Effect of a Superabsorbent Polymer (Poly-Gamma-Glutamic Acid) on Water and Salt Transport in Saline Soils under the Influence of Multiple Factors
Abstract
1. Introduction
2. Materials and Methods
2.1. Experimental Materials
2.1.1. Soil Sample
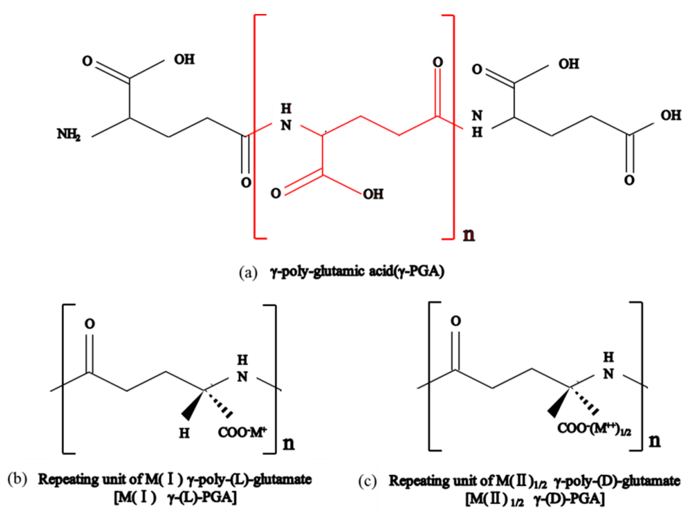
2.1.2. Physical and Chemical Properties of γ-PGA
2.2. Experimental Method and Measurement
2.2.1. The Measurement of Soil-Water Retention Curves (SWRC)
2.2.2. Soil Infiltration Experiments under Single Factor Influences
2.2.3. Soil Solute (Calcium Chloride) Transport Experiments
2.3. Evaluation Criteria
2.4. Soil Infiltration Model
HYDRUS-1D Model [36]:
2.5. Statistical Analysis
3. Results and Discussion
3.1. Effects of γ-PGA on Soil Infiltration Characteristics under a Single Factor
3.1.1. Cumulative Infiltration and Infiltration Rate
3.1.2. Infiltration Parameters
3.1.3. Soil Water Holding Capacity
3.2. Effects of γ-PGA on Soil Infiltration Characteristics under Multi-Factors
3.2.1. Cumulative Infiltration and Infiltration Rate
3.2.2. The Relationship between Wetting Front and Infiltration
3.2.3. Model Validation
3.3. Effects of γ-PGA on Cl−Transport
4. Conclusions
Author Contributions
Funding
Institutional Review Board Statement
Informed Consent Statement
Data Availability Statement
Conflicts of Interest
References
- Heng, T.; Feng, G.; Yang, L.L.; He, X.L.; Yang, G.; Li, F.D.; Xu, X.; Feng, Y. Soil salt balance in a cotton field under drip irrigation and subsurface pipe drainage systems. Agron. J. 2021, 113, 4875–4888. [Google Scholar] [CrossRef]
- Minhas, P.S.; Ramos, T.B.; Ben-Gal, A.; Pereira, L.S. Coping with salinity in irrigated agriculture: Crop evapotranspiration and water management issues. Agric. Water Manag. 2020, 227, 105832. [Google Scholar] [CrossRef]
- Xu, H.; Song, J. Drivers of the irrigation water rebound effect: A case study of Hetao irrigation district in Yellow River basin, China. Agric. Water Manag. 2022, 266, 107567. [Google Scholar] [CrossRef]
- He, Z.; Gong, K.; Zhang, Z.; Dong, W.; Feng, H.; Yu, Q.; He, J. What is the past, present, and future of scientific research on the Yellow River Basin?—A bibliometric analysis. Agric. Water Manag. 2022, 262, 107404. [Google Scholar] [CrossRef]
- Lan, H.; Peng, J.; Zhu, Y.; Li, L.; Pan, B.; Huang, Q.; Li, J.; Zhang, Q. Research on geological and surfacial processes and major disaster effects in the Yellow River Basin. Sci. China Earth Sci. 2022, 65, 23. (In Chinese) [Google Scholar] [CrossRef]
- Zhao, C.; Zhang, L.; Zhang, Q.; Wang, J.; Wang, S.; Zhang, M.; Liu, Z. The effects of bio-based superabsorbent polymers on the water/nutrient retention characteristics and agricultural productivity of a saline soil from the Yellow River Basin, China. Agric. Water Manag. 2022, 261, 107388. [Google Scholar] [CrossRef]
