Effect of Epoxidized and Maleinized Corn Oil on Properties of Polylactic Acid (PLA) and Polyhydroxybutyrate (PHB) Blend
Abstract
1. Introduction
2. Materials and Methods
2.1. Materials
2.2. Corn Oil Modification
2.2.1. Epoxidation Process
2.2.2. Maleinization Process
2.3. Sample Preparation
2.4. Characterization Techniques
2.4.1. Mechanical Properties
2.4.2. Thermo-Mechanical Properties
2.4.3. Thermal Properties
2.4.4. Microscopic Characterization
2.4.5. Disintegration under Composting Conditions
3. Results
3.1. Optimization of the Epoxidation Process Conditions of Epoxidized Corn Oil (ECO)
3.2. Synthesis of Maleinized Corn Oil (MCO)
3.3. Mechanical Properties
3.4. Thermo-Mechanical Properties
3.5. Thermal Properties
3.6. Field Emission Scanning Electron Microscopy (FESEM)
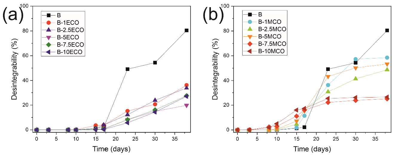
3.7. Disintegration under Composting Conditions
4. Conclusions
Author Contributions
Funding
Institutional Review Board Statement
Data Availability Statement
Acknowledgments
Conflicts of Interest
References
- Gupta, G.; Kumar, A.; Tyagi, R.; Kumar, S. Application and future of composite materials: A review. Int. J. Innov. Res. Sci. Eng. Technol. 2016, 5, 6907–6911. [Google Scholar]
- Nik Md Noordin Kahar, N.N.F.; Osman, A.F.; Alosime, E.; Arsat, N.; Mohammad Azman, N.A.; Syamsir, A.; Itam, Z.; Abdul Hamid, Z.A. The versatility of polymeric materials as self-healing agents for various types of applications: A review. Polymers 2021, 13, 1194. [Google Scholar] [CrossRef]
- Ji, D.; Li, T.; Hu, W.; Fuchs, H. Recent Progress in Aromatic Polyimide Dielectrics for Organic Electronic Devices and Circuits. Adv. Mater. 2019, 31, 1806070. [Google Scholar] [CrossRef]
- Tiwari, N.; Ho, F.; Ankit, A.; Mathews, N. A rapid low temperature self-healable polymeric composite for flexible electronic devices. Camb. R. Soc Chem. J. Mater. Chem. A Mater. Energy Sustain. 2018, 6, 21428–21434. [Google Scholar] [CrossRef]
- Dingler, C.; Dirnberger, K.; Ludwigs, S. Semiconducting Polymer Spherulites—From Fundamentals to Polymer Electronics. Weinh. Wiley-V C H Verl. Gmbh. Macromol. Rapid Commun. 2019, 40, 1800601. [Google Scholar] [CrossRef]
- Arrieta, M.P.; López Martínez, J.; Hernández, A.; Rayón Encinas, E. Ternary PLA-PHB-Limonene Blends Intended for Biodegradable Food Packaging Applications; Elsevier: Amsterdam, The Netherlands, 2014. [Google Scholar]
- Arrieta, M.P.; López Martínez, J.; Ferrándiz Bou, S.; Peltzer, M.A. Characterization of PLA-Limonene Blends for Food Packaging Applications; Elsevier: Amsterdam, The Netherlands, 2013. [Google Scholar]
- Plastics the Facts 2020. An Analysis of European Plastics Production, Demand and Waste Data—Plastics Europe—Association of Plastics Manufacturers. Available online: https://plasticseurope.org/knowledge-hub/plastics-the-facts-2020/ (accessed on 13 November 2019).
