Probing the Stoichiometry Dependence of Enzyme-Catalyzed Junction Zone Network Formation in Aiyu Pectin Gel via a Reaction Kinetics Model
Abstract
1. Introduction
2. Materials and Methods
3. Results and Discussion
3.1. Model
3.1.1. The Construction of a Reaction Kinetics Model
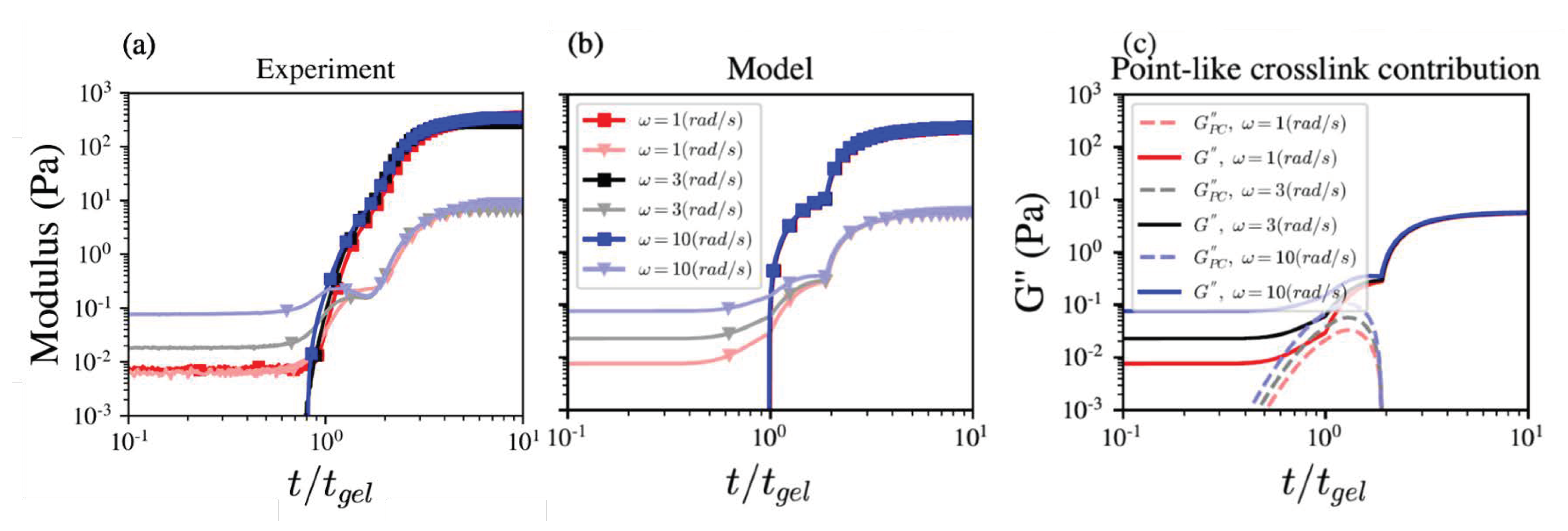
3.1.2. The Viscoelastic Response of Different Crosslink Types
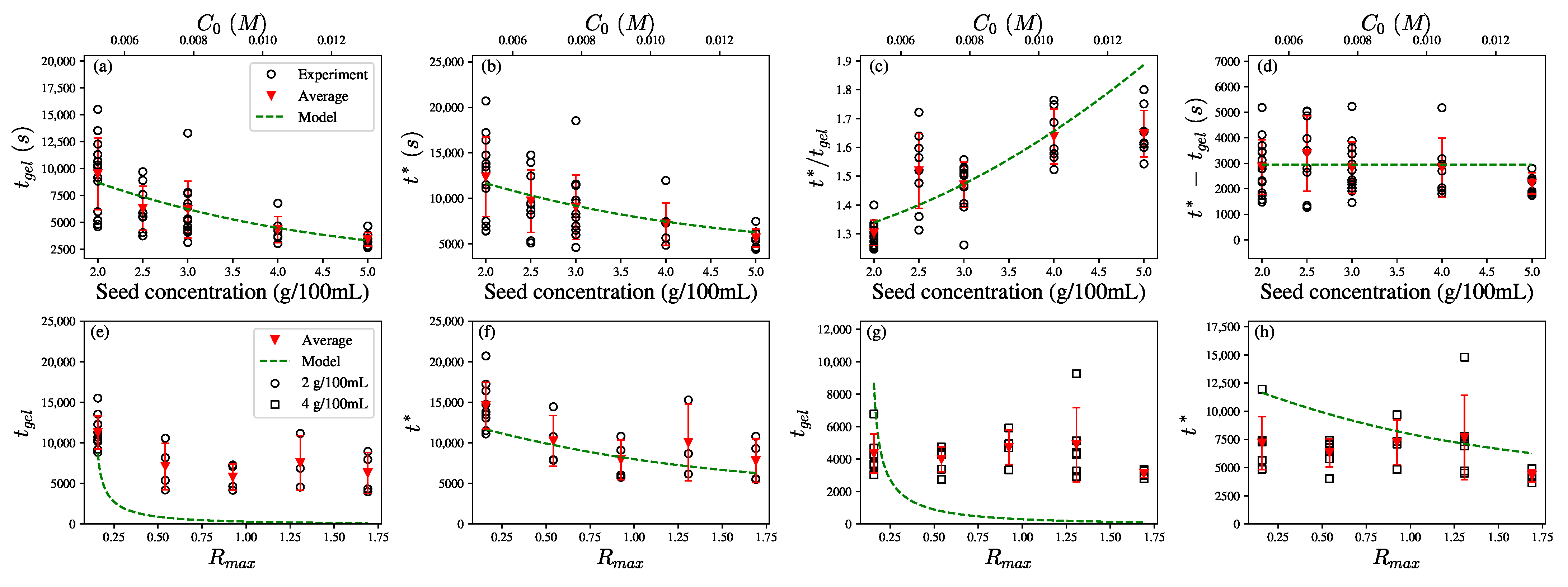
3.2. Stoichiometric Dependence of the Gelation Point and the Inflection Point
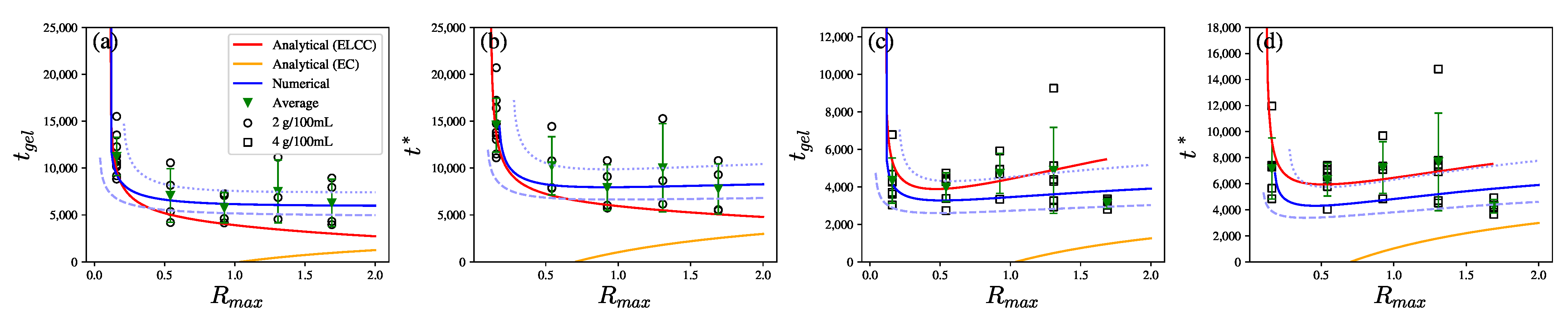
3.2.1. Dimension Analysis of the Characteristic Times at Low Rmax
3.2.2. The Evolution of the Critical Binding Ratios and with the Calcium-to-Galacturonic Acid (GA) Ratio
3.2.3. The Generalization of the Characteristic Time Dimensional Analysis for a Wide Range of
4. Conclusions
Author Contributions
Funding
Institutional Review Board Statement
Data Availability Statement
Acknowledgments
Conflicts of Interest
Abbreviations
| PGA | polygalacturonic acid |
| DM | degree of methylation |
| sJZ | short junction zone |
| JZ | junction zone |
| DI water | deionized water |
| GA | galacturonic acid |
| rkODE | reaction kinetics ordinary differential equation |
| PC | point-like crosslink |
| PL | polymeric liquid |
| EC | enzyme-controlled |
| ELCC | enzyme-limited calcium binding controlled |
| CC | calcium binding controlled |
References
- Huang, Y. A study on the mechanism of gelatinization of awkeo-jelly. J. Taiwan Soc. Hortic. Sci. 1980, 23, 117–126. [Google Scholar]
- Oda, Y.; Tanaka, R. Studies on the Polyuronide of Oh-gyo-tye (The Achine of Ficus awkeotsang MAKINO) Part I. On the Chemical Structure of the Polyuronide. Agric. Biol. Chem. 1966, 30, 406–415. [Google Scholar]
- Suzuno, H.; Uchibori, Y.; Sawayama, S.; Kawabata, A. Rheological Properties of Aqueous Polysaccharide Sols and Gels Prepared from Jelly Figure. J. Home Econ. Jpn. 1991, 42, 1043–1050. [Google Scholar]
- Suzuno, H.; Shen, F.; Sawayama, S.; Kawabata, A. Weakness of aqueous polysaccharide gels prepared from jelly Figure. J. Home Econ. Jpn. 1994, 45, 1089–1094. [Google Scholar]
