Research on the Impact Initiation Behavior of PTFE/Al/Ni2O3 Reactive Materials
Abstract
:1. Introduction
2. Materials and Methods
3. Results
3.1. The Characteristics of the Materials
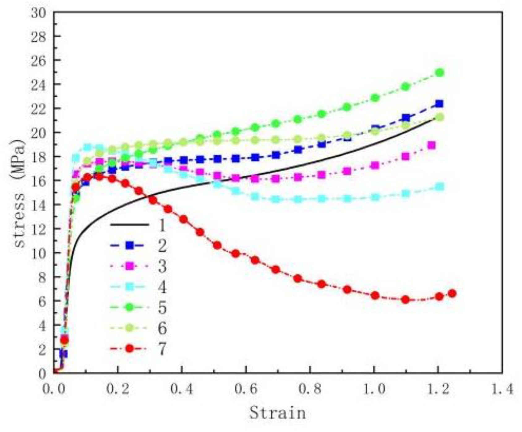
3.2. Quasi-Static Compressive Mechanical Properties
3.3. Dynamic Impact Reaction Performance
4. Conclusions
- The addition of oxides can improve the mechanical properties of PTFE/Al reactive materials to a certain extent, but the addition of different oxides (CuO and Ni2O3) results in little difference in the mechanical properties. With the increase in Ni2O3 content, the continuity of the matrix would be destroyed, the strength of the reactive material would be reduced, and the material would soon fail after the elastic stage.
- During the dynamic impact test, seven groups of reactive materials with different ratios can have an impact explosion reaction. When the content of Al/Ni2O3 added to PTFE/Al was 30%, the reaction was the most intense, and the reaction duration was 21% higher than when adding the same content of Al/CuO. Through XRD characterization, it was found that the PTFE/Al/Ni2O3 reactive material produced NiO in two ways during the reaction process. Further, when the content of Al/Ni2O3 was less than 20 wt.%, the thermite reaction was more difficult to achieve, resulting in a shorter reaction time and lower intensity.
Author Contributions
Funding
Institutional Review Board Statement
Informed Consent Statement
Data Availability Statement
Conflicts of Interest
References
- Wang, H.; Guo, H.; Geng, B.; Yu, Q.; Zheng, Y. Application of PTFE/Al Reactive Materials for Double-Layered Liner Shaped Charge. Materials 2019, 12, 2768. [Google Scholar] [CrossRef] [PubMed] [Green Version]
- Ge, C.; Dong, Y.; Maimaitituersun, W. Microscale Simulation on Mechanical Properties of Al/PTFE Composite Based on Real Microstructures. Materials 2016, 9, 590. [Google Scholar] [CrossRef] [PubMed] [Green Version]
- Jiang, X.; Wang, J.; Shen, J.; Li, R.; Yang, G.; Huang, H. Preparation and mechanical properties of PTFE/Al reactive multilayer films. Chin. J. Energetic Mater. 2014, 22, 365–370. [Google Scholar]
- Feng, B.; Fang, X.; Li, Y.-C.; Wu, S.-Z.; Mao, Y.-M.; Wang, H.-X. Reactions of Al-PTFE under Impact and Quasi-Static Compression. Adv. Mater. Sci. Eng. 2015, 2015, 582320. [Google Scholar] [CrossRef] [Green Version]
- Li, W.; Ren, H.L.; Ning, J.; Liu, Y. Dynamic Mechanical Behavior and Impact Ignition Characteristics of Al/PTFE Reactive Materials. Chin. J. Energetic Mater. 2020, 28, 38–45. [Google Scholar]
- Wang, H.X.; Fang, X.; Li, Y.C.; Wu, J.X. Effect of Environmental Temperature on the Mechanical Properties and Reaction Characteristics of Al-PTFE Under Quasi-static Compression. Chin. J. Energetic Mater. 2018, 26, 590–595. [Google Scholar]
- Zhang, Y.; Yan, Y.; Wang, Y.; Ai, M.; Jiang, H.; Wang, L.; Zhao, X.; Zhang, W.; Li, Y. Enhanced Energetic Performances Based on Integration with the Al/PTFE Nanolaminates. Nanoscale Res. Lett. 2018, 13, 206. [Google Scholar] [CrossRef] [Green Version]