- Gonçalves, A.L.; Pires, J.C.M.; Simões, M. Green fuel production: Processes applied to microalgae. Environ. Chem. Lett. 2013, 11, 315–324. [Google Scholar] [CrossRef]
- Baena-Moreno, F.M.; le Saché, E.; Pastor-Pérez, L.; Reina, T.R. Membrane-based technologies for biogas upgrading: A review. Int. Publishing. Environ. Chem. Lett. 2020, 18, 1649–1658. [Google Scholar] [CrossRef]
- Hale, R.C.; Seeley, M.E.; la Guardia, M.J.; Mai, L.; Zeng, E.Y. A Global Perspective on Microplastics. Wash. Amer Geophys. Union J. Geophys. Res. Ocean. 2020, 125, e2018JC014719. [Google Scholar] [CrossRef]
- Bollaín Pastor, C.; Vicente Agulló, D. Presencia de microplásticos en aguas y su potencial impacto en la salud pública. Revista Española de Salud Pública 2020, 93, e201908064. [Google Scholar]
- DIRECTIVE (EU) 2019/904 OF THE EUROPEAN PARLIAMENT AND OF THE COUNCIL of 5 June 2019 on the reduction of the impact of certain plastic products on the environment. Official Journal of the European Union]. Available online: https://eur-lex.europa.eu/eli/dir/2019/904/oj (accessed on 10 September 2022).
- Sikora, J.; Majewski, Ł.; Puszka, A. Modern biodegradable plastics-processing and properties: Part I. Materials 2020, 13, 1986. [Google Scholar] [CrossRef] [PubMed]
- Sikora, J.W.; Majewski, Ł.; Puszka, A. Modern biodegradable plastics—processing and properties part II. Materials 2021, 14, 2523. [Google Scholar] [CrossRef] [PubMed]
- Drumright, R.E.; Gruber, P.R.; Henton, D.E. Polylactic acid technogy. Adv. Mater. 2000, 12, 1841–1846. [Google Scholar] [CrossRef]
- Södergard, A.; Stolt, M. Properties of lactic acid based polymers and their correlation with composition. Prog. Polym. Sci. 2002, 27, 1123–1163. [Google Scholar] [CrossRef]
- Jamshidian, M.; Tehrany, E.A.; Imran, M.; Jacquot, M.; Desobry, S. Poly-Lactic Acid: Productior Applications, Nanocomposites, and Release Studies. Compr. Rev. Food Sci. Food Saf. 2010, 9, 552–571. [Google Scholar] [CrossRef] [PubMed]
- Vink, E.T.H.; Rábago, K.R.; Glassner, D.A.; Gruber, P.R. Applications of life cycle assessment to NatureWorks polylactide (PLA) production. Polym. Degrad. Stab. 2003, 80, 403–419. [Google Scholar] [CrossRef]
- Nofar, M.; Sacligil, D.; Carreau, P.J.; Kamal, M.R.; Heuzey, M.-C. Poly (lactic acid) blends: Processing, properties and applications. Int. J. Biol. Macromol. 2019, 125, 307–360. [Google Scholar] [CrossRef] [PubMed]
- Farto-Vaamonde, X.; Auriemma, G.; Aquino, R.P.; Concheiro, A.; Alvarez-Lorenzo, C. Post-manufacture loading of filaments and 3D printed PLA sca_olds with prednisolone and dexamethasone for tissue regeneration applications. Eur. J. Pharm. Biopharm. 2019, 141, 100–110. [Google Scholar] [CrossRef] [PubMed]
- Fajardo, J.; Valarezo, L.; López, L.; Sarmiento, A. Experiencies in obtaining polymeric composites reinforced with natural fiber from Ecuador. Ingenius 2013, 9, 28–35. [Google Scholar] [CrossRef][Green Version]
- Gere, D.; Czigany, T. Future trends of plastic bottle recycling: Compatibilization of PET and PLA. Polym. Test. 2020, 81, 106160. [Google Scholar] [CrossRef]
- Palma-Ramírez, D.; Torres-Huerta, A.; Domínguez-Crespo, M.; Del Angel-López, D.; Flores-Vela, A.; de la Fuente, D. Data supporting the morphological/topographical properties and the degradability on PET/PLA and PET/chitosan blends. Data Brief 2019, 25, 104012. [Google Scholar] [CrossRef]