- Suzuno, H.; Kinugasa, S.; Nakahara, H.; Kawabata, A. Molecular characteristics of water-soluble polysaccharide extracted from jelly fig (Ficus awkeotsang Makino) seeds. Biosci. Biotechnol. Biochem. 1997, 61, 1491–1494. [Google Scholar] [CrossRef]
- Chan, S.Y.; Choo, W.S.; Young, D.J.; Loh, X.J. Pectin as a rheology modifier: Origin, structure, commercial production and rheology. Carbohydr. Polym. 2017, 161, 118–139. [Google Scholar] [CrossRef]
- Durand, D.; Bertrand, C.; Clark, A.; Lips, A. Calcium-induced gelation of low methoxy pectin solutions—Thermodynamic and rheological considerations. Int. J. Biol. Macromol. 1990, 12, 14–18. [Google Scholar] [CrossRef]
- Jiang, C.M.; Lai, Y.J.; Lee, B.H.; Chang, W.H.; Chang, H.M. De-esterification and transacylation reactions of pectinesterase from jelly fig (Ficus awkeotsang Makino) achenes. J. Food Sci. 2001, 66, 810–815. [Google Scholar] [CrossRef]
- Ngouémazong, D.E.; Tengweh, F.F.; Fraeye, I.; Duvetter, T.; Cardinaels, R.; Van Loey, A.; Moldenaers, P.; Hendrickx, M. Effect of de-methylesterification on network development and nature of Ca2+-pectin gels: Towards understanding structure–function relations of pectin. Food Hydrocoll. 2012, 26, 89–98. [Google Scholar] [CrossRef]
- Garnier, C.; Axelos, M.A.; Thibault, J.F. Phase diagrams of pectin-calcium systems: Influence of pH, ionic strength, and temperature on the gelation of pectins with different degrees of methylation. Carbohydr. Res. 1993, 240, 219–232. [Google Scholar] [CrossRef]
- Grant, G.T. Biological interactions between polysaccharides and divalent cations: The egg-box model. FEBS Lett. 1973, 32, 195–198. [Google Scholar] [CrossRef]
- Ventura, I.; Jammal, J.; Bianco-Peled, H. Insights into the nanostructure of low-methoxyl pectin–calcium gels. Carbohydr. Polym. 2013, 97, 650–658. [Google Scholar] [CrossRef] [PubMed]
- Luzio, G.A.; Cameron, R.G. Demethylation of a model homogalacturonan with the salt-independent pectin methylesterase from citrus: Part II. Structure–function analysis. Carbohydr. Polym. 2008, 71, 300–309. [Google Scholar] [CrossRef]