- Lin, Q.; Wang, S.; Li, Y.; Riaz, L.; Yu, F.; Yang, Q.; Han, S.; Ma, J. Effects and mechanisms of land-types conversion on greenhouse gas emissions in the Yellow River floodplain wetland. Sci. Total Environ. 2022, 813, 152406. [Google Scholar] [CrossRef]
- Lai, J.; Liu, T.; Luo, Y. Evapotranspiration partitioning for winter wheat with shallow groundwater in the lower reach of the Yellow River Basin. Agric. Water Manag. 2022, 266, 107561. [Google Scholar] [CrossRef]
- Zhu, H.; Yang, J.S.; Yao, R.J.; Gao, S.; Cao, Y.F.; Sun, Y.P. Effects of partial substitution of organic nitrogen for inorganic nitrogen in fertilization on salinity and nitrogen utilization in salinized coastal soil. Chin. J. Eco-Agric. 2019, 27, 441–450. (In Chinese) [Google Scholar]
- Li, Y.; Wang, W.Y.; Wang, Q.J. A breakthrough thought for water saving and salinity control in arid and semi-arid area under film trickle irrigation. Irrig. Drain. 2001, 20, 42–46. (In Chinese) [Google Scholar]
- Guo, J.; Shi, W.; Wang, P.; Hao, Q.; Li, J. Performance characterization of γ-poly (glutamic acid) super absorbent polymer and its effect on soil water availability. Arch. Agron. Soil Sci. 2022, 68, 1145–1158. [Google Scholar] [CrossRef]
- Zhang, L.; Wei, Z.; Wang, L.; Sun, Y.; Pei, J.; Wang, J.; Gao, J.; Zhang, L.; Shi, Y. Fate of urea and ammonium sulfate in the plant and soil system as affected by poly-γ-glutamic acid. J. Soil Sci. Plant Nutr. 2022, 22, 2457–2468. [Google Scholar] [CrossRef]
- Xu, Z.; Lei, P.; Feng, X.; Xu, X.; Xu, H.; Yang, H.; Tang, W. Effect of poly(γ-glutamic acid) on microbial community and nitrogen pools of soil. Acta Agric. Scand. Sect. B Soil Plant Sci. 2013, 63, 657–668. [Google Scholar] [CrossRef]
- Xu, Z.; Wan, C.; Xu, X.; Feng, X.; Xu, H. Effect of poly (γ-glutamic acid) on wheat productivity, nitrogen use efciency and soil microbes. J. Soil Sci. Plant. Nutr. 2013, 13, 744–755. [Google Scholar]
- Zhang, L.; Yang, X.; Gao, D.; Wang, L.; Li, J.; Wei, Z.; Shi, Y. Efects of poly-γ-glutamic acid (γ-PGA) on plant growth and its distribution in a controlled plant-soil system. Sci. Rep. 2017, 7, 6090. [Google Scholar] [CrossRef]
- Wang, X.; Sun, R.; Tian, Y.; Guo, K.; Sun, H.; Liu, X.; Chu, H.; Liu, B. Long term phytoremediation of coastal saline soil reveals plant species-specific patterns of microbial community recruitmnent. mSystems 2020, 5, e00741-19. [Google Scholar] [CrossRef]
- Yang, Z.H.; Dong, C.D.; Chen, C.W.; Sheu, Y.T.; Kao, C.M. Using poly-glutamic acid as soil-washing agent to remediate heavy metal-contaminated soils. Environ. Sci. Pollut. Res. 2018, 25, 5231–5242. [Google Scholar] [CrossRef]
- Peng, Y.P.; Chang, Y.C.; Chen, K.F.; Wang, C.H. A field pilot-scale study on heavy metal contaminated soil washing by using an environmentally friendly agent—poly-r-glutamic acid (r PGA). Environ. Sci. Pollut. Res. 2020, 27, 34760–34769. [Google Scholar] [CrossRef]
