The Effects of Carbon–Silica Dual-Phase Filler on the Crosslink Structure of Natural Rubber
Abstract
:1. Introduction
2. Materials and Methods
2.1. Materials
2.2. Preparation of Composites
2.3. Characterization
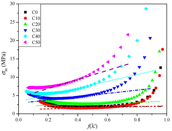
3. Results
3.1. Dispersion of CSDPF
3.2. Crosslink Structure of Vulcanization Network
3.3. Network Structure of CSDPF/NR
4. Conclusions
Author Contributions
Funding
Institutional Review Board Statement
Informed Consent Statement
Data Availability Statement
Conflicts of Interest
Abbreviations
| CSDPF | Carbon–silica dual-phase filler |
| NR | Natural rubber |
| ZnO | Zinc oxide |
| RD | Poly(1,2-dihydro−2,2,4-trimethyl-quinoline) |
| NS | N-tert-Butyl-2-benzothiazolesulfenamide |
| XLD | Crosslink density |
| NMR | Nuclear magnetic resonance |
| MAS | Magic-angle spin |
| T2 | Spin–spin relaxation time |
| CPMG | Carr–Purcell–Meiboom–Gill |
| BdR | Bound rubber |
| Gc | Contribution of chemical crosslink to the elastic modulus |
| Ge | Contribution of physical crosslink to the elastic modulus |
References
- Scotti, R.; Wahba, L.; Crippa, M.; D’Arienzo, M.; Donetti, R.; Santo, N.; Morazzoni, F. Rubber-silica nanocomposites obtained by in situ sol-gel method: Particle shape influence on the filler-filler and filler-rubber interactions. Soft Matter 2012, 8, 2131–2143. [Google Scholar] [CrossRef]
- Wang, M.J. The Role of Filler Networking in Dynamic Properties of Filled Rubber. Rubber Chem. Technol. 1999, 72, 430–448. [Google Scholar] [CrossRef]
- Wang, M.J.; Lu, S.X.; Mahmud, K. Carbon–silica dual-phase filler, a new-generation reinforcing agent for rubber. Part VI. Time–temperature superposition of dynamic properties of carbon–silica-dual-phase-filler-filled vulcanizates. J. Polym. Sci. Part B Polym. Phys. 2000, 38, 1240–1249. [Google Scholar] [CrossRef]
- Zhang, P.; Wang, M.-J.; Kutsovsky, Y.; Laube, S.; Mahmud, K. A New Generation Carbon-Silica Dual Phase Filler (Csdpf) Part II. Application to Passenger Tread Compounds for Improved Tradeoff Among Rolling Resistance, Wet Traction and Treadwear Performance; Meeting of Rubber Division, ACS: Cleveland, OH, USA, 2001. [Google Scholar]
- Xiong, X.; Wang, J.Y.; Jia, H.B.; Ding, L.F.; Dai, X.; Fei, X. Synergistic effect of carbon black and carbon–silica dual phase filler in natural rubber matrix. Polym. Compos. 2014, 35, 1466–1472. [Google Scholar] [CrossRef]
- Donnet, J.B. Reinforcement of Elastomers by Particulate Fillers. In The Science and Technology of Rubber; Mark, J.E., Erman, B., Roland, M., Eds.; Academic Press: Burlington, MA, USA, 2005; pp. 367–400. [Google Scholar]
- Vidal, A.; Haidar, B. Filled Elastomers: Characteristics and Properties of Interfaces and Interphases, and Their Role in Reinforcement Processes. Soft Mater. 2007, 5, 155–167. [Google Scholar] [CrossRef]
- Woff, S.; Wang, M.-J. Carbon Black Reinforcement of Elastomers. In Carbon Black: Science and Technology; Donnet, J.-B., Ed.; CRC Press: London, UK, 1993; pp. 289–356. [Google Scholar]
- Litvinov, V.M.; Orza, R.A.; Klüppel, M.; van Duin, M.; Magusin, P.C.M.M. Rubber—Filler Interactions and Network Structure in Relation to Stress–Strain Behavior of Vulcanized, Carbon Black Filled EPDM. Macromolecules 2011, 44, 4887–4900. [Google Scholar] [CrossRef]
- Wang, M.-J.; Zhang, P.; Mahmud, K. Carbon—Silica Dual Phase Filler, a new Generation Reinforcing Agent for Rubber: Part IX. Application to Truck Tire Tread Compound. Rubber Chem. Technol. 2001, 74, 124–137. [Google Scholar] [CrossRef]
- Saatchi, M.M.; Shojaei, A. Effect of carbon-based nanoparticles on the cure characteristics and network structure of styrene–butadiene rubber vulcanizate. Polym. Int. 2012, 61, 664–672. [Google Scholar] [CrossRef]
- Koenig, J.L. Spectroscopic Characterization of the Molecular Structure of Elastomeric Networks. Rubber Chem. Technol. 2000, 73, 385–404. [Google Scholar] [CrossRef]
- Heinrich, G.; Vilgis, T.A. Contribution of entanglements to the mechanical properties of carbon black-filled polymer networks. Macromolecules 1993, 26, 1109–1119. [Google Scholar] [CrossRef]