- Yang, S.Q.; Xu, S.L.; Zhang, T. Preparation and Performance of PTEF/Al Reactive Materials. J. Natl. Def. Univ. Sci. Technol. 2008, 30, 39–42, 62. [Google Scholar]
- Zhang, S.; Liu, J.; Yang, M.; Wang, L.; Lan, J.; Li, S.; He, C.; Xue, X. Effects of multi-component co-addition on reaction characteristics and impact damage properties of reactive material. Mater. Des. 2018, 153, 1–8. [Google Scholar] [CrossRef]
- Mock, W., Jr.; Holt, W.H. Impact initiation of rods of pressed polytetrafluoroethylene (PTFE) and aluminum powders. In Proceedings of the Conference of the American-Physical-Society-Topical-Group-on-Shock-Compression-of-Condensed-Matter, Baltimore, MD, USA, 31 July–5 August 2005; pp. 1097–1100. [Google Scholar]
- Joshi, V.S. Process for Making Polytetrafluoroethylene-aluminum Composite and Product Made, US. Available online: https://www.freepatentsonline.com/6547993.html (accessed on 6 October 2022).
- Cai, J.; Walley, S.; Hunt, R.; Proud, W.; Nesterenko, V.; Meyers, M. High-strain, high-strain-rate flow and failure in PTFE/Al/W granular composites. Mater. Sci. Eng. A 2008, 472, 308–315. [Google Scholar] [CrossRef]
- Cai, J.; Nesterenko, V.F.; Vecchio, K.S.; Jiang, F.; Herbold, E.; Benson, D.J.; Addiss, J.W.; Walley, S.M.; Proud, W.G. The influence of metallic particle size on the mechanical properties of polytetraflouroethylene-Al-W powder composites. Appl. Phys. Lett. 2008, 92, 031903. [Google Scholar] [CrossRef]
- Amjadi, M.; Fatemi, A. Tensile Behavior of High-Density Polyethylene Including the Effects of Processing Technique, Thickness, Temperature, and Strain Rate. Polymers 2020, 12, 1857. [Google Scholar] [CrossRef] [PubMed]
- Zhou, J.X.; Ding, L.L.; Ran, X.W.; Tang, W.H. Performance analysis of PTFE/Al/CuO impact-initiated energetic materials. China Meas. Test 2018, 44, 5. [Google Scholar] [CrossRef]
- Ran, X.; Ding, L.; Zhou, J.; Tang, W. Research on the Energy Release Characteristics of Six Kinds of Reactive Materials. Materials 2019, 12, 3940. [Google Scholar] [CrossRef]
- Tao, J.; Wang, X.; Wang, J.; Zhang, K.; Wang, H. Reactivity and reaction mechanism of Al-PTFE mechanically activated energetic composites. FirePhysChem 2021, 1, 123–128. [Google Scholar] [CrossRef]
- Fischer, S.; Grubelich, M. A survey of combustible metals, thermites, and intermetallics for pyrotechnic applications. In Proceedings of the 32nd Joint Propulsion Conference and Exhibit, Lake Buena Vista, FL, USA, 1–3 July 1996. [Google Scholar] [CrossRef] [Green Version]
- Wang, H.-X.; Fang, X.; Feng, B.; Gao, Z.-R.; Wu, S.-Z.; Li, Y.-C. Influence of Temperature on the Mechanical Properties and Reactive Behavior of Al-PTFE under Quasi-Static Compression. Polymers 2018, 10, 56. [Google Scholar] [CrossRef] [Green Version]