- Pang, X.; Lei, P.; Feng, X.; Xu, Z.; Xu, H.; Liu, K. Poly-γ-glutamic acid, a bio-chelator, alleviates the toxicity of Cd and Pb in the soil and promotes the establishment of healthy Cucumis sativus L. seedling. Environ. Sci. Pollut. Res. 2018, 25, 19975–19988. [Google Scholar] [CrossRef]
- Liang, J.; Shi, W.; He, Z.; Pang, L.; Zhang, Y. Effects of poly-γ-glutamic acid on water use efficiency, cotton yield, and fiber quality in the sandy soil of souther Xinjiang, China. Agric. Water Manag. 2019, 218, 48–59. [Google Scholar] [CrossRef]
- Tang, D.; Mao, L.; Zhi, Y.E.; Zhang, J.Z.; Zhou, P.; Chai, X.T. Investigation and canonical correspondence analysis of salinity contents in secondary salinization greenhouse soils in Shanghai suburb. Environ. Sci. 2014, 35, 4705–4711. (In Chinese) [Google Scholar]
- Wu, Q.; Cui, Y.; Li, Q.; Sun, J. Effective removal of heavy metals from industrial sludge with the aid of a biodegradable chelating ligand GLDA. J. Hazard Mater. 2015, 283, 748–754. [Google Scholar] [CrossRef] [PubMed]
- Giri, B.; Kapoor, R.; Mukerji, K.G. VA mycorrhizal techniques/VAM Technology in establishment of plants under salinity stress conditions. In Techniques in Mycorrhizal Studies; Mukerji, K.G., Manorachari, C., Singh, J., Eds.; Kluwer: Dordrecht, The Netherlands, 2002; pp. 313–327. [Google Scholar]
- Song, Y.; Yang, X.; Yang, S.; Wang, J. Transcriptome sequencing and functional analysis of Sedum lineare Thunb. upon salt stress. Mol. Genet. Genom. 2019, 294, 1441–1453. [Google Scholar] [CrossRef]
- Sharda, A.K. Influence of soil bulk density on horizontal water infiltration. Soil Res. 1977, 15, 83–86. [Google Scholar] [CrossRef]
- Wang, H.T. Dynamics of Fluid Flow and Contaminant Transport in Porous Media; Higher Education Press: Beijing, China, 2008; pp. 36–37. [Google Scholar]
- Islam, M.N.; Bell, R.W.; Barrett-Lennard, E.G.; Maniruzzaman, M. Shallow surface and subsurface drains alleviate waterlogging and salinity in a clay-textured soil and improve the yield of sunflower in the Ganges Delta. Agron. Sustain. Dev. 2022, 42, 1–17. [Google Scholar] [CrossRef]
- Hu, Y.; Kang, S.; Ding, R.; Zhao, Q. A crude protein and fiber model of alfalfa incorporating growth age under water and salt stress. Agric. Water Manag. 2021, 255, 107037. [Google Scholar] [CrossRef]
- Zeng, J.; Fei, L.; Chen, L.; Yang, Y. Effects of γ-PGA on soil structure and water-holding characteristics. J. Soil Water Conserv. 2018, 32, 217–224. (In Chinese) [Google Scholar]
- Mualem, Y. A new model for predicting the hydraulic conductivity of unsaturated porous media. Water Resour. Res. 1976, 12, 513–522. [Google Scholar] [CrossRef]
- Van Genuchten, M.T. A closed-form equation for predicting the hydraulic conductivity of unsaturated soils. Soil Sci. Soc. Am. J. 1980, 44, 892–898. [Google Scholar] [CrossRef]