- Hachemi, R.; Belhaneche-Bensemra, N.; Massardier, V. Elaboration and characterization of bioblends based on PVC/PLA. J. Appl. Polym. Sci. 2014, 131, 40045. [Google Scholar] [CrossRef]
- Nehra, R.; Maiti, S.N.; Jacob, J. Analytical interpretations of static and dynamic mechanical properties of thermoplastic elastomer toughened PLA blends. J. Appl. Polym. Sci. 2018, 135, 45644. [Google Scholar] [CrossRef]
- Jašo, V.; Cvetinov, M.; Raki’c, S.; Petrovi´c, Z.S. Bio-plastics and elastomers from polylactic acid/thermoplastic polyurethane blends. J. Appl. Polym. Sci. 2014, 131, 41104. [Google Scholar] [CrossRef]
- Mandal, D.K.; Bhunia, H.; Bajpai, P.K. Thermal degradation kinetics of PP/PLA nanocomposite blends. J. Thermoplast. Compos. Mater. 2019, 32, 1714–1730. [Google Scholar] [CrossRef]
- Azizi, S.; Azizi, M.; Sabetzadeh, M. The role of multiwalled carbon nanotubes in the mechanical, thermal, rheological, and electrical properties of PP/PLA/MWCNTs nanocomposites. J. Compos. Sci. 2019, 3, 64. [Google Scholar] [CrossRef]
- Quiles-Carrillo, L.; Montanes, N.; Jorda-Vilaplana, A.; Balart, R.; Torres-Giner, S. A comparative study on the e_ect of di_erent reactive compatibilizers on injection-molded pieces of bio-based high-density polyethylene/polylactide blends. J. Appl. Polym. Sci. 2019, 136, 47396. [Google Scholar] [CrossRef]
- Torres-Huerta, A.; Domínguez-Crespo, M.; Palma-Ramírez, D.; Flores-Vela, A.; Castellanos-Alvarez, E.; Angel-López, D.D. Preparation and degradation study of HDPE/PLA polymer blends for packaging applications. Rev. Mex. Ing. Química 2019, 18, 251–271. [Google Scholar] [CrossRef]
- Ferri, J.M.; Garcia-Garcia, D.; Rayón, E.; Samper, M.D.; Balart, R. Compatibilization and Characterization of Polylactide and Biopolyethylene Binary Blends by Non-Reactive and Reactive Compatibilization Approaches. Polymers 2020, 12, 1344. [Google Scholar] [CrossRef]
- Arrieta, M.P.; López, J.; Ferrándiz, S.; Peltzer, M.A. Characterization of PLA-limonene blends for food packaging applications. Polym. Test. 2013, 32, 760–768. [Google Scholar] [CrossRef]
- Arrieta, M.P.; López, J.; Hernández, A.; Rayón, E. Ternary PLA–PHB–Limonene blends intended for biodegradable food packaging applications. Eur. Polym. J. 2014, 50, 255–270. [Google Scholar] [CrossRef]
- Montes, M.I.; Cyras, V.; Manfredi, L.; Pettarín, V.; Fasce, L. Fracture evaluation of plasticized polylactic acid/poly (3-HYDROXYBUTYRATE) blends for commodities replacement in packaging applications. Polym. Test. 2020, 84, 106375. [Google Scholar] [CrossRef]
- Ferri, J.M.; Fenollar, O.; Jorda-Vilaplana, A.; García-Sanoguera, D.; Balart, R. E_ect of miscibility on mechanical and thermal properties of poly (lactic acid)/polycaprolactone blends. Polym. Int. 2016, 65, 453–463. [Google Scholar] [CrossRef]
- Mittal, V.; Akhtar, T.; Matsko, N. Mechanical, thermal, rheological and morphological properties of binary and ternary blends of PLA, TPS and PCL. Macromol. Mater. Eng. 2015, 300, 423–435. [Google Scholar] [CrossRef]
- Rao, R.U.; Venkatanarayana, B.; Suman, K. Enhancement of mechanical properties of PLA/PCL (80/20) blend by reinforcing with MMT nanoclay. Mater. Today Proc. 2019, 18, 85–97. [Google Scholar]
- Carbonell-Verdu, A.; Ferri, J.; Dominici, F.; Boronat, T.; Sanchez-Nacher, L.; Balart, R.; Torre, L. Manufacturing and compatibilization of PLA/PBAT binary blends by cottonseed oil-based derivatives. Express Polym. Lett. 2018, 12, 808–823. [Google Scholar] [CrossRef]
