The Impact of Water-Soluble Chitosan on the Inhibition of Crystal Nucleation of Alpha-Mangostin from Supersaturated Solutions
Abstract
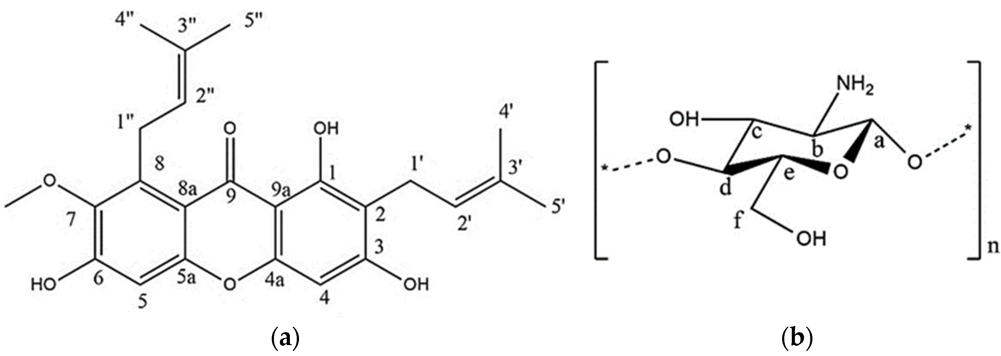
:1. Introduction
2. Materials and Methods
2.1. Materials
2.2. Methods
2.2.1. Powder X-ray Diffraction (PXRD) Measurement
2.2.2. Crystalline Solubility Measurements
2.2.3. Nucleation Induction Time Measurements
2.2.4. HPLC Conditions
2.2.5. Fourier-Transform Infrared (FT-IR) Spectroscopy
2.2.6. NMR Measurements
2.2.7. In Silico Study
2.2.8. Viscosity Test
3. Results
3.1. Crystalline Solubility Measurements
3.2. Nucleation Induction Time Measurements
3.3. FT-IR Spectroscopy Analysis
3.4. NMR Analysis
3.5. In Silico Study
3.6. Viscosity Measurement
4. Discussion
5. Conclusions
Author Contributions
Funding
Institutional Review Board Statement
Informed Consent Statement
Data Availability Statement
Acknowledgments
Conflicts of Interest
References
- Di, X.; Xu, B.; McKenna, G.B. The melting behavior of trinitrotoluene nanoconfined in controlled pore glasses. J. Therm. Anal. Calorim. 2013, 113, 533–537. [Google Scholar] [CrossRef]
- Kawabata, Y.; Wada, K.; Nakatani, M.; Yamada, S.; Onoue, S. Formulation design for poorly water-soluble drugs based on biopharmaceutics classification system: Basic approaches and practical applications. Int. J. Pharm. 2011, 420, 1–10. [Google Scholar] [CrossRef] [PubMed]
- Zhao, Z.; Katai, H.; Higashi, K.; Ueda, K.; Kawakami, K.; Moribe, K. Cryo-TEM and AFM Observation of the Time-Dependent Evolution of Amorphous Probucol Nanoparticles Formed by the Aqueous Dispersion of Ternary Solid Dispersions. Mol. Pharm. 2019, 16, 2184–2198. [Google Scholar] [CrossRef] [PubMed]
- Xie, T.; Taylor, L.S. Dissolution Performance of High Drug Loading Celecoxib Amorphous Solid Dispersions Formulated with Polymer Combinations. Pharm. Res. 2016, 33, 739–750. [Google Scholar] [CrossRef] [PubMed]
- Leuner, C.; Dressman, J. Improving drug solubility for oral delivery using solid dispersions. Eur. J. Pharm. Biopharm. 2000, 50, 47–60. [Google Scholar] [CrossRef]
- Childs, S.L.; Kandi, P.; Lingireddy, S.R. Formulation of a danazol cocrystal with controlled supersaturation plays an essential role in improving bioavailability. Mol. Pharm. 2013, 10, 3112–3127. [Google Scholar] [CrossRef] [PubMed]
- Thakuria, R.; Delori, A.; Jones, W.; Lipert, M.P.; Roy, L.; Rodríguez-Hornedo, N. Pharmaceutical cocrystals and poorly soluble drugs. Int. J. Pharm. 2013, 453, 101–125. [Google Scholar] [CrossRef] [PubMed]
- Shi, Q.; Moinuddin, S.M.; Cai, T. Advances in coamorphous drug delivery systems. Acta Pharm. Sin. B 2019, 9, 19–35. [Google Scholar] [CrossRef] [PubMed]