- Van Genuchten, M.T.; Leij, F.J.; Yates, S.R. The RETC Code for Quantifying the Hydraulic Functions of Unsaturated Soils; EPA/600/2-91/065 (NTIS 92-119668); Environmental Protection Agency: Washington, DC, USA, 1991. [Google Scholar]
- Karamov, R.; Akhatov, I.; Sergeichev, I.V. Prediction of Fracture Toughness of Pultruded Composites Based on Supervised Machine Learning. Polymers 2022, 14, 3619. [Google Scholar] [CrossRef]
- Yichen, Z.H.U.; Guangming, L.I.U.; Xin, L.I.U.; Feng, P.E.I.; Xu, T.I.A.N.; Chao, S.H.I. Investigation on Interrelation of Field Corrosion Test and Accelerated Corrosion Test of Grounding Materials in Red Soil Environment. J. Chin. Soc. Corros. Prot. 2019, 39, 550–556. (In Chinese) [Google Scholar]
- Philip, J.R. The theory of infiltration: 4. Sorptivity and algebraic infiltration equations. Soil Sci. 1957, 84, 257–264. [Google Scholar] [CrossRef]
- Simunek, J.; Van Genuchten, M.T.; Sejna, M. The HYDRUS-1D Software Package for Simulating the One-Dimensional Movement of Water, Heat, and Multiple Solutes in Variablysaturated Media; Version 3.0. Department of Environmental Sciences; University of California Riverside: Riverside, CA, USA, 2005; 270p. [Google Scholar]
- Guo, J.; Shi, W.; Wen, L.; Shi, X.; Li, J. Effects of a super-absorbent polymer derived from poly-γ-glutamic acid on water infiltration, field water capacity, soil evaporation, and soil water-stable aggregates. Arch. Agron. Soil Sci. 2020, 66, 1627–1638. [Google Scholar] [CrossRef]
- Liang, J.P.; Shi, W.J. Poly-γ-glutamic acid improves water-stable aggregates, nitrogen and phosphorus uptake efficiency, water-fertilizer productivity, and economic benefit in barren desertified soils of Northwest China. Agric. Water Manag. 2021, 245, 106551. [Google Scholar] [CrossRef]
- Shi, X.X.; Shi, W.J.; Pang, L.N.; Wen, L.J.; Gao, Z.Y. Effects of Y-Polyglutamic Acid on Soil Water and Nitrogen Transport Characteristics. J. Soil Water Conserv. 2020, 34, 191–197. (In Chinese) [Google Scholar]
- Huang, Q.Y.; Tang, S.H.; Li, P.; Fu, H.T.; Zhang, M.; Huang, X.; Yi, Q.; Zhang, F.B. Agronomic effects of coating material γ-polyglutamic acid on Chinese flowering cabbage. J. Plant Nutr. Fertil. 2016, 22, 1645–1654. [Google Scholar]
- Bai, W.; Song, J.; Li, M.; Wang, Y.; Wu, Y.; Liu, B.; Wang, C.; Wang, X. Effect of super absorbent polymer on vertical infiltration characteristics of soil water. Trans. Chin. Soc. Agric. Eng. 2009, 25, 18–23. [Google Scholar]
- Green, W.H.; Ampt, G.A. Studies on soil physics. J. Agric. Sci. 1911, 4, 1–24. [Google Scholar] [CrossRef]
- Van Genuchten, M.T.; Šimunek, J.; Leij, F.J.; Toride, N.; Šejna, M. STANMOD: Model use, calibration, and validation. Trans. ASABE 2012, 55, 1355–1366. [Google Scholar] [CrossRef]