- Wang, X.; Peng, S.; Chen, H.; Yu, X.; Zhao, X. Mechanical properties, rheological behaviors, and phase morphologies of high-toughness PLA/PBAT blends by in-situ reactive compatibilization. Compos. Part. B Eng. 2019, 173, 107028. [Google Scholar] [CrossRef]
- Kilic, N.T.; Can, B.N.; Kodal, M.; Ozkoc, G. Compatibilization of PLA/PBAT blends by using Epoxy-POSS. J. Appl. Polym. Sci. 2019, 136, 47217. [Google Scholar] [CrossRef]
- Chieng, B.W.; Ibrahim, N.A.; Yunus, W.M.Z.W.; Hussein, M.Z. Plasticized poly(lactic acid) with low molecular weight poly(ethylene glycol): Mechanical, thermal, and morphology properties. J. Appl Polym. Sci. 2013, 130, 4576–4580. [Google Scholar] [CrossRef]
- Yu, Y.; Cheng, Y.; Ren, J.; Cao, E.; Fu, X.; Guo, W. Plasticizing effect of poly(ethylene glycol)s with different molecular weights in poly(lactic acid)/starch blends. J. Appl. Polym. Sci. 2015, 132, 41808. [Google Scholar] [CrossRef]
- Nazari, T.; Garmabi, H. Polylactic acid/polyethylene glycol blend fibres prepared via melt electrospinning: Effect of polyethylene glycol content. Micro Nano Lett. 2014, 9, 686–690. [Google Scholar] [CrossRef]
- Ke, W.; Li, X.; Miao, M.; Liu, B.; Zhang, X.; Liu, T. Fabrication and Properties of Electrospun and Electrosprayed Polyethylene Glycol/Polylactic Acid (PEG/PLA) Films. Coatings 2021, 11, 790. [Google Scholar] [CrossRef]
- Ruan, G.; Feng, S.S. Preparation and characterization of poly (lactic acid)–poly (ethylene glycol)–poly (lactic acid)(PLA–PEG–PLA) microspheres for controlled release of paclitaxel. Biomaterials 2003, 24, 5037–5044. [Google Scholar] [CrossRef]
- Piorkowska, E.; Kulinski, Z.; Galeski, A.; Masirek, R. Plasticization of semicrystalline poly(L-lactide) with poly(propylene glycol). Polymer 2006, 47, 7178–7188. [Google Scholar] [CrossRef]
- Burgos, N.; Martino, V.P.; Jimenez, A. Characterization and ageing study of poly(lactic acid) films plasticized with oligomeric lactic acid. Polym. Degrad. Stab. 2013, 98, 651–658. [Google Scholar] [CrossRef]
- Arrieta, M.; de Dicastillo, C.L.; Garrido, L.; Roa, K.; Galotto, M.J. Electrospun PVA fibers loaded with antioxidant fillers extracted from Durvillaea Antarctica algae and their effect on plasticized PLA bionanocomposites. Eur. Polym. J. 2018, 103, 145–157. [Google Scholar] [CrossRef]
- Hassouna, F.; Raquez, J.-M.; Addiego, F.; Toniazzo, V.; Dubois, P.; Ruch, D. New development on plasticized poly(lactide): Chemical grafting of citrate on PLA by reactive extrusion. Eur. Polym. J. 2012, 48, 404–415. [Google Scholar] [CrossRef]
- Jing, J.; Qiao, Q.A.; Jin, Y.; Ma, C.; Cai, H.; Meng, Y.; Cai, Z.; Feng, D. Molecular and mesoscopic dynamics simulations on the compatibility of PLA/plasticizer blends. Chin. J. Chem 2012, 30, 133–138. [Google Scholar] [CrossRef]
- Notta-Cuvier, D.; Murariu, M.; Odent, J.; Delille, R.; Bouzouita, A.; Raquez, J.-M.; Lauro, F.; Dubois, P. Tailoring polylactide properties for automotive applications: Effects of coaddition of halloysite Nanotubes and selected plasticizer. Macromol. Mater. Eng. 2015, 300, 684–698. [Google Scholar] [CrossRef]
- Chieng, B.W.; Ibrahim, N.A.; Then, Y.Y.; Loo, Y.Y. Epoxidized vegetable oils plasticized poly(lactic acid)biocomposites: Mechanical, thermal and morphology properties. Molecules 2014, 19, 16024–16038. [Google Scholar] [CrossRef]