- Bokobza, L. The Reinforcement of Elastomeric Networks by Fillers. Macromol. Mater. Eng. 2004, 289, 607–621. [Google Scholar] [CrossRef]
- Joly, S.; Garnaud, G.; Ollitrault, R.; Bokobza, L.; Mark, J.E. Organically Modified Layered Silicates as Reinforcing Fillers for Natural Rubber. Chem. Mater. 2002, 14, 4202–4208. [Google Scholar] [CrossRef]
- Flory, P.J. Effects of Molecular Structure on Physical Properties of Butyl Rubber. Ind. Eng. Chem. 1946, 38, 417–436. [Google Scholar] [CrossRef]
- Lin, W.; Bian, M.; Yang, G.; Chen, Q. Strain-induced crystallization of natural rubber as studied by high-resolution solid-state 13C NMR spectroscopy. Polymer 2004, 45, 4939–4943. [Google Scholar] [CrossRef]
- Varghese, T.V.; Ajith Kumar, H.; Anitha, S.; Ratheesh, S.; Rajeev, R.S.; Lakshmana Rao, V. Reinforcement of acrylonitrile butadiene rubber using pristine few layer graphene and its hybrid fillers. Carbon 2013, 61, 476–486. [Google Scholar] [CrossRef]
- Wolff, S.; Wang, M.-J.; Tan, E.-H. Filler-Elastomer Interactions. Part VII. Study on Bound Rubber. Rubber Chem. Technol. 1993, 66, 163–177. [Google Scholar] [CrossRef]
- Orza, R.A.; Magusin, P.C.M.M.; Litvinov, V.M.; van Duin, M.; Michels, M.A.J. Solid-State 1H NMR Study on Chemical Cross-Links, Chain Entanglements, and Network Heterogeneity in Peroxide-Cured EPDM Rubbers. Macromolecules 2007, 40, 8999–9008. [Google Scholar] [CrossRef]
- Orza, R.A.; Magusin, P.C.M.M.; Litvinov, V.M.; van Duin, M.; Michels, M.A.J. Network Density and Diene Conversion in Peroxide-Cured Gumstock EPDM Rubbers. A Solid-State NMR Study. Macromol. Symp. 2005, 230, 144–148. [Google Scholar] [CrossRef]




| Sample | Constituent (Phr, Per Hundred Rubber) | |
|---|---|---|
| CSDPF | NR | |
| C0 | 0 | 100 |
| C10 | 10 | 100 |
| C20 | 20 | 100 |
| C30 | 30 | 100 |
| C40 | 40 | 100 |
| C50 | 50 | 100 |
| Sample | C0 | C10 | C20 | C30 | C40 | C50 | ||
|---|---|---|---|---|---|---|---|---|
| Signal-to-noise ratio | 1105 | 1009 | 1053 | 1130 | 1081 | 981 | ||
| Relative intensity of signals (×100) | Mono-sulfidic crosslink | 44.7 ppm | 3.5 | 2.1 | 3.6 | 2.1 | 2.4 | 3.6 |
| Poly-sulfidic crosslink | 44.1 ppm | 3.5 | 2.3 | 3.8 | 2.3 | 2.6 | 3.5 | |
| 50.4 ppm | 3.1 | 2.2 | 3.2 | 1.8 | 2.1 | 3.2 | ||
| 58.0 ppm | 2.8 | 1.7 | 2.9 | 1.6 | 1.8 | 3.5 | ||
| Mono-sulfidic crosslink (%) | 27.2 | 25.9 | 26.9 | 27.3 | 27.0 | 26.0 | ||
| Poly-sulfidic crosslink (%) | 72.8 | 74.1 | 73.1 | 72.7 | 73.0 | 74.0 | ||
| Sample | Gc (MPa) | Ge (MPa) | Gc + Ge (MPa) | (10−2 ms−1) | XLD (104 mol·cm−3) |
|---|---|---|---|---|---|
| C0 | 2.0 | 0.7 | 2.7 | 4.73 | 4.32 |
| C10 | 1.2 | 1.0 | 2.2 | 5.36 | 3.78 |
| C20 | 2.1 | 1.3 | 3.4 | 5.87 | 4.64 |
| C30 | 2.9 | 4.5 | 7.4 | 6.38 | 5.40 |
| C40 | 3.4 | 9.2 | 12.6 | 6.57 | 6.08 |
| C50 | 4.4 | 12.4 | 16.8 | 7.21 | 6.33 |
Publisher’s Note: MDPI stays neutral with regard to jurisdictional claims in published maps and institutional affiliations. |
© 2022 by the authors. Licensee MDPI, Basel, Switzerland. This article is an open access article distributed under the terms and conditions of the Creative Commons Attribution (CC BY) license (https://creativecommons.org/licenses/by/4.0/).
Share and Cite
Wang, J.; Jia, H. The Effects of Carbon–Silica Dual-Phase Filler on the Crosslink Structure of Natural Rubber. Polymers 2022, 14, 3897. https://doi.org/10.3390/polym14183897
Wang J, Jia H. The Effects of Carbon–Silica Dual-Phase Filler on the Crosslink Structure of Natural Rubber. Polymers. 2022; 14(18):3897. https://doi.org/10.3390/polym14183897
Chicago/Turabian StyleWang, Jingyi, and Hongbing Jia. 2022. "The Effects of Carbon–Silica Dual-Phase Filler on the Crosslink Structure of Natural Rubber" Polymers 14, no. 18: 3897. https://doi.org/10.3390/polym14183897
APA StyleWang, J., & Jia, H. (2022). The Effects of Carbon–Silica Dual-Phase Filler on the Crosslink Structure of Natural Rubber. Polymers, 14(18), 3897. https://doi.org/10.3390/polym14183897

