Investigating the Deformation Characteristics of Buried High-Density Polyethylene Pipes: Considering the Effect of Sequentially Applying Pressure and Elevating Temperature
Abstract
:1. Introduction
2. Materials and Methods
2.1. Test System and Boundary Conditions
2.2. Pipe
2.3. Backfill Materials
2.4. Control of Vertical Pressure and Temperature during the Test
3. Results
3.1. Circumferential Strain at 20 °C
3.2. Circumferential Strain at 60 °C and 80 °C
3.3. Creep Measurements of the HDPE Pipe
4. Discussion
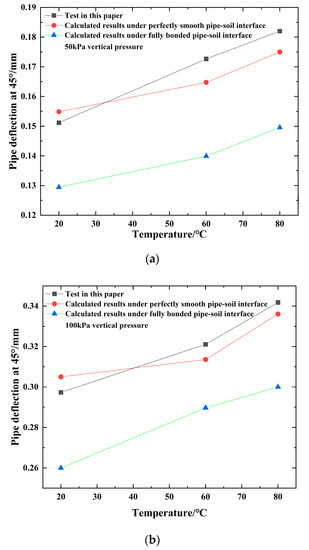
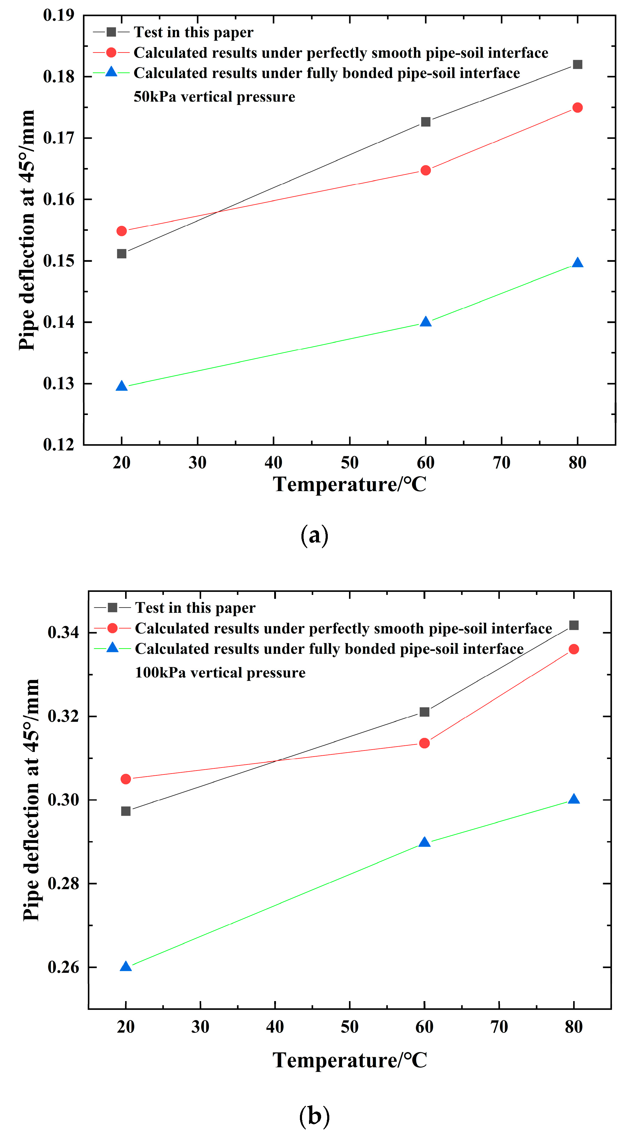
4.1. Comparison with Analytical Analysis
4.2. Comparison of the Buried HDPE Pipe Deflections in the Different Backfill Materials
5. Conclusions
- (1)
- The wall thickness and profile of a pipe contribute uniquely to the overall stiffness of the pipe. Despite this, a broad classification of pipe behavior in relation to the stiffness of the soil in the surrounding area is beneficial.
- (2)
- The strain distributions around a pipe change from a V-shape to a U-shape as the temperature increases from 20 °C to 60 °C and from 60 °C to 80 °C. The deformation profile of the pipe changes from an ellipse to a rectangle when the strain distributions change from a V shape to a U shape.