- Alam, J.; Alam, M.; Raja, M.; Abduljaleel, Z.; Dass, L.A. MWCNTs-reinforced epoxidized linseed oil plasticized polylactic acid nanocomposite and its electroactive shape memory behaviour. Int. J. Mol. Sci. 2014, 15, 19924–19937. [Google Scholar] [CrossRef]
- Ferri, J.M.; Samper, M.D.; García-Sanoguera, D.; Reig, M.J.; Fenollar, O.; Balart, R. Plasticizing effect of biobased epoxidized fatty acid esters on mechanical and thermal properties of poly(lactic acid). J. Mater. Sci. 2016, 51, 5356–5366. [Google Scholar] [CrossRef]
- Garcia-Garcia, D.; Carbonell-Verdu, A.; Arrieta, M.P.; Lopez-Martínez, J.; Samper, M.D. Improvement of PLA film ductility by plasticization with epoxidized karanja oil. Polym. Degrad. Stab. 2020, 179, 109259. [Google Scholar] [CrossRef]
- Carbonell-Verdu, A.; Samper, M.D.; Garcia-Garcia, D.; Sanchez-Nacher, L.; Balart, R. Plasticization effect of epoxidized cottonseed oil (ECSO) on poly(lactic acid). Ind. Crops Prod. 2017, 104, 278–286. [Google Scholar] [CrossRef]
- Erceg, M.; Kovacic, T.; Klaric, I. Thermal degradation of poly( 3-hydroxybutyrate) plasticized with acetyl tributyl citrate. Polym. Degrad. Stab. 2005, 90, 31–318. [Google Scholar] [CrossRef]
- Weng, Y.X.; Wang, L.; Zhang, M.; Wang, X.L.; Wang, Y.Z. Biodegradation behavior of P(3HB,4HB)/PLA blends in real soil environments. Polym. Test. 2013, 32, 60–70. [Google Scholar] [CrossRef]
- Sanchez-Garcia, M.D.; Gimenez, E.; Lagaron, J.M. Morphology and Barrier Properties of Nanobiocomposites of Poly (3-hydroxybutyrate) and Layered Silicates. J. Appl. Polym. Sci. 2008, 108, 2787–2801. [Google Scholar] [CrossRef]
- Lerma-Canto, A.; Gomez-Caturla, J.; Herrero-Herrero, M.; Garcia-Garcia, D.; Fombuena, V. Development of polylactic acid thermoplastics starch formulations using malenized hemp oil as biobased plasticizer. Polymers 2021, 13, 1392. [Google Scholar] [CrossRef]
- Barrera-Arellano, D.; Badan-Ribeiro, A.P.; Serna-Saldivar, S.O. Chapter 21-Corn Oil: Composition, Processing and Utilization in Corn, Chemistry and Technology, 3rd ed.; Serna-Saldivar, S.O., Ed.; AACC International Elsevier: Eagan, MN, USA, 2019; pp. 519–613. [Google Scholar]
- ASTM, D. 1652-97; Standard test methods for epoxy content of epoxy resins. ASTM International: West Conshohocken, PA, USA, 2004.
- ISO 3961:2009; Animal and vegetable fats and oils—Determination of iodine value. International Organization for Standardization: Geneva, Switzerland, 2009.
- Carbonell-Verdu, A.; Garcia-Garcia, D.; Dominici, F.; Torre, L.; Sanchez-Nacher, L.; Balart, R. PLA films with improved flexibility properties by using maleinized cottonseed oil. Eur. Polym. J. 2017, 91, 248–259. [Google Scholar] [CrossRef]
- Perez-Nakai, A.; Lerma-Canto, A.; Domingez-Candela, I.; Garcia-Garcia, D.; Ferri, J.M.; Fombuena, V. Comparative Study of the Properties of Plasticized Polylactic Acid with Maleinized Hemp Seed Oil and a Novel Maleinized Brazil Nut Seed Oil. Polymers 2021, 13, 2376. [Google Scholar] [CrossRef] [PubMed]
- ISO 3961:2009; Animal and vegetable fats and oils—Determination of acid value and acidity. International Organization for Standardization: Geneva, Switzerland, 2009.
- ISO 527-1:2019; Plastics—Determination of tensile properties—Part 1: General principles. International Organization for Standardization: Geneva, Switzerland, 2019.