- Alkhasha, A.; Al-Omran, A.; Aly, A. Effects of biochar and synthetic polymer on the hydro-physical properties of sandy soils. Sustainability 2018, 10, 4642. [Google Scholar] [CrossRef]
- Han, Y.G.; Wu, H.F.; Yang, P.L.; Ding, T.; Xin, X.H.; Sun, M.; Song, H.; Li, Y.Y. Dynamic effects of super absorbent polymer on physical properties and water infiltration of soil. Agric. Res. Arid. Areas 2013, 31, 161–167. [Google Scholar]











| The Soil Type | Volume Fraction/% | Median Particle Size | Initial Physical and Chemical Parameters of The Soil | |||||
|---|---|---|---|---|---|---|---|---|
| Clay | Silt | Sand | D50 | Initial Moisture Content | Saturated Water Content | pH Value | ||
| (<0.002 mm) | (≥0.002~0.02 mm) | (≥0.02~2 mm) | (μm) | (cm 3·cm−3) | (cm 3·cm−3) | (g·kg−1) | (-) | |
| Sandy Loam | 1.5 | 29.0 | 69.5 | 44.53 | 6.90 | 40.26 | 0.59 44.53 84.13 | 7.93 |
| Treatment | Bulk Density | Depth of γ-PGA Application | γ-PGA Content |
|---|---|---|---|
| (g cm−3) | (cm) | (%) | |
| No. 1 | 1.3 | 5–25 | 0.1 |
| No. 2 | 1.3 | 15–35 | 0.2 |
| No. 3 | 1.3 | 25–45 | 0.3 |
| No. 4 | 1.35 | 5–25 | 0.2 |
| No. 5 | 1.35 | 15–35 | 0.3 |
| No. 6 | 1.35 | 25–45 | 0.1 |
| No. 7 | 1.4 | 5–25 | 0.3 |
| No. 8 | 1.4 | 15–35 | 0.2 |
| No. 9 | 1.4 | 25–45 | 0.1 |
| No. 10 | 1.32 | 8–28 | 0.12 |
| No. 11 | 1.34 | 13–33 | 0.19 |
| No. 12 | 1.38 | 18–38 | 0.28 |
| Treatments (γ-PGA Content%) | Parameters of VG Model (Inversed by HYDRUS-1D) | Measured | R2 | RMSE | MAE | ME | ||||
|---|---|---|---|---|---|---|---|---|---|---|
| Bulk Density | θr (cm3·cm3) | θs (cm3·cm3) | α | n | Ks (cm·min−1) | |||||
| CK1 (0%) | 1.30 | 0.031 | 0.40 | 0.0378 | 1.47 | 0.098 | 0.99 | 0.02 | 0.01 | 0.00 |
| CK2 (0%) | 1.35 | 0.031 | 0.39 | 0.0369 | 1.48 | 0.085 | 0.99 | 0.02 | 0.02 | 0.00 |
| CK3 (0%) | 1.40 | 0.031 | 0.38 | 0.0361 | 1.49 | 0.073 | 0.99 | 0.00 | 0.00 | 0.00 |
| 0.1% | 1.30 | 0.032 | 0.42 | 0.0384 | 1.42 | 0.095 | 0.99 | 0.01 | 0.00 | 0.00 |
| 0.2% | 1.30 | 0.032 | 0.43 | 0.0395 | 1.40 | 0.089 | 0.99 | 0.02 | 0.02 | 0.00 |
| 0.3% | 1.30 | 0.033 | 0.43 | 0.0407 | 1.36 | 0.084 | 0.99 | 0.00 | 0.00 | 0.00 |
| 0.1% | 1.35 | 0.032 | 0.40 | 0.0372 | 1.45 | 0.080 | 0.99 | 0.02 | 0.01 | 0.00 |
| 0.2% | 1.35 | 0.032 | 0.42 | 0.0381 | 1.43 | 0.078 | 0.99 | 0.00 | 0.00 | 0.00 |
| 0.3% | 1.35 | 0.032 | 0.42 | 0.039 | 1.4 | 0.074 | 0.99 | 0.00 | 0.00 | 0.00 |
| 0.1% | 1.40 | 0.031 | 0.40 | 0.0366 | 1.47 | 0.071 | 0.99 | 0.00 | 0.02 | 0.00 |
| 0.2% | 1.40 | 0.031 | 0.41 | 0.0370 | 1.43 | 0.069 | 0.99 | 0.00 | 0.00 | 0.00 |
| 0.3% | 1.40 | 0.031 | 0.42 | 0.0376 | 1.41 | 0.067 | 0.99 | 0.00 | 0.00 | 0.00 |
| Bulk Density (g·cm−3) | Parameters | CK (0%) | 0.1% | 0.2% | 0.3% |
|---|---|---|---|---|---|
| 1.30 | A | 0.03 ± 0.006 | 0.02 ± 0.002 | 0.02 ± 0.004 | 0.01 ± 0.003 |
| S | 0.45 ± 0.001 | 0.45 ± 0.005 | 0.43 ± 0.001 | 0.41 ± 0.005 | |
| SSE | 0.43 | 0.35 | 0.31 | 0.24 | |