- Hirakawa, Y.; Ueda, H.; Takata, Y.; Minamihata, K.; Wakabayashi, R.; Kamiya, N.; Goto, M. Co-amorphous formation of piroxicam-citric acid to generate supersaturation and improve skin permeation. Eur. J. Pharm. Sci. 2021, 158, 105667. [Google Scholar] [CrossRef] [PubMed]
- Ueda, K.; Yamamoto, N.; Higashi, K.; Moribe, K. NMR-Based Mechanistic Study of Crystal Nucleation Inhibition in a Supersaturated Drug Solution by Polyvinylpyrrolidone. Cryst. Growth Des. 2022, 22, 3235–3244. [Google Scholar] [CrossRef]
- Kawakami, K. Current Status of Amorphous Formulation and Other Special Dosage Forms as Formulations for Early Clinical Phases. J. Pharm. Sci. 2009, 98, 2875–2885. [Google Scholar] [CrossRef]
- Ozaki, S.; Kushida, I.; Yamashita, T.; Hasebe, T.; Shirai, O.; Kano, K. Inhibition of Crystal Nucleation and Growth by Water-Soluble Polymers and its Impact on the Supersaturation Profiles of Amorphous Drugs. J. Pharm. Sci. 2013, 102, 2273–2281. [Google Scholar] [CrossRef] [PubMed]
- Sarode, A.L.; Wang, P.; Obara, S.; Worthen, D.R. Supersaturation, nucleation, and crystal growth during single- and biphasic dissolution of amorphous solid dispersions: Polymer effects and implications for oral bioavailability enhancement of poorly water soluble drugs. Eur. J. Pharm. Biopharm. 2014, 86, 351–360. [Google Scholar] [CrossRef] [PubMed]
- Brouwers, J.; Brewster, M.E.; Patrick, A. Supersaturating Drug Delivery Systems: The Answer to Solubility-Limited Oral Bioavailability? J. Pharm. Sci. 2009, 98, 2549–2572. [Google Scholar] [CrossRef] [PubMed]
- Murdande, S.B.; Pikal, M.J.; Shanker, R.M.; Bogner, R.H. Solubility Advantage of Amorphous Pharmaceuticals, Part 3: Is Maximum Solubility Advantage Experimentally Attainable and Sustainable? J. Pharm. Sci. 2011, 100, 4349–4356. [Google Scholar] [CrossRef]
- Gu, C.H.; Young, V.; Grant, D.J.W. Polymorph screening: Influence of solvents on the rate of solvent-mediated polymorphic transformation. J. Pharm. Sci. 2001, 90, 1878–1890. [Google Scholar] [CrossRef]
- Kuldipkumar, A.; Kwon, G.S.; Zhang Geoff, G.Z. Determining the Growth Mechanism of Tolazamide by Induction Time Measurement. Cryst. Growth Des. 2007, 7, 234–242. [Google Scholar] [CrossRef]
- Lindfors, L.; Forssén, S.; Westergren, J.; Olsson, U. Nucleation and crystal growth in supersaturated solutions of a model drug. J. Colloid Interface Sci. 2008, 325, 404–413. [Google Scholar] [CrossRef]
- Alonzo, D.E.; Raina, S.; Zhou, D.; Gao, Y.; Zhang, G.G.Z.; Taylor, L.S. Characterizing the impact of hydroxypropylmethyl cellulose on the growth and nucleation kinetics of felodipine from supersaturated solutions. Cryst. Growth Des. 2012, 12, 1538–1547. [Google Scholar] [CrossRef]
- Carlert, S.; Pålsson, A.; Hanisch, G.; Von Corswant, C.; Nilsson, C.; Lindfors, L.; Lennernäs, H.; Abrahamsson, B. Predicting intestinal precipitation-A case example for a basic BCS class II drug. Pharm. Res. 2010, 27, 2119–2130. [Google Scholar] [CrossRef]