- ISO 178:2019; Plastics—Determination of flexural properties. International Organization for Standardization: Geneva, Switzerland, 2019.
- ISO 179-1:2010; Plastics—Determination of Charpy impact properties—Part 1: Non—instrumented impact test. International Organization for Standardization: Geneva, Switzerland, 2010.
- ISO 868:2003; Plastics and ebonite—Determination of indentation hardness by means of a durometer (Shore hardness). International Organization for Standardization: Geneva, Switzerland, 2003.
- ISO 75-1:2013; Plastics—Determination of temperature of deflection under load—Part 1: General test method. International Organization for Standardization: Geneva, Switzerland, 2013.
- ISO 306:2015; Plastics—Thermoplastics materials - Determination of Vicat softening temperature (VST). International Organization for Standardization: Geneva, Switzerland, 2015.
- Yeh, J.T.; Wu, C.J.; Tsou, C.H.; Chai, W.L.; Chow, J.D.; Huang, C.Y.; Chen, K.N.; Wu, C.S. Study on the crystallization, miscibility, morphology, properties of poly(lactic acid)/poly(ε-caprolactone) blends. Polym.-Plast. Technol. Eng. 2009, 48, 571–578. [Google Scholar] [CrossRef]
- ISO 20200:2015; Plastics—Determination of the degree of disintegration of plastics materials under simulated conditions in a laboratory-scale test.
- Carbonell-Verdu, A.; Bernardi, L.; Garcia-Garcia, D.; Sanchez-Nacher, L.; Balart, R. Development of Environmentally Friendly Composite Matrices from Epoxidized Cottonseed Oil; Elsevier: Amsterdam, The Netherlands, 2015. [Google Scholar]
- Quiles-Carrillo, L.; Montanes, N.; Sammon, C.; Balart, R.; Torres-Giner, S. Compatibilization of highly sustainable polylactide/almond shellflourcomposites by reactive extrusion with maleinized linseed oil. Ind. Crops Prod. 2018, 111, 878–888. [Google Scholar] [CrossRef]
- Arrieta, M.P.; Samper, M.D.; Aldas, M.; López, J. On the use of PLA-PHB blends for sustainable food packaging applications. Materials 2017, 10, 1008. [Google Scholar] [CrossRef] [PubMed]
- García Campo, M.J.; Quiles-Carrillo, L.; Masiá Vañó, J.; Reig-Pérez, M.J.; Montanes, N.; Balart, R. Environmentally Friendly Compatibilizers from Soybean Oil for Ternary Blends of Poly(lactic acid)-PLA, Poly(e-caprolactone)-PCL and Poly(3-hydroxybutyrate)-PHB. Materials 2017, 10, 1339. [Google Scholar] [CrossRef] [PubMed]
- Dobircau, L.; Delpouve, N.; Herbinet, R.; Domenek, S.; Le Pluart, L.; Delbreilh, L.; Ducruet, V.; Dargent, E.J.P.E. Molecular mobility and physical ageing of plasticized poly (lactide). Science 2015, 55, 858–865. [Google Scholar] [CrossRef]
- Dominguez-Candela, I.; Ferri, J.M.; Cardona, S.C.; Lora, J.; Fombuena, V.J.P. Dual Plasticizer/Thermal Stabilizer Effect of Epoxidized Chia Seed Oil (Salvia hispanica L.) to Improve Ductility and Thermal Properties of Poly (Lactic Acid). Polymers 2021, 13, 1283. [Google Scholar] [CrossRef] [PubMed]
