USA, 8–11 March 2010. [Google Scholar] [CrossRef]
- Sani, M.S.M.; Rahman, M.M.; Noor, M.M.; Kadirgama, K.; Izham, M.H.N. Identification of Dynamics Modal Parameter for Car Chassis. In Proceedings of the Conference on Advanced Materials and Nanotechnology (CAMAN), Kuala Lumpur, Malaysia, 3–5 November 2009. [Google Scholar] [CrossRef]
- Chandru, B.T.; Shankar, E.S.R.; Maruthi, B.H.; Suresh, P.M. Experimental and FE Analysis of Floor Pan of a Car without and with Incorporating Viscoelastic Damping. In Proceedings of the 1st International Conference on Sustainable Engineering and Technology (IconSet), Bengaluru, India, 19–20 April 2018. [Google Scholar] [CrossRef]
- Yoon, B.G.; Yang, H.M.; Kim, G.Y. A study on improving the performance of special ambulances. Korean J. Emerg. Med. Serv. 2022, 26, 87–99. [Google Scholar] [CrossRef]
- Liu, Y.S.; Guan, M.J. Selected physical, mechanical, and insulation properties of carbon fiber fabric-reinforced composite plywood for carriage floors. Eur. J. Wood Wood Prod. 2019, 77, 995–1007. [Google Scholar] [CrossRef]
- Sukmaji, I.C.; Wijang, W.R.; Andri, S.; Bambang, K.; Teguh, T. Application of Sandwich Honeycomb Carbon/Glass Fiber-Honeycomb Composite in The Floor Component of Electric Car. In Proceedings of the International Conference on Engineering, Science and Nanotechnology (ICESNANO), Solo, Indonesia, 3–5 August 2016. [Google Scholar] [CrossRef]
- Carrera, M.; Cuartero, J.; Miravete, A.; Jergeus, J.; Fredin, K. Crash behaviour of a carbon fibre floor panel. Int. J. Veh. Des. 2007, 44, 268–281. [Google Scholar] [CrossRef]
- Tang, J.; Zhou, Z.P.; Chen, H.; Wang, S.Y.; Gutierrez, A.; Zhang, C.; Deng, J.K. Laminate design, optimization, and testing of an innovative carbon fiber-reinforced composite sandwich panel for high-speed train. Polym. Compos. 2021, 42, 5811–5829. [Google Scholar] [CrossRef]
- Ji, J.Y.; Liu, T.T.; Fu, C.; Li, Z.; Gan, X.H. Numerical Simulation of The Carbon Fiber Composite Material Front Floor of Car by PAM-RTM. In Proceedings of the 2015 International Power, Electronics and Materials Engineering Conference, Dalian, China, 16–17 May 2015; pp. 804–809. [Google Scholar] [CrossRef]
- Xu, Y.J.; Zhu, J.H.; Wu, Z.; Cao, Y.F.; Zhao, Y.B.; Zhang, W.H. A review on the design of laminated composite structures: Constant and variable stiffness design and topology optimization. Adv. Compos. Hybrid Mater. 2018, 1, 460–477. [Google Scholar] [CrossRef]
- Lee, K.S.; Yang, I.Y. The static collapse characteristics of CFRP side members due to stacking condition. Key Eng. Mater. 2006, 326, 1055–1058. [Google Scholar] [CrossRef]
- Hwang, W.C.; Cha, C.S.; Yang, I.Y. Optimal crashworthiness design of CFRP hat shaped section member under axial impact. Mater. Res. Innov. 2011, 15, s324–s327. [Google Scholar] [CrossRef]
- Liu, Q.M.; Paavola, J. Lightweight design of composite laminated structures with frequency constraint. Compos. Struct. 2016, 156, 356–360. [Google Scholar] [CrossRef]
- Liu, Q.M. Analytical sensitivity analysis of eigenvalues and lightweight design of composite laminated beams. Compos. Struct. 2015, 134, 918–926. [Google Scholar] [CrossRef]
- Yoon, D.; Kim, S.; Kim, J.; Doh, Y. Study on bearing strength and failure mode of a carbon-epoxy composite laminate for designing bolted joint structures. Compos. Struct. 2020, 239, 112023. [Google Scholar] [CrossRef]
- Fu, Y.; Wang, S.; Yao, X. Compressive damage and heat release of composite laminate with circular prefabricated defect, part II-numerical method. Compos. Struct. 2022, 285, 115185. [Google Scholar] [CrossRef]
- Jin, F.-L.; Lee, S.-Y.; Park, S.-J. Polymer matrices for carbon fiber-reinforced polymer composites. Carbon Lett. 2013, 14, 76–88. [Google Scholar] [CrossRef]