- Yamashita, T.; Ozaki, S.; Kushida, I. Solvent shift method for anti-precipitant screening of poorly soluble drugs using biorelevant medium and dimethyl sulfoxide. Int. J. Pharm. 2011, 419, 170–174. [Google Scholar] [CrossRef]
- Lueßen, H.L.; Rentel, C.O.; Kotzé, A.F.; Lehr, C.M.; De Boer, A.G.; Verhoef, J.C.; Junginger, H.E. Mucoadhesive polymers in peroral peptide drug delivery. IV. Polycarbophil and chitosan are potent enhancers of peptide transport across intestinal mucosae in vitro. J. Control. Release 1997, 45, 15–23. [Google Scholar] [CrossRef]
- Williams, R.O.; Barron, M.K.; José Alonso, M.; Remuñán-López, C. Investigation of a pMDI system containing chitosan microspheres and P134a. Int. J. Pharm. 1998, 174, 209–222. [Google Scholar] [CrossRef]
- Ni’mah, Y.L.; Harmami, H.; Ulfin, I.; Suprapto, S.; Welny Saleh, C. Water-soluble chitosan preparation from marine sources. Malays. J. Fundam. Appl. Sci. 2019, 15, 159–163. [Google Scholar] [CrossRef]
- Asada, M.; Takahashi, H.; Okamoto, H.; Tanino, H.; Danjo, K. Theophylline particle design using chitosan by the spray drying. Int. J. Pharm. 2004, 270, 167–174. [Google Scholar] [CrossRef]
- Aisha; Ismail, Z.; Abu-salah, K.M.; Majid, A.M.S.A. Solid dispersions of α-mangostin improve its aqueous solubility through self-assembly of nanomicelles. J. Pharm. Sci. 2011, 101, 815–825. [Google Scholar] [CrossRef]
- Vachoud, L.; Pochat-Bohatier, C.; Chakrabandhu, Y.; Bouyer, D.; David, L. Preparation and characterization of chitin hydrogels by water vapor induced gelation route. Int. J. Biol. Macromol. 2012, 51, 431–439. [Google Scholar] [CrossRef]
- Chavan, R.B.; Thipparaboina, R.; Kumar, D.; Shastri, N.R. Evaluation of the inhibitory potential of HPMC, PVP and HPC polymers on nucleation and crystal growth. RSC Adv. 2016, 6, 77569–77576. [Google Scholar] [CrossRef]
- Zhang, W.; Hate, S.S.; Russell, D.J.; Hou, H.H.; Nagapudi, K. Impact of Surfactant and Surfactant-Polymer Interaction on Desupersaturation of Clotrimazole. J. Pharm. Sci. 2019, 108, 3262–3271. [Google Scholar] [CrossRef]
- Hauss, D.J. Oral lipid-based formulations. Adv. Drug Deliv. Rev. 2007, 59, 667–676. [Google Scholar] [CrossRef]
- Sim, W.C.; Cheng, G.; Ee, L.; Aspollah, S.M. α -mangostin and β -mangostin from Cratoxylum glaucum. Res. J. Chem. Environ. 2011, 15, 62–66. [Google Scholar]
- Itzincab-Mejía, L.; López-Luna, A.; Gimeno, M.; Shirai, K.; Bárzana, E. Enzymatic grafting of gallate ester onto chitosan: Evaluation of antioxidant and antibacterial activities. Int. J. Food Sci. Technol. 2013, 48, 2034–2041. [Google Scholar] [CrossRef]