- Zhang, M.; Thomas, N.L. Blending polylactic acid with polyhydroxybutyrate: The effect on thermal, mechanical, and biodegradation properties. Adv. Polym. Technol. 2011, 30, 67–79. [Google Scholar] [CrossRef]
- Ferri, J.M.; Garcia-Garcia, D.; Montanes, N.; Fenollar, O.; Balart, R. The effect of maleinized linseed oil as biobased plasticizer in poly (lactic acid)-based formulations. Polym. Int. 2017, 66, 882–891. [Google Scholar] [CrossRef]







| Code | PLA (wt%) | PHB (wt%) | ECO (phr *) | MCO (phr *) |
|---|---|---|---|---|
| PLA | 100 | - | - | - |
| B (blend) | 75 | 25 | - | - |
| B-1ECO | 75 | 25 | 1 | - |
| B-2.5ECO | 75 | 25 | 2.5 | - |
| B-5ECO | 75 | 25 | 5 | - |
| B-7.5ECO | 75 | 25 | 7.5 | - |
| B-10ECO | 75 | 25 | 10 | - |
| B-1MCO | 75 | 25 | - | 1 |
| B-2.5MCO | 75 | 25 | - | 2.5 |
| B-5MCO | 75 | 25 | - | 5 |
| B-7.5MCO | 75 | 25 | - | 7.5 |
| B-10MCO | 75 | 25 | - | 10 |
| Sample | Tensile Strength (MPa) | Young’s Modulus (MPa) | Elongation at Break (%) | Toughness Modulus (MJ/m3) | Impact Absorbed Energy (kJ/m2) | Flexural Strength (MPa) | Flexural Modulus (MPa) | HDT (°C) | VST (°C) |
|---|---|---|---|---|---|---|---|---|---|
| PLA | 61.6 ± 2.7 | 3470 ± 17 | 15.7 ± 2.7 | 6.0 ± 0.2 | 19.3 ± 1.6 | 99.8 ± 6.5 | 3290 ± 84 | 55.8 | 58.5 |
| B (blend) | 35.9 ±3.2 | 533 ± 102 | 28.3 ± 6.7 | 5.5 ± 1.0 | 27.5 ± 7.0 | 68.7 ± 4.0 | 2041 ± 92 | 52.5 | 53.8 |
| B-1ECO | 35.8 ± 1.6 | 1038 ± 168 | 28.0 ± 4.0 | 5.4 ± 0.4 | 29.1 ± 2.1 | 64.9 ± 2.9 | 2323 ± 154 | 54.2 | 53.5 |
| B-2.5ECO | 32.6 ± 1.2 | 1521 ± 22 | 38.0 ± 5.1 | 8.5 ± 1.0 | 33.1 ± 3.7 | 60.2 ± 0.7 | 2198 ± 195 | 54.5 | 53.7 |
| B-5ECO | 30.5 ± 0.4 | 1131 ± 182 | 49.6 ± 12.7 | 11.3 ± 3.8 | 27.1 ± 4.3 | 54.0 ± 3.6 | 2257 ± 84 | 52.4 | 54.3 |
| B-7.5ECO | 27.8 ± 1.2 | 1668 ± 207 | 58.1 ± 9.9 | 11.1 ± 1.0 | 29.1 ± 2.2 | 51.0 ± 0.6 | 2233 ± 115 | 54.2 | 53.3 |
| B-10ECO | 20.5 ± 0.9 | 1707 ± 48 | 127.2 ± 48.1 | 29.9 ±4.7 | 33.3 ± 2.4 | 54.7 ± 0.6 | 2392 ± 64 | 53.8 | 54.0 |
| B-1MCO | 33.6 ± 1.3 | 1189 ± 115 | 26.4 ± 4.8 | 6.4 ± 0.8 | 29.6 ± 1.9 | 64.8 ± 3.1 | 2291 ± 50 | 55.5 | 53.6 |
| B-2.5MCO | 33.1 ± 1.6 | 1403 ± 237 | 57.6 ± 18.3 | 11.3 ± 3.6 | 34.0 ± 4.6 | 61.6 ± 1.5 | 2235 ± 91 | 54.4 | 53.3 |
| B-5MCO | 29.2 ± 1.2 | 1372 ± 213 | 130.0 ±30.0 | 30.3 ± 4.4 | 28.6 ± 3.3 | 59.7 ± 1.0 | 2274 ± 261 | 54.4 | 53.0 |
| B-7.5MCO | 30.9 ± 0.9 | 1645 ± 54 | 73.5 ± 29.6 | 6.8 ± 2.7 | 24.6 ± 1.1 | 54.2 ± 2.1 | 2216 ± 100 | 54.1 | 53.7 |
| B-10MCO | 26.7 ± 1.7 | 1267 ± 102 | 40.8 ± 9.3 | 6.0 ± 1.1 | 25.5 ± 2.5 | 49.5 ± 1.5 | 2011 ± 93 | 55.0 | 52.6 |
| Code | TGA Parameters | DSC Parameters | ||||||||