- (3)
- Even though the deformation profile of a buried HDPE pipe shifts from an ellipse to a rectangle as the ambient temperature rises and the location of the maximum circumferential strain shifts, the current analytical method that considers two extreme interfaces is able to capture the deformation in the model test well.
- (4)
- The findings presented in this paper demonstrate that the elevated temperatures prevalent in landfills lead to deformations in HDPE pipes that result in nonelliptical pipe shapes. Therefore, while designing a pipe that collects leachate from a landfill, in addition to taking into consideration the maximum vertical and horizontal deformations, one should also take into consideration the stress and strain to determine whether the pipe is stable.
Author Contributions
Funding
Institutional Review Board Statement
Informed Consent Statement
Data Availability Statement
Conflicts of Interest
References
- Cowland, J. The Use of Geosynthetics in Landfills in Hong Kong. In Proceedings of the 2nd Asian Geosynthetics Conference, Kuala Lumpur, Malaysia, 29–31 May 2000; pp. 111–117. [Google Scholar]
- Koerner, R.M.; Soong, T. Stability Assessment of Ten Large Landfill Failures; ASCE Library: Online, 2000. [Google Scholar]
- Moore, I.D. Buried Pipes and Culverts. In Geotechnical and Geoenvironmental Engineering Handbook; Kluwer Academic Publishers: London, UK, 2001; pp. 541–567. [Google Scholar]
- Lupo, J.F.; Morrison, K.F. Geosynthetic Design and Construction Approaches in the Mining Industry. Geotext. Geomembr. 2007, 25, 96–108. [Google Scholar] [CrossRef]
- Qian, X.D.; Koerner, R.M. Translational Failure Analysis of Solid Waste Landfills Including Seismicity and Leachate Head Calculations; Geosynthetic research institute, Drexel University: Philadephia, PA, USA, 2007. [Google Scholar]
- Krushelnitzky, R.P.; Brachman, R.W.I. Measured Deformations and Calculated Stresses of High-Density Polyethylene Pipes under Very Deep Burial. Can. Geotech. J. 2009, 46, 650–664. [Google Scholar] [CrossRef]
- Zhan, L.T.; Guan, R.Q.; Chen, Y.M. Monitoring and Back Analyses of Slope Failure Process at a Landfill. Chin. J. Rock Mech. Eng. 2010, 29, 1697–1750. [Google Scholar]
- Krushelnitzky, R.P.; Brachman, R.W.I. Buried High-Density Polyethylene Pipe Deflections at Elevated Temperatures. Geotext. Geomembr. 2013, 40, 69–77. [Google Scholar] [CrossRef]
- Brachman, R.W.I.; Moore, I.D.; Rowe, R.K. The Performance of a Laboratory Facility for Evaluating the Structural Response Small Diameter Buried Pipes. Can. Geotech. J. 2001, 38, 260–275. [Google Scholar] [CrossRef]
- Brachman, R.W.I.; Krushelnitzky, R. Response of a Landfill Drainage Pipe Buried in a Trench. Can. Geotech. J. 2005, 42, 752–762. [Google Scholar] [CrossRef]
- Khatri, D.K.; Han, J.; Parsons, R. Laboratory Evaluation of Deformations of Steel-Reinforced High-Density Polyethylene Pipes under Static Loads. J. Mater. Civ. Eng. 2013, 25, 1964–1969. [Google Scholar] [CrossRef]
- Zhou, M.; Du, Y.J.; Wang, F.; Liu, M.D. Performance of Buried HDPE Pipes—Part I: Peaking Deflection during Initial Backfilling Process. Geosynth. Int. 2017, 24, 383–395. [Google Scholar] [CrossRef]
- Li, L.; Qiao, L.; Fan, J.; Zhang, Y. Mechanical Behavior of Polyethylene Pipes under Strike-Slip Fault Movements. Polymers 2022, 14, 987. [Google Scholar] [CrossRef] [PubMed]
- Yeșiller, N.; Hanson, J.L.; Yee, E.H. Waste Heat Generation: A Comprehensive Review. Waste Manag. 2015, 42, 116–179. [Google Scholar] [CrossRef]
- Bilgin, Ö. Improved Design and Construction Practices for Thermal Loads in Plastic Gas Pipelines. Ph.D. Thesis, Cornell University, Ithaca, NY, USA, 1999. [Google Scholar]
- Bilgin, Ö.; Stewart, H.; O’Rourke, T. Thermal and Mechanical Properties of Polyethylene Pipes. J. Mater. Civ. Eng. 2007, 19, 1043–1052. [Google Scholar] [CrossRef]
- Howard, A.K. Laboratory Load Tests on Buried Flexible Pipe; Bureau of Reclamation: Denver, CO, USA, 1973.