| RMSE | 0.22 | 0.19 | 0.18 | 0.15 | |
| R2 | 1.00 | 0.99 | 0.99 | 0.99 | |
| 1.35 | A | 0.02 ± 0.002 | 0.02 ± 0.004 | 0.02 ± 0.001 | 0.01 ± 0.002 |
| S | 0.41 ± 0.003 | 0.4 ± 0.008 | 0.4 ± 0.007 | 0.38 ± 0.003 | |
| SSE | 0.33 | 0.27 | 0.25 | 0.2 | |
| RMSE | 0.18 | 0.16 | 0.16 | 0.14 | |
| R2 | 0.99 | 0.99 | 0.99 | 0.99 | |
| 1.40 | A | 0.02 ± 0.001 | 0.02 ± 0.002 | 0.01 ± 0.004 | 0.01 ± 0.007 |
| S | 0.38 ± 0.003 | 0.37 ± 0.006 | 0.37 ± 0.005 | 0.36 ± 0.003 | |
| SSE | 0.25 | 0.22 | 0.2 | 0.17 | |
| RMSE | 0.16 | 0.15 | 0.14 | 0.13 | |
| R2 | 0.99 | 0.99 | 0.99 | 0.99 |
| Bulk Density (g·cm−3) | Parameters | Fitting Formula | R2 | SSE | RMSE |
|---|---|---|---|---|---|
| 1.30 | A | 0.99 | 0.038 | 0.021 | |
| S | 0.88 | 0.108 | 0.064 | ||
| 1.35 | A | 0.97 | 0.052 | 0.033 | |
| S | 0.86 | 0.103 | 0.072 | ||
| 1.40 | A | 0.98 | 0.051 | 0.029 | |
| S | 0.96 | 0.060 | 0.027 |
| Level | Bulk Density (g cm−3) | The Depth of γ-PGA Application (cm) | The Amount of γ-PGA Application (%) |
|---|---|---|---|
| 1 | 18.2 ± 0.760 Aa | 15.2 ± 0.634 Aa | 16.2 ± 1.133 Aa |
| 2 | 16 ± 0.668 Bb | 16.4 ± 0.689 Bb | 16.0 ± 0.982 Ba |
| 3 | 13.7 ± 0.572 Cc | 16.5 ± 0.844 Cc | 15.9 ± 1.037 Ba |
| Treatment | No. 10 | |||||
|---|---|---|---|---|---|---|
| Time (min) | Cumulative Infiltration of Formula (16) | Wetting Front Distance of Formula (19) | ||||
| Experimental Data (cm) | Calculated Value (cm) | Relative Deviation (%) | Experimental Data (cm) | Calculated Value (cm) | Relative Deviation (%) | |
| 15 | 2.4 | 2.1 | −13.3 | 8.9 | 8.6 | −3.4 |
| 20 | 2.7 | 2.5 | −10.4 | 9.9 | 10.0 | 1.4 |
| 30 | 3.4 | 3.1 | −7.0 | 12.1 | 12.5 | 3.3 |
| 45 | 4.2 | 4.0 | −4.3 | 15.2 | 15.5 | 2.2 |
| 60 | 5.0 | 4.8 | −2.9 | 17.0 | 18.1 | 6.7 |
| 90 | 6.4 | 6.2 | −2.2 | 20.7 | 22.6 | 9.1 |
| 120 | 7.6 | 7.4 | −2.9 | 25.0 | 26.4 | 5.4 |
| 150 | 8.9 | 8.5 | −4.2 | 28.3 | 29.7 | 5.1 |
| 180 | 10.1 | 9.5 | −5.8 | 32.0 | 32.8 | 2.5 |
| 240 | 12.6 | 11.4 | −9.3 | 40.0 | 38.3 | −4.3 |
| 300 | 14.1 | 13.1 | −7.2 | 47.0 | 43.2 | −8.1 |
| 360 | 16.1 | 14.6 | −9.2 | 52.8 | 47.7 | −9.8 |
| Treatment | No. 11 | |||||
| Time (min) | Cumulative Infiltration of Formula (16) | Wetting Front Distance of Formula (19) | ||||
| Experimental Data (cm) | Calculated Value (cm) | Relative Deviation (%) | Experimental Data (cm) | Calculated Value (cm) | Relative Deviation (%) | |
| 15 | 2.3 | 2.0 | −14.1 | 8.7 | 8.39 | −3.5 |
| 20 | 2.6 | 2.3 | −11.1 | 9.6 | 9.80 | 2.1 |
| 30 | 3.2 | 3.0 | −7.5 | 11.8 | 12.20 | 3.4 |
| 45 | 4.0 | 3.8 | −5.0 | 14.3 | 15.18 | 6.1 |
| 60 | 4.8 | 4.6 | −4.0 | 16.6 | 17.72 | 6.8 |
| 90 | 6.1 | 5.9 | −3.8 | 20.1 | 22.05 | 9.7 |
| 120 | 7.4 | 7.1 | −4.6 | 24.1 | 25.75 | 6.8 |
| 150 | 8.6 | 8.1 | −6.0 | 27.7 | 29.04 | 4.8 |
| 180 | 9.8 | 9.1 | −7.5 | 31.6 | 32.04 | 1.4 |
| 240 | 11.5 | 10.8 | −6.0 | 39.6 | 37.41 | −5.5 |