- Braccini, I.; Pérez, S. Molecular basis of Ca2+-induced gelation in alginates and pectins: The egg-box model revisited. Biomacromolecules 2001, 2, 1089–1096. [Google Scholar] [CrossRef]
- Wang, F.W.; Geri, M.; Chen, Y.J.; Huang, J.R.; McKinley, G.H.; Chen, Y.L. Rheo-chemistry of gelation in aiyu (fig) jelly. Food Hydrocoll. 2022, 123, 107001. [Google Scholar] [CrossRef]
- Ngouémazong, D.E.; Jolie, R.P.; Cardinaels, R.; Fraeye, I.; Van Loey, A.; Moldenaers, P.; Hendrickx, M. Stiffness of Ca2+-pectin gels: Combined effects of degree and pattern of methylesterification for various Ca2+ concentrations. Carbohydr. Res. 2012, 348, 69–76. [Google Scholar] [CrossRef]
- Treloar, L.G. The Physics of Rubber Elasticity; Oxford University Press: Oxford, UK, 1975. [Google Scholar]
- Hermans, J., Jr. Investigation of the elastic properties of the particle network in gelled solutions of hydrocolloids. I. Carboxymethyl cellulose. J. Polym. Sci. Part Gen. Pap. 1965, 3, 1859–1868. [Google Scholar] [CrossRef]
- Rubinstein, M.; Colby, R.H. Polymer Physics; Oxford University Press: New York, NY, USA, 2003; Volume 23. [Google Scholar]
- Tanaka, F.; Edwards, S. Viscoelastic properties of physically crosslinked networks. 1. Transient network theory. Macromolecules 1992, 25, 1516–1523. [Google Scholar] [CrossRef]
- Winter, H.H.; Chambon, F. Analysis of linear viscoelasticity of a crosslinking polymer at the gel point. J. Rheol. 1986, 30, 367–382. [Google Scholar] [CrossRef]
- Jóźwiak, B.; Orczykowska, M.; Dziubiński, M. Fractional generalizations of maxwell and Kelvin-Voigt models for biopolymer characterization. PLoS ONE 2015, 10, e0143090. [Google Scholar] [CrossRef]
- Panayotoukanos, D.; Panayotounakou, N.; Vakakis, A. On the solution of the unforced damped Duffing oscillator with no linear stiffness term. Nonlinear Dyn. 2002, 28, 1–16. [Google Scholar] [CrossRef]
- Volodkin, D.; von Klitzing, R. Competing mechanisms in polyelectrolyte multilayer formation and swelling: Polycation–polyanion pairing vs. polyelectrolyte–ion pairing. Curr. Opin. Colloid Interface Sci. 2014, 19, 25–31. [Google Scholar] [CrossRef]