- Stelea, L.; Filip, I.; Lisa, G.; Ichim, M.; Drobotă, M.; Sava, C.; Mureșan, A. Characterisation of hemp fibres reinforced composites using thermoplastic polymers as matrices. Polymers 2022, 14, 481. [Google Scholar] [CrossRef]
- Ma, W.; Lu, D.H.; Tang, L.; Gong, W.H.; Yan, Q.H. Effect of matrix hardness on the impact abrasive wear performance of ZTAp/steel architecture composite. Mater. Res. Express 2021, 8, 026507. [Google Scholar] [CrossRef]
- Singh, H.; Brar, G.S.; Kumar, H.; Aggarwal, V. A Review on Metal Matrix Composite for Automobile Applications. In Proceedings of the 1st International Conference on Energy, Materials Sciences and Mechanical Engineering (EMSME), Delhi, India, 31 October–1 November 2020; pp. 320–325. [Google Scholar] [CrossRef]
- Wang, Y.R.; Liu, W.S.; Qiu, Y.P.; Wei, Y. A one-component, fast-cure, and economical epoxy resin system suitable for liquid molding of automotive composite parts. Materials 2018, 11, 685. [Google Scholar] [CrossRef]
- Kumar, S.A.; Lakshamankumar, A.; Balasivaramareddy, K.; Ramprasath, B. Fabrication and study on carbon fiber with epoxy and vinyl ester resins. In Proceedings of the 2nd International Conference on Advances in Mechanical Engineering (ICAME), Kattankulathur, India, 22–24 March 2018. [Google Scholar] [CrossRef]
- Durgun, I. A comparative study on the mechanical properties of carbon and glass fibre-reinforced epoxy, polyester and vinyl ester-based composites. Int. J. Veh. Des. 2016, 71, 358–363. [Google Scholar] [CrossRef]
- Fouda, H.; Guo, L.; Elsharkawy, K. Preparation and Characterizations of Composite Material Based on Carbon Fiber and Two Thermoset Resins. In Proceedings of the International Conference on Biomaterials, Nanomaterials and Composite Materials (CBNCM), Chengdu, China, 4–6 November 2016. [Google Scholar] [CrossRef]
- Nikbakt, S.; Kamarian, S.; Shakeri, M. A review on optimization of composite structures Part I: Laminated composites. Compos. Struct. 2018, 195, 158–185. [Google Scholar] [CrossRef]
- Baran, I.; Cinar, K.; Ersoy, N.; Akkerman, R.; Hattel, J.H. A review on the mechanical modeling of composite manufacturing processes. Arch. Comput. Method Eng. 2017, 24, 365–395. [Google Scholar] [CrossRef]
- Cumbo, R.; Baroni, A.; Ricciardi, A.; Corvaglia, S. Design allowables of composite laminates: A review. J. Compos. Mater. 2022, 56, 3617–3634. [Google Scholar] [CrossRef]
- Liu, H.; Qu, Y.; Xie, F.; Meng, G. Vortex-induced vibration of large deformable underwater composite beams based on a nonlinear higher-order shear deformation zig-zag theory. Ocean Eng. 2022, 250, 111000. [Google Scholar] [CrossRef]
- Hu, H.-T.; Lin, W.-P.; Tu, F.-T. Failure analysis of fiber-reinforced composite laminates subjected to biaxial loads. Compos. B Eng. 2015, 83, 153–165. [Google Scholar] [CrossRef]
- Li, C.; Granger, C.; Del Schutte, H., Jr.; Biggers, S.B., Jr.; Kennedy, J.M.; Latour, R.A., Jr. Failure analysis of composite femoral components for hip arthroplasty. J. Rehabil. Res. Dev. 2003, 40, 131–145. [Google Scholar] [CrossRef]
- Hashin, Z.; Rotem, A. A fatigue failure criterion for fiber reinforced materials. J. Compos. Mater. 1973, 7, 448–464. [Google Scholar] [CrossRef]
- Tsai, S.W.; Wu, E.M. A general theory of strength for anisotropic materials. J. Compos. Mater. 1971, 5, 58–80. [Google Scholar] [CrossRef]
- Zhao, L.N. Research on Engineering Calculation Method of Composite Beam Structure. Master’s Thesis, Degree-Shenyang Aerospace University, Shenyang, China, 2015. Available online: https://kns.cnki.net/KCMS/detail/detail.aspx?dbname=CMFD201501&filename=1015561927.nh (accessed on 1 January 2012).