| 300 | 12.9 | 12.4 | −3.4 | 45 | 42.19 | −6.2 |
| 360 | 13.8 | 13.9 | 1.2 | 50.6 | 46.6 | −8.0 |
| Treatment | No. 12 | |||||
| Time/min | Cumulative Infiltration of Formula (16) | Wetting Front Distance of Formula (19) | ||||
| Experimental Data (cm) | Calculated Value (cm) | Relative Deviation (%) | Experimental Data (cm) | Calculated Value (cm) | Relative Deviation (%) | |
| 15 | 2.1 | 1.8 | −12.5 | 8.2 | 7.84 | −4.4 |
| 20 | 2.4 | 2.2 | −9.3 | 9.4 | 9.2 | −2.6 |
| 30 | 3.0 | 2.8 | −5.5 | 11.5 | 11.4 | −1.3 |
| 45 | 3.7 | 3.6 | −2.8 | 13.9 | 14.2 | 2.0 |
| 60 | 4.4 | 4.3 | −1.5 | 15.8 | 16.6 | 4.8 |
| 90 | 5.6 | 5.5 | −1.2 | 19.6 | 20.6 | 5.1 |
| 120 | 6.7 | 6.6 | −2.0 | 23.2 | 24.1 | 3.7 |
| 150 | 7.8 | 7.6 | −3.3 | 26.4 | 27.1 | 2.8 |
| 180 | 8.9 | 8.5 | −4.8 | 29.8 | 29.9 | 0.4 |
| 240 | 10.9 | 10.1 | −7.4 | 35.2 | 35.0 | −0.7 |
| 300 | 12.4 | 11.6 | −6.4 | 41.6 | 39.4 | −5.3 |
| 360 | 13.0 | 13.0 | 0.4 | 48.2 | 43.5 | −9.8 |
| γ-PGA (%) | t0 | t1 | R | λ cm−1 | v | D | R2 |
|---|---|---|---|---|---|---|---|
| min | min | cm·min−1 | cm2·min−1 | ||||
| CK (0) | 304.3 | 507.1 | 0.74 | 0.45 | 0.03 | 0.02 | 0.99 |
| 0.1 | 358.0 | 716.0 | 0.81 | 0.35 | 0.03 | 0.01 | 0.99 |
| 0.2 | 494.4 | 1236.0 | 0.86 | 0.62 | 0.03 | 0.02 | 0.99 |
| 0.3 | 562.8 | 1407.0 | 0.80 | 0.77 | 0.03 | 0.02 | 0.99 |
Publisher’s Note: MDPI stays neutral with regard to jurisdictional claims in published maps and institutional affiliations. |
© 2022 by the authors. Licensee MDPI, Basel, Switzerland. This article is an open access article distributed under the terms and conditions of the Creative Commons Attribution (CC BY) license (https://creativecommons.org/licenses/by/4.0/).
Share and Cite
Fu, Y.; Wang, S.; Gao, S.; Wang, S.; Gao, Z.; He, Z. Effect of a Superabsorbent Polymer (Poly-Gamma-Glutamic Acid) on Water and Salt Transport in Saline Soils under the Influence of Multiple Factors. Polymers 2022, 14, 4056. https://doi.org/10.3390/polym14194056
Fu Y, Wang S, Gao S, Wang S, Gao Z, He Z. Effect of a Superabsorbent Polymer (Poly-Gamma-Glutamic Acid) on Water and Salt Transport in Saline Soils under the Influence of Multiple Factors. Polymers. 2022; 14(19):4056. https://doi.org/10.3390/polym14194056
Chicago/Turabian StyleFu, Yuliang, Shunsheng Wang, Shikai Gao, Songlin Wang, Zhikai Gao, and Zhenjia He. 2022. "Effect of a Superabsorbent Polymer (Poly-Gamma-Glutamic Acid) on Water and Salt Transport in Saline Soils under the Influence of Multiple Factors" Polymers 14, no. 19: 4056. https://doi.org/10.3390/polym14194056
APA StyleFu, Y., Wang, S., Gao, S., Wang, S., Gao, Z., & He, Z. (2022). Effect of a Superabsorbent Polymer (Poly-Gamma-Glutamic Acid) on Water and Salt Transport in Saline Soils under the Influence of Multiple Factors. Polymers, 14(19), 4056. https://doi.org/10.3390/polym14194056