- Ueda, K.; Yamamoto, N.; Higashi, K.; Moribe, K. Molecular Mobility Suppression of Ibuprofen-Rich Amorphous Nanodroplets by HPMC Revealed by NMR Relaxometry and Its Significance with Respect to Crystallization Inhibition. Mol. Pharm. 2019, 16, 4968–4977. [Google Scholar] [CrossRef]
- Knapik, J.; Wojnarowska, Z.; Grzybowska, K.; Hawelek, L.; Sawicki, W.; Wlodarski, K.; Markowski, J.; Paluch, M. Physical stability of the amorphous anticholesterol agent (Ezetimibe): The role of molecular mobility. Mol. Pharm. 2014, 11, 4280–4290. [Google Scholar] [CrossRef] [PubMed]
- Mistry, P.; Mohapatra, S.; Gopinath, T.; Vogt, F.G.; Suryanarayanan, R. Role of the Strength of Drug-Polymer Interactions on the Molecular Mobility and Crystallization Inhibition in Ketoconazole Solid Dispersions. Mol. Pharm. 2015, 12, 3339–3350. [Google Scholar] [CrossRef]










| Sample | Solution | Chemical Shift (ppm) | Different in the Chemical Shift (ppb) | ||||
|---|---|---|---|---|---|---|---|
| Peak | H4′ | H4″ | H5′, H5″ | ΔH4′ | ΔH4″ | ΔH5′, H5″ | |
| AM | Water | 1.774 | 1.727 | 1.622 | |||
| AM | WSC | 1.810 | 1.764 | 1.660 | 36 | 37 | 38 |
| Peak | Hb | ΔHb | |||||
| WSC | WSC | 3.103 | |||||
| WSC-AM | WSC | 3.045 | 58 | ||||
| Sample | Viscosity (cps) |
|---|---|
| WSC | 5.34 |
| AM–WSC Water | 5.34 4.22 |
Publisher’s Note: MDPI stays neutral with regard to jurisdictional claims in published maps and institutional affiliations. |
© 2022 by the authors. Licensee MDPI, Basel, Switzerland. This article is an open access article distributed under the terms and conditions of the Creative Commons Attribution (CC BY) license (https://creativecommons.org/licenses/by/4.0/).
Share and Cite
Budiman, A.; Nurfadilah, N.; Muchtaridi, M.; Sriwidodo, S.; Aulifa, D.L.; Rusdin, A. The Impact of Water-Soluble Chitosan on the Inhibition of Crystal Nucleation of Alpha-Mangostin from Supersaturated Solutions. Polymers 2022, 14, 4370. https://doi.org/10.3390/polym14204370
Budiman A, Nurfadilah N, Muchtaridi M, Sriwidodo S, Aulifa DL, Rusdin A. The Impact of Water-Soluble Chitosan on the Inhibition of Crystal Nucleation of Alpha-Mangostin from Supersaturated Solutions. Polymers. 2022; 14(20):4370. https://doi.org/10.3390/polym14204370
Chicago/Turabian StyleBudiman, Arif, Nisrina Nurfadilah, Muchtaridi Muchtaridi, Sriwidodo Sriwidodo, Diah Lia Aulifa, and Agus Rusdin. 2022. "The Impact of Water-Soluble Chitosan on the Inhibition of Crystal Nucleation of Alpha-Mangostin from Supersaturated Solutions" Polymers 14, no. 20: 4370. https://doi.org/10.3390/polym14204370
APA StyleBudiman, A., Nurfadilah, N., Muchtaridi, M., Sriwidodo, S., Aulifa, D. L., & Rusdin, A. (2022). The Impact of Water-Soluble Chitosan on the Inhibition of Crystal Nucleation of Alpha-Mangostin from Supersaturated Solutions. Polymers, 14(20), 4370. https://doi.org/10.3390/polym14204370