- ASTM D3039/D3039M-00; Standard Test Method for Tensile Properties of Polymer Matrix Composite Materials. American Society for Testing and Materials: West Conshohocken, PA, USA, 2000.
- ASTM D3410/D3410M-03; Standard Test Method for Compressive Properties of Polymer Matrix Composite Materials with Unsupported Gage Section by Shear Loading. American Society for Testing and Materials: West Conshohocken, PA, USA, 2008.
- ASTM D3518/D3518M-94; Standard Test Method for In-Plane Shear Response of Polymer Matrix Composite Materials by Tensile Test of a ±45° Laminate. American Society for Testing and Materials: West Conshohocken, PA, USA, 2001.
- GB/T 6329-1996; Adhesives: Determination of Tensile Strength of Butt Joints. National Technical Supervision Agency: Beijing, China, 1996.
- GB/T 7124-2208; Adhesives: Determination of Tensile Lap-Shear Strength of Rigid-to-Rigid Bonded Assemblies. China Petroleum and Chemical Industry Association: Beijing, China, 2008.
























| Number | Material Parameters | Carbon Fiber T300 | E-Glass Fiber | Kevlar 49 Fiber |
|---|---|---|---|---|
| 1 | Density [103 kg/m3] | 1.76 | 2.54 | 1.45 |
| 2 | Tensile strength [GPa] | 3.53 | 1.6 | 2.9 |
| 3 | Specific strength [105 m] | 2.0 | 0.63 | 2.0 |
| 4 | Tensile modulus [GPa] | 230 | 70 | 120 |
| 5 | Specific modulus [107 m] | 1.3 | 0.27 | 0.83 |
| 6 | Elongation at break [%] | 1.5 | 3.0 | 1.9 |
| Number | Material Parameters | Epoxy Resin | Cyanate Ester Resin | Bismaleimide Resin |
|---|---|---|---|---|
| 1 | Bending strength [GPa] | 0.0965 | 0.1619 | 0.0751 |
| 2 | Bending modulus [GPa] | 3.75 | 2.89 | 3.45 |
| 3 | Bending strain [%] | 2.5 | 8.0 | 2.2 |
| 4 | Impact strength [J/m2] | 21.3 | 48 | 16 |
| 5 | Tensile strength [GPa] | 0.0637 | 0.0868 | 0.090 |
| 6 | Tensile modulus [GPa] | 2.9 | 2.89 | 4.3 |
| 7 | Elongation at break [%] | 2.0 | 3.8 | 2.9 |
| Number | Material Parameters | Value | Number | Material Parameters | Value |
|---|---|---|---|---|---|
| 1 | Xt [GPa] | 1.496 | 8 | S [GPa] | 0.067 |
| 2 | Xc [GPa] | 0.956 | 9 | G12 [GPa] | 6.4 |
| 3 | Yt [GPa] | 0.040 | 10 | G23 [GPa] | 3.8 |
| 4 | Yc [GPa] | 0.249 | 11 | G13 [GPa] | 6.4 |
| 5 | E1 [GPa] | 127.6 | 12 | µ12 | 0.28 |
| 6 | E2 [GPa] | 13 | 13 | µ23 | 0.3 |
| 7 | E3 [GPa] | 10.3 | 14 | µ13 | 0.28 |
| Material Parameters | Tensile Strength | Tensile Modulus | Shear Strength | Shear Modulus |
|---|---|---|---|---|
| Value | 20.5 MPa | 1850 MPa | 17.8 MPa | 502 MPa |
| Project | Simulation Value | Test Value | Relative Error |
|---|---|---|---|
| Bending stiffness | 12,412.13 N/mm | 11,717.12 N/mm | +5.96% |
| Torsional stiffness | 18,643.31 Nm/deg | 17,251.95 Nm/deg | +8.06% |
| First-order bending frequency | 52.61 Hz | 51.69 Hz | +1.78% |
