Hydroxypropyltrimethyl Ammonium Chloride Chitosan Nanoparticles Coatings for Reinforcement and Concomitant Inhibition of Anionic Water-Sensitive Dyes Migration on Fragile Paper Documents
Abstract
:1. Introduction
2. Materials and Methods
2.1. Materials
2.2. Particles Preparation and Characterization
2.3. Particles Application on Model Paper
2.4. Fixation of Anionic Water-Sensitive Ink Dyes
2.5. Adsorption Mechanism of HACC to Water-Sensitive Ink Dyes
3. Results and Discussion
3.1. Characterization of HACC Nanoparticles
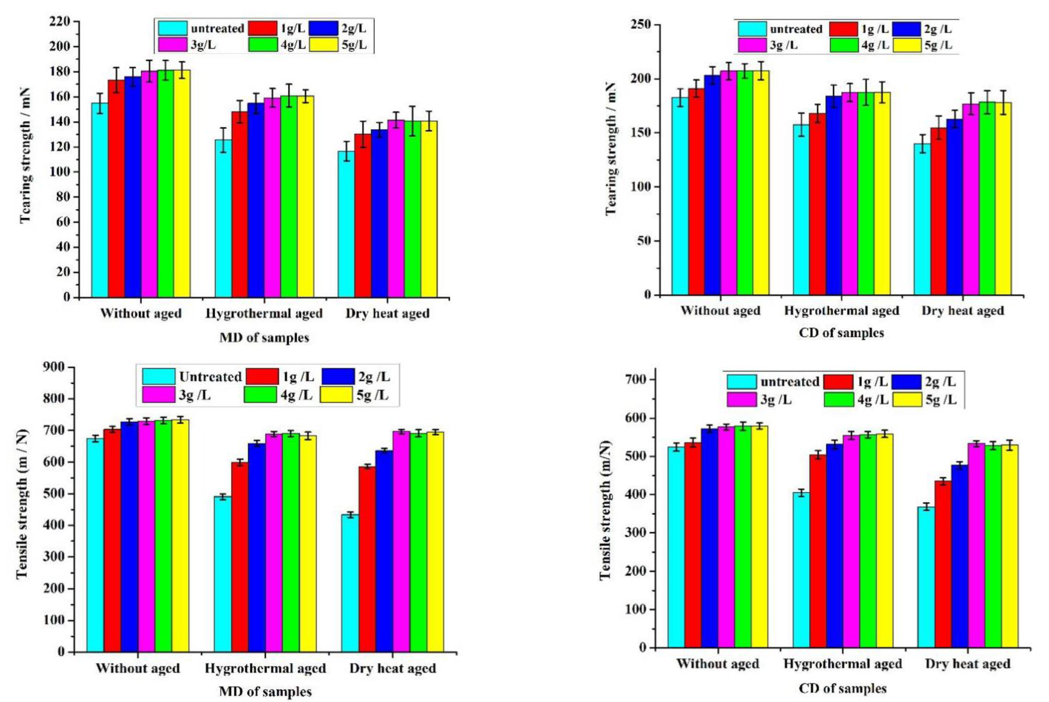
3.2. Conservation Applications of HACC Nanoparticles
3.3. Fixation of Anionic Water-Sensitive Dyes
3.4. Adsorption Mechanism of HACC to Water-Sensitive Ink Dyes
4. Conclusions
Author Contributions
Funding
Institutional Review Board Statement
Informed Consent Statement
Data Availability Statement
Acknowledgments
Conflicts of Interest
References
- Poggi, G.; Sistach, M.C.; Marin, E.; Garcia, J.F.; Giorgi, R.; Baglioni, P. Calcium Hydroxide Nanoparticles in Hydroalcoholic Gelatin Solutions (GeolNan) for the Deacidification and Strengthening of Papers Containing Iron Gall Ink. J. Cult. Herit. 2016, 18, 250–257. [Google Scholar] [CrossRef]
- Zervos, S.; Alexopoulou, I. Paper Conservation Methods: A Literature Review. Cellulose 2015, 22, 2859–2897. [Google Scholar] [CrossRef]
- Lundgaard, L.E.; Hansen, W.; Linhjell, D.; Painter, T.J. Aging of Oil-Impregnated Paper in Power Transformers. IEEE Trans. Power Deliv. 2004, 19, 230–239. [Google Scholar] [CrossRef]
- Banait, N.S.; Jencks, W.P. Reactions of Anionic Nucleophiles with .Alpha.-D-glucopyranosyl Fluoride in Aqueous Solution through A Concerted, ANDN (SN2) Mechanism. J. Am. Chem. Soc. 1991, 113, 7951–7958. [Google Scholar] [CrossRef]
- Zhang, Y.; Bommuswamy, J.; Sinnott, M.L. Kinetic Isotope Effect Study of Transition States for the Hydrolyses of .Alpha.- and .Beta.-Glucopyranosyl Fluorides. J. Am. Chem. Soc. 1994, 116, 7557–7565. [Google Scholar] [CrossRef]
- Iversen, T. Oxidative Decomposition of the Polysaccharide Components of the Paper. In Ageing/Degradation of Paper; A Literature Survey: Stockholm, Sweden, 1989. [Google Scholar]
- Montanari, G.C.; Mazzanti, G.; Simoni, L. Progress in Electrothermal Life Modeling of Electrical Insulation During the Last Decades. IEEE Trans. Dielectr. Electr. Insul. 2002, 9, 730–745. [Google Scholar] [CrossRef]
- Yang, X.W.; Luo, Y.Y.; Li, J.C. Dyes and Organic Pigments; Chemical Industry Press: Beijing, China, 1999. [Google Scholar]