- Howard, A.K. Diametral Elongation of Buried Flexible Pipe. In Proceedings of the International Conference on Underground Plastic Pipe, New Orleans, LA, USA, 30 March–1 April 1981. [Google Scholar]
- GB/T 13663.2; Polyethylene (PE) Piping Systems for Water Supply-Part 2: Pipes. Standardization administration of China: Beijing, China, 2018.
- Luo, W.B. Mechanical Properties of Polymer Materials. In Micro- and Macromechanical Properties of Materials; Zhou, Y.C., Yang, L., Huang, Y.L., Eds.; CRC Press: Boca Raton, FL, USA, 2013. [Google Scholar]
- Li, Y.; Luo, W.; Li, M.; Yang, B.; Liu, X. Strain Rate-Dependent Hyperbolic Constitutive Model for Tensile Behavior of PE100 Pipe Material. Polymers 2022, 14, 1357. [Google Scholar] [CrossRef] [PubMed]
- Li, H.; Luo, Q.; Zhang, Z.; Zhang, L.; Jiang, L. Experimental Study on Control Element of Sand Pourer Preparation of Sand Foundation Model. Chin. J. Geotech. Eng. 2014, 36, 1872–1878. [Google Scholar]
- Ma, X.; Kong, L.; Fang, W.; Gong, B.; Li, H.; Xu, G.; Zhao, W.; Zhang, X.; Chen, Y. Parallel Tests on Preparation of Samples with Sand Pourer. Chin. J. Geotech. Eng. 2014, 36, 1791–18001. [Google Scholar]
- ASTM D 2487; Standard Practice for Classification of Soils for Engineering Purposes (Unified Soil Classification System). American Society of Testing Materials: West Conshohocken, PA, USA, 2011.
- GB 50869; Technical Code for Municipal Solid Waste Sanitary Landfill. Ministry of Housing and Urban-Rural Development of the People’s Republic of China: Beijing, China, 2013.
- Sowers, G.F. Foundation Problem in Sanitary Landfills. J. Sanit. Eng. 1968, 94, 103–116. [Google Scholar] [CrossRef]
- Ham, R.K.; Reinhardt, J.; Sevick, G. Density of Milled and Unprocessed Refuse. J. Environ. Eng. 1978, 104, 109–125. [Google Scholar] [CrossRef]
- Sun, Z.M. The Deformation Characteristics of HDPE Pipes under Load and Temperature. Master’s Thesis, Hohai University, Nanjing, China, 2021. [Google Scholar]
- Rogers, C.D.F. Some Observations on Flexible Pipe Response to Load; Transportation Research Board: Washington, DC, USA, 1988. [Google Scholar]
- Spangler, M.G. Soil Engineering; International Textbook Company: Pennsylvania, PA, USA, 1960. [Google Scholar]
- Spangler, M.G.; Handy, R.L. Soil Engineering, 3rd ed.; Intext Education Publishers: New York, NY, USA, 1973. [Google Scholar]
- Moser, A.P.; Folkman, S. Buried Pipe Design, 3rd ed.; McGraw-Hill: New York, NY, USA, 2008. [Google Scholar]
- Qian, X.D.; Koerner, R.M.; Gray, D.H. Geotechnical Aspect of Landfill Design and Construction; Prentice Hall: Hoboken, NJ, USA, 2002. [Google Scholar]
- Zhang, Y.; Jar, P.Y. Ben Time-Strain Rate Superposition for Relaxation Behavior of Polyethylene Pressure Pipes. Polym. Test 2016, 50, 292–296. [Google Scholar] [CrossRef]
- Zhang, Y.C.; Shi, J.Y.; Fang, W.W. Analytical Solution for Deformation Characteristics of Buried High-Density Polyethylene Pipes Considering Temperature Variations. J. Pipeline Syst. Eng. Pract. 2022, 13, 04022011. [Google Scholar] [CrossRef]