| First-order torsional frequency | 35.62 Hz | 32.53 Hz | +9.50% |
| Module | Number | Thickness [mm] | Number of Layers | Number | Thickness [mm] | Number of Layers |
|---|---|---|---|---|---|---|
| Front floor module | 1011 | 0.118 | 0.94 | 1031 | 0.208 | 1.66 |
| 1012 | 0.063 | 0.50 | 1032 | 0.113 | 0.90 | |
| 1013 | 0.084 | 0.67 | 1033 | 0.083 | 0.66 | |
| 1014 | 0.151 | 1.21 | 1034 | 0.147 | 1.18 | |
| 1021 | 0.208 | 1.66 | 1041 | 0.096 | 0.77 | |
| 1022 | 0.113 | 0.90 | 1042 | 0.054 | 0.43 | |
| 1023 | 0.083 | 0.66 | 1043 | 0.074 | 0.59 | |
| 1024 | 0.147 | 1.18 | 1044 | 0.062 | 0.49 | |
| Middle floor module | 2011 | 0.102 | 0.81 | 2031 | 0.091 | 0.72 |
| 2012 | 0.080 | 0.64 | 2032 | 0.059 | 0.47 | |
| 2013 | 0.163 | 1.30 | 2033 | 0.14 | 1.12 | |
| 2014 | 0.207 | 1.65 | 2034 | 0.071 | 0.56 | |
| 2021 | 0.091 | 0.72 | 2041 | 0.197 | 1.57 | |
| 2022 | 0.059 | 0.47 | 2042 | 0.130 | 1.04 | |
| 2023 | 0.140 | 1.12 | 2043 | 0.094 | 0.75 | |
| 2024 | 0.071 | 0.56 | 2044 | 0.080 | 0.64 | |
| Rear floor module | 3011 | 0.104 | 0.83 | 3031 | 0.209 | 1.67 |
| 3012 | 0.068 | 0.54 | 3032 | 0.110 | 0.88 | |
| 3013 | 0.087 | 0.69 | 3033 | 0.067 | 0.53 | |
| 3014 | 0.093 | 0.74 | 3034 | 0.046 | 0.37 | |
| 3021 | 0.209 | 1.67 | 3041 | 0.096 | 0.77 | |
| 3022 | 0.110 | 0.88 | 3042 | 0.130 | 1.04 | |
| 3023 | 0.067 | 0.53 | 3043 | 0.091 | 0.72 | |
| 3024 | 0.046 | 0.37 | 3044 | 0.064 | 0.51 |
Publisher’s Note: MDPI stays neutral with regard to jurisdictional claims in published maps and institutional affiliations. |
© 2022 by the authors. Licensee MDPI, Basel, Switzerland. This article is an open access article distributed under the terms and conditions of the Creative Commons Attribution (CC BY) license (https://creativecommons.org/licenses/by/4.0/).
Share and Cite
Zhang, S.; Song, H.; Xu, L.; Cai, K. Application Research on the Lightweight Design and Optimization of Carbon Fiber Reinforced Polymers (CFRP) Floor for Automobile. Polymers 2022, 14, 4768. https://doi.org/10.3390/polym14214768
Zhang S, Song H, Xu L, Cai K. Application Research on the Lightweight Design and Optimization of Carbon Fiber Reinforced Polymers (CFRP) Floor for Automobile. Polymers. 2022; 14(21):4768. https://doi.org/10.3390/polym14214768
Chicago/Turabian StyleZhang, Shuai, Hao Song, Liyou Xu, and Kefang Cai. 2022. "Application Research on the Lightweight Design and Optimization of Carbon Fiber Reinforced Polymers (CFRP) Floor for Automobile" Polymers 14, no. 21: 4768. https://doi.org/10.3390/polym14214768
APA StyleZhang, S., Song, H., Xu, L., & Cai, K. (2022). Application Research on the Lightweight Design and Optimization of Carbon Fiber Reinforced Polymers (CFRP) Floor for Automobile. Polymers, 14(21), 4768. https://doi.org/10.3390/polym14214768