- Baty, J.W.; Maitland, C.L.; Minter, W.; Hubbe, M.A.; Jordan-Mowery, S.K. Deacidification for the Conservation and Preservation of Paper-Based Works: A Review. BioResources 2010, 5, 1955–2023. [Google Scholar] [CrossRef]
- Bansa, H. Aqueous Deacidification-with Calcium or with Magnesium? Restaurator 1998, 19, 1–40. [Google Scholar] [CrossRef]
- Baty, J.W.; Sinnott, M.L. The Kinetics of the Spontaneous, Proton-and AlIII-catalysed Hydrolysis of 1, 5-anhydrocellobiitol Models for Cellulose Depolymerization in Paper Aging and Alkaline Pulping, and a Benchmark for Cellulase Efficiency. Can. J. Chem. 2005, 83, 1516–1524. [Google Scholar] [CrossRef]
- Botti, L.; Mantovani, O.; Orrù, M.A.; Ruggiero, D. The Effect of Sodium and Calcium Ions in the Deacidification of Paper: A Chemo-Physical Study Using Thermal Analysis. Restaurator 2006, 27, 9–23. [Google Scholar] [CrossRef]
- Reissland, B. Ink Corrosion Aqueous and Nonaqueous Treatment of Paper Objects Estate of the Art. Restaurator 1999, 20, 167–180. [Google Scholar]
- Hahn, O.; Wilke, M.; Wolff, T. Inflfluence Aqueous Calcium Phytate/Calcium Hydrogen Carbonate Treatment on the Chemical Composition of Iron Gall Inks. Restaurator 2008, 29, 235–250. [Google Scholar]
- Rouchon, V.; Burgaud, C.; Nguyen, T.P.; Eveno, M.; Pichon, L.; Salomon, J. Iron Gall Ink Aqueous Treatments: Measurement of Elemental Changes by Proton Induced X-ray Emission. Papierrestaurierung 2008, 9, 18–28. [Google Scholar]
- Rouchon, V.; Desroches, M.; Duplat, V.; Letouzey, M.; Stordiau-Pallot, J. Methods of Aqueous Treatments: The Last Resort for Badly Damaged Iron Gall Ink Manuscripts. J. Pap. Conserv. 2012, 13, 7–13. [Google Scholar]
- Sugiyama, K.; Qiu, J.X.; Hakamata, H. Paper lining: Techniques based on Knowledge and Experience. Stud. Conserv. 2014, 59, S145–S148. [Google Scholar] [CrossRef]
- Agnes, B.; Haberditzl, A.; Wimmer, T. Aqueous Conservation Treatment of 20th Century Papers Containing Water-Sensitive Inks and Dyes. Restaurator 1999, 20, 181–197. [Google Scholar]
- Dutta, P.K.; Dutta, J.; Tripathi, V.S. Chitin and Chitosan: Chemistry, Properties and Applications. J. Sci. Ind. Res. 2004, 63, 20–23. [Google Scholar]
- Kun, L.; Pei, L.; Jun, C. Efficient Adsorption of Both Methyl Orange and Chromium from Their Aqueous Mixtures Using a Quaternary Ammonium Salt Modified Chitosan Magnetic Composite Adsorbent. Chemosphere 2016, 154, 310–318. [Google Scholar]