- Zhou, J.; Ding, L.; Tang, W.; Ran, X. Experimental Study of Mechanical Properties and Impact-Induced Reaction Characteristics of PTFE/Al/CuO Reactive Materials. Materials 2019, 13, 66. [Google Scholar] [CrossRef] [Green Version]
- Jurczuk, K.; Galeski, A.; Piorkowska, E. All-polymer nanocomposites with nanofibrillar inclusions generated in situ during compounding. Polymer 2013, 54, 4617–4628. [Google Scholar] [CrossRef]
- Van der Meer, D.W.; Milazzo, D.; Sanguineti, A.; Vancso, G.J. Oriented crystallization and mechanical properties of polypropylene nucleated on fibrillated polytetrafluoroethylene scaffolds. Polym. Eng. Sci. 2005, 45, 458–468. [Google Scholar] [CrossRef]
- Jurczuk, K.; Galeski, A. Thermoplastic elastomers reinforced with poly(tetrafluoroethylene) nanofibers. Eur. Polym. J. 2016, 80, 58–69. [Google Scholar] [CrossRef]
- Ding, L.; Zhou, J.; Tang, W.; Ran, X.; Hu, Y. Impact Energy Release Characteristics of PTFE/Al/CuO Reactive Materials Measured by a New Energy Release Testing Device. Polymers 2019, 11, 149. [Google Scholar] [CrossRef] [PubMed]












| No. | (73.5%) PTFE + (26.5%) Al (µm) (wt.%) | (81.5%) CuO + (18.5%) Al (nm) (wt.%) | (75.4%) Ni2O3 + (24.6%) Al (nm) (wt.%) |
|---|---|---|---|
| 1# | 100 | - | - |
| 2# | 90 | 10 | - |
| 3# | 80 | 20 | - |
| 4# | 70 | 30 | - |
| 5# | 90 | - | 10 |
| 6# | 80 | - | 20 |
| 7# | 70 | - | 30 |
| Material No. | 1# | 2# | 3# | 4# | 5# | 6# | 7# |
|---|---|---|---|---|---|---|---|
| Oxide vol% | 0 | 1.29 | 2.58 | 3.87 | 1.56 | 3.12 | 4.69 |
| Material No. | 1# | 2# | 3# | 4# | 5# | 6# | 7# |
|---|---|---|---|---|---|---|---|
| Reaction duration (ms) | 2.6 | 2 | 2.3 | 3.5 | 1.5 | 1.3 | 4.0 |
Publisher’s Note: MDPI stays neutral with regard to jurisdictional claims in published maps and institutional affiliations. |
© 2022 by the authors. Licensee MDPI, Basel, Switzerland. This article is an open access article distributed under the terms and conditions of the Creative Commons Attribution (CC BY) license (https://creativecommons.org/licenses/by/4.0/).
Share and Cite
Liu, C.; Dong, Y.-Y.; Fan, Y.-Y.; Yang, Y.; Zhao, J.-Y.; Wang, K.; Liu, X.-J. Research on the Impact Initiation Behavior of PTFE/Al/Ni2O3 Reactive Materials. Polymers 2022, 14, 4629. https://doi.org/10.3390/polym14214629
Liu C, Dong Y-Y, Fan Y-Y, Yang Y, Zhao J-Y, Wang K, Liu X-J. Research on the Impact Initiation Behavior of PTFE/Al/Ni2O3 Reactive Materials. Polymers. 2022; 14(21):4629. https://doi.org/10.3390/polym14214629
Chicago/Turabian StyleLiu, Can, Yi-Yang Dong, Yu-Yang Fan, Yi Yang, Jing-Yun Zhao, Ke Wang, and Xiao-Jun Liu. 2022. "Research on the Impact Initiation Behavior of PTFE/Al/Ni2O3 Reactive Materials" Polymers 14, no. 21: 4629. https://doi.org/10.3390/polym14214629
APA StyleLiu, C., Dong, Y.-Y., Fan, Y.-Y., Yang, Y., Zhao, J.-Y., Wang, K., & Liu, X.-J. (2022). Research on the Impact Initiation Behavior of PTFE/Al/Ni2O3 Reactive Materials. Polymers, 14(21), 4629. https://doi.org/10.3390/polym14214629