- Abdellah, M.Y.; Alfattani, R.; Alnaser, I.A.; Abdel-Jaber, G.T. Stress Distribution and Fracture Toughness of Underground Reinforced Plastic Pipe Composite. Polymers 2021, 13, 2194. [Google Scholar] [CrossRef] [PubMed]
- Mayet, A.M.; Alizadeh, S.M.; Kakarash, Z.A.; Al-Qahtani, A.A.; Alanazi, A.K.; Grimaldo Guerrero, J.W.; Alhashimi, H.H.; Eftekhari-Zadeh, E. Increasing the Efficiency of a Control System for Detecting the Type and Amount of Oil Product Passing through Pipelines Based on Gamma-Ray Attenuation, Time Domain Feature Extraction, and Artificial Neural Networks. Polymers 2022, 14, 2852. [Google Scholar] [CrossRef]
- Tan, N.; Lin, L.; Deng, T.; Dong, Y. Evaluating the Residual Stress and Its Effect on the Quasi-Static Stress in Polyethylene Pipes. Polymers 2022, 14, 1458. [Google Scholar] [CrossRef] [PubMed]
- Zeng, C.; Gong, C.; Wang, F.; Zhu, Z.; Zhao, Y.; Ariaratnam, S.T. Study of the Structural Mechanical Properties of Drainage Canals Rehabilitated by Spraying Method. Polymers 2022, 14, 2781. [Google Scholar] [CrossRef] [PubMed]
- Selig, E.T. Soil Properties for Plastic Pipe Installations. In Buried Plastic Pipe Technology; George, S.B., Michael, J., Cassady, Eds.; American Society for Testing and Materials: Philadelphia, PA, USA, 1990; pp. 141–158. [Google Scholar]










| Parameter | HDPE Pipe |
|---|---|
| Outer diameter | 110 mm |
| Wall thickness | 10 mm (SDR = 10) 4.2 mm (SDR = 26) |
| Density | 0.955 g/cm3 |
| Melting flow rate (190 °C, 5 kg) | 0.46 g/10 min |
| Elongation at break | 674% |
| Longitudinal reversion rate (100 °C, 2 h) | 0.7% |
| Oxidative induction time (200 °C) | 70 min |
| Parameter | Sand |
|---|---|
| Specific gravity | 2.65 |
| Maximum dry density (g/cm3) | 1.77 |
| Minimum dry density (g/cm3) | 1.60 |
| As-placed dry density (g/cm3) | 1.75 |
| Moisture content (%) | 3.72 |
| D60 (mm) | 0.732 |
| D30 (mm) | 0.406 |
| D10 (mm) | 0.246 |
| Cu | 2.976 |
| Cc | 0.915 |
| Backfill type | Poorly-graded sand (SP) |
| No. | Backfill Materials | Labels | SDR of the HDPE Pipe | Maximum Pressure (kPa) | Temperature (°C) |
|---|---|---|---|---|---|
| 1 | Poorly graded medium-coarse sand | SP1 | 11 | 300 | 20 |
| 2 | SP2 | 26 | 300 | 20 | |
| 3 | SP3 | 50 | 20, 60, 80 | ||
| 4 | SP4 | 100 | 20, 60, 80 | ||
| 5 | SP5 | 150 | 20, 60, 80 | ||
| 6 | SP6 | 200 | 20, 60, 80 |
| Vertical Pressure | Pipe Deformation | 20 °C | 60 °C 3 Days | Increased Factor | 80 °C 3 Days | Increased Factor |
|---|---|---|---|---|---|---|
| 50 kPa | ΔDv | −0.1983 mm | −0.2357 mm | 1.19 | −0.2604 mm | 1.31 |
| ΔDh | 0.1482 mm | 0.1750 mm | 1.18 | 0.1865 mm | 1.26 | |
| 100 kPa | ΔDv | −0.4329 mm | −0.4774 mm | 1.09 | −0.5225 mm | 1.21 |
| ΔDh | 0.2972 mm | 0.3211 mm | 1.08 | 0.3418 mm | 1.15 | |
| 150 kPa | ΔDv | −0.5781 mm | −0.6345 mm | 1.09 | −0.7277 mm | 1.26 |
| ΔDh | 0.4417 mm | 0.4785 mm | 1.08 | 0.5414 mm | 1.23 | |
| 200 kPa | ΔDv | −0.8718 mm | −0.9677 mm | 1.11 | −1.1806 mm | 1.22 |
| ΔDh | 0.6749 mm | 0.7559 mm | 1.12 | 0.9297 mm | 1.23 |