|---|---|---|---|---|---|---|---|---|---|---|
| T5% (°C) | Tmax (°C) | T90% (°C) | Tg (°C) | Tcc (°C) | ΔHcc (J/g) | TmPLA (°C) | ΔHm (J/g) | Xc (%) | TmPHB (°C) | |
| PLA | 311.3 | 330.5 | 342.6 | 61.3 | 121.9 | 9.1 | 151.2 | 15.7 | 7.1 | - |
| B (blend) | 286.4 | 349.1 | 359.4 | 56.1 | 124.3 | 2.2 | 151.5 | 2.7 | 0.7 | 173.3 |
| B-1ECO | 276.4 | 342.8 | 350.4 | 54.4 | 125.6 | 2.3 | 151.0 | 2.7 | 0.6 | 172.5 |
| B-2.5ECO | 278.1 | 339.1 | 349.6 | 54.4 | 125.1 | 2.6 | 150.6 | 3.8 | 1.7 | 171.7 |
| B-5ECO | 275.5 | 338.2 | 349.4 | 54.1 | 125.2 | 1.5 | 151.2 | 2.6 | 1.6 | 173.9 |
| B-7.5ECO | 275.5 | 338.2 | 347.6 | 54.2 | 127.1 | 1.2 | 150.3 | 2.5 | 1.9 | 172.7 |
| B-10ECO | 270.9 | 328.7 | 338.7 | 54.6 | 126.7 | 2.6 | 151.8 | 4.1 | 2.7 | 175.7 |
| B-1MCO | 271.0 | 327.2 | 347.9 | 52.1 | 122.8 | 1.7 | 149.6 | 1.4 | 0.3 | 169.3 |
| B-2.5MCO | 270.1 | 329.2 | 348.0 | 47.3 | 122.4 | 0.9 | 149.8 | 1.2 | 0.4 | 166.1 |
| B-5MCO | 269.2 | 325.6 | 346.8 | 49.7 | 121.8 | 2.3 | 148.2 | 2.7 | 0.5 | 165.5 |
| B-7.5MCO | 269.1 | 323.2 | 345.9 | 49.6 | 122.1 | 2.6 | 148.2 | 4.1 | 2.4 | 165.1 |
| B-10MCO | 265.1 | 322.8 | 345.3 | 48.2 | 121.6 | 1.6 | 148.8 | 2.4 | 1.6 | 159.6 |
Publisher’s Note: MDPI stays neutral with regard to jurisdictional claims in published maps and institutional affiliations. |
© 2022 by the authors. Licensee MDPI, Basel, Switzerland. This article is an open access article distributed under the terms and conditions of the Creative Commons Attribution (CC BY) license (https://creativecommons.org/licenses/by/4.0/).
Share and Cite
Sempere-Torregrosa, J.; Ferri, J.M.; de la Rosa-Ramírez, H.; Pavon, C.; Samper, M.D. Effect of Epoxidized and Maleinized Corn Oil on Properties of Polylactic Acid (PLA) and Polyhydroxybutyrate (PHB) Blend. Polymers 2022, 14, 4205. https://doi.org/10.3390/polym14194205
Sempere-Torregrosa J, Ferri JM, de la Rosa-Ramírez H, Pavon C, Samper MD. Effect of Epoxidized and Maleinized Corn Oil on Properties of Polylactic Acid (PLA) and Polyhydroxybutyrate (PHB) Blend. Polymers. 2022; 14(19):4205. https://doi.org/10.3390/polym14194205
Chicago/Turabian StyleSempere-Torregrosa, Jaume, Jose Miguel Ferri, Harrison de la Rosa-Ramírez, Cristina Pavon, and Maria Dolores Samper. 2022. "Effect of Epoxidized and Maleinized Corn Oil on Properties of Polylactic Acid (PLA) and Polyhydroxybutyrate (PHB) Blend" Polymers 14, no. 19: 4205. https://doi.org/10.3390/polym14194205
APA StyleSempere-Torregrosa, J., Ferri, J. M., de la Rosa-Ramírez, H., Pavon, C., & Samper, M. D. (2022). Effect of Epoxidized and Maleinized Corn Oil on Properties of Polylactic Acid (PLA) and Polyhydroxybutyrate (PHB) Blend. Polymers, 14(19), 4205. https://doi.org/10.3390/polym14194205