- Schlenoff, J.B. Site-specific perspective on interactions in polyelectrolyte complexes: Toward quantitative understanding. J. Chem. Phys. 2018, 149, 163314. [Google Scholar] [CrossRef] [PubMed]
- Wang, Q.; Schlenoff, J.B. The polyelectrolyte complex/coacervate continuum. Macromolecules 2014, 47, 3108–3116. [Google Scholar] [CrossRef]






| S [-] | [-] | [-] | [-] | [-] | [-] | [rad/s] | [-] |
|---|---|---|---|---|---|---|---|
| 300 | 5.33 | 1 | 19 | 62 | 0.00085 | 0.0014 | 0.128 |
| D [-] | [Ms] | [s] | [-] | [-] | [-] | [s] |
|---|---|---|---|---|---|---|
| 50 |
Publisher’s Note: MDPI stays neutral with regard to jurisdictional claims in published maps and institutional affiliations. |
© 2022 by the authors. Licensee MDPI, Basel, Switzerland. This article is an open access article distributed under the terms and conditions of the Creative Commons Attribution (CC BY) license (https://creativecommons.org/licenses/by/4.0/).
Share and Cite
Wang, F.-W.; Chen, Y.-J.; Huang, J.-R.; Chen, Y.-L. Probing the Stoichiometry Dependence of Enzyme-Catalyzed Junction Zone Network Formation in Aiyu Pectin Gel via a Reaction Kinetics Model. Polymers 2022, 14, 4631. https://doi.org/10.3390/polym14214631
Wang F-W, Chen Y-J, Huang J-R, Chen Y-L. Probing the Stoichiometry Dependence of Enzyme-Catalyzed Junction Zone Network Formation in Aiyu Pectin Gel via a Reaction Kinetics Model. Polymers. 2022; 14(21):4631. https://doi.org/10.3390/polym14214631
Chicago/Turabian StyleWang, Fan-Wei, Yun-Ju Chen, Jung-Ren Huang, and Yeng-Long Chen. 2022. "Probing the Stoichiometry Dependence of Enzyme-Catalyzed Junction Zone Network Formation in Aiyu Pectin Gel via a Reaction Kinetics Model" Polymers 14, no. 21: 4631. https://doi.org/10.3390/polym14214631
APA StyleWang, F.-W., Chen, Y.-J., Huang, J.-R., & Chen, Y.-L. (2022). Probing the Stoichiometry Dependence of Enzyme-Catalyzed Junction Zone Network Formation in Aiyu Pectin Gel via a Reaction Kinetics Model. Polymers, 14(21), 4631. https://doi.org/10.3390/polym14214631