| Soil Type | Perfectly-Smooth Pipe-Soil Interface (Upper Bound of Deflection) | Fully-Bonded Pipe-Soil Interface (Lower Bound of Deflection) | |||
|---|---|---|---|---|---|
| Outer Wall Deflection/m | Inner Wall Deflection/m | Outer Wall Deflection/m | Inner Wall Deflection/m | ||
| Poorly-graded gravel | ΔDh | 0.000899 | 0.000881 | 0.000575 | 0.000549 |
| ΔDv | −0.001096 | −0.001113 | −0.000771 | −0.000780 | |
| Poorly-graded sand (Used in the tests of this paper) | ΔDh | 0.001210 | 0.001191 | 0.000936 | 0.000913 |
| ΔDv | −0.001422 | −0.001441 | −0.001148 | −0.001162 | |
| Clay gravel | ΔDh | 0.001617 | 0.001597 | 0.001233 | 0.001209 |
| ΔDv | −0.001828 | −0.001847 | −0.001440 | −0.001460 | |
| Soil Type | Perfectly-Smooth Pipe-Soil Interface (Upper Bound of Deflection) | Fully-Bonded Pipe-Soil Interface (Lower Bound of Deflection) | |||
|---|---|---|---|---|---|
| Outer Wall Deflection/m | Inner Wall Deflection/m | Outer Wall Deflection/m | Inner Wall Deflection/m | ||
| Poorly-graded gravel | ΔDh | 0.001011 | 0.000984 | 0.000658 | 0.000620 |
| ΔDv | −0.001305 | −0.001330 | −0.000952 | −0.000966 | |
| Poorly-graded sand (Used in the tests of this paper) | ΔDh | 0.001315 | 0.001287 | 0.001035 | 0.001002 |
| ΔDv | −0.001631 | −0.001659 | −0.001351 | −0.001374 | |
| Clay gravel | ΔDh | 0.001572 | 0.001543 | 0.001235 | 0.001201 |
| ΔDv | −0.001888 | −0.001916 | −0.001552 | −0.001573 | |
Publisher’s Note: MDPI stays neutral with regard to jurisdictional claims in published maps and institutional affiliations. |
© 2022 by the authors. Licensee MDPI, Basel, Switzerland. This article is an open access article distributed under the terms and conditions of the Creative Commons Attribution (CC BY) license (https://creativecommons.org/licenses/by/4.0/).
Share and Cite
Zhang, Y.; Shi, J.; Liu, Z.; Sun, Z.; Wu, X. Investigating the Deformation Characteristics of Buried High-Density Polyethylene Pipes: Considering the Effect of Sequentially Applying Pressure and Elevating Temperature. Polymers 2022, 14, 3779. https://doi.org/10.3390/polym14183779
Zhang Y, Shi J, Liu Z, Sun Z, Wu X. Investigating the Deformation Characteristics of Buried High-Density Polyethylene Pipes: Considering the Effect of Sequentially Applying Pressure and Elevating Temperature. Polymers. 2022; 14(18):3779. https://doi.org/10.3390/polym14183779
Chicago/Turabian StyleZhang, Yuchen, Jianyong Shi, Zhanlei Liu, Zhenming Sun, and Xun Wu. 2022. "Investigating the Deformation Characteristics of Buried High-Density Polyethylene Pipes: Considering the Effect of Sequentially Applying Pressure and Elevating Temperature" Polymers 14, no. 18: 3779. https://doi.org/10.3390/polym14183779
APA StyleZhang, Y., Shi, J., Liu, Z., Sun, Z., & Wu, X. (2022). Investigating the Deformation Characteristics of Buried High-Density Polyethylene Pipes: Considering the Effect of Sequentially Applying Pressure and Elevating Temperature. Polymers, 14(18), 3779. https://doi.org/10.3390/polym14183779