- Wang, C.H.; Liu, W.S.; Sun, J.F.; Hou, G.G.; Chen, Q.; Cong, W.; Zhao, F. Non-toxic O-quaternized Chitosan Materials with Better Water Solubility and Antimicrobial Function. Int. J. Biol. Macromol. 2015, 84, 418–427. [Google Scholar] [CrossRef]
- Giorgi, R.; Dei, L.; Ceccato, M.; Schettino, C.; Baglioni, P. Nanotechnologies for Conservation of Cultural Heritage: Paper and Canvas Deacidification. Langmuir 2002, 18, 8198–8203. [Google Scholar] [CrossRef]
- Giorgi, R.; Bozzi, C.; Dei, L.; Gabbiani, C.; Ninham, B.W.; Baglioni, P. Nanoparticles of Mg(OH)2: Synthesis and application to paper conservation. Langmuir 2005, 21, 8495–8501. [Google Scholar] [CrossRef] [PubMed]
- Poggi, G.; Giorgi, R.; Toccafondi, N.; Katzur, V.; Baglioni, P. Hydroxide Nanoparticles for Deacidification and Concomitant Inhibition of Iron-Gall Ink Corrosion of Paper. Langmuir 2010, 26, 19084–19090. [Google Scholar] [CrossRef]
- Poggi, G.; Baglioni, P.; Giorgi, R. Alkaline Earth Hydroxide Nanoparticles for the Inhibition of Metal Gall Ink Corrosion. Restaurator 2011, 32, 247–253. [Google Scholar] [CrossRef]
- Giorgi, R.; Chelazzi, D.; Baglioni, P. Nanoparticles of Calcium Hydroxide for Wood Conservation. The Deacidification of the Vasa Warship. Langmuir 2005, 21, 10743–10748. [Google Scholar] [CrossRef]
- Giorgi, R.; Chelazzi, D.; Baglioni, P. Conservation of Acid Waterlogged Shipwrecks: Nanotechnologies for Deacidification. Appl. Phys. A. 2006, 83, 567–571. [Google Scholar] [CrossRef]
- Zhang, M.F.; Jiang, F.Z. One-Step Lining and Deacidification of Aged Newspapers with Double-sided Writing. Restaurator 2017, 18, 1–18. [Google Scholar] [CrossRef]
- Jia, M.H.; Zhang, X.G.; Weng, J.J.; Zhang, J.; Zhang, M.F. Protective Coating of Paper Works: ZnO/Cellulose Nanocrystal Composites and Analytical Characterization. J. Cult. Herit. 2019, 38, 64–74. [Google Scholar] [CrossRef]
- Luo, Z.P. Research on Removing of Pyrophyllite in Synthetic Diamond by the Physical Method Instead of Chemical Method. Adv. Mater. Res. 2012, 557, 1607–1611. [Google Scholar] [CrossRef]
- Jia, Z.; Shen, D.; Xu, W. ChemInform Abstract: Synthesis and Antibacterial Activities of Quaternary Ammonium Salt of Chitosan. Carbohyd. Res. 2001, 333, 1–6. [Google Scholar] [CrossRef]
- Liu, P.; Meng, W.S.; Wang, S. Quaternary Ammonium Salt of Chitosan: Preparation and Antimicrobial Property for Paper. Open Med. 2015, 10, 473–478. [Google Scholar] [CrossRef]
- Li, S.D.; Li, P.W.; Yang, Z.M.; Peng, Z.; Quan, W.Y.; Yang, X.H.; Yang, L.; Dong, J.J. Synthesis and Characterization of Chitosan Quaternary Ammonium Salt and Its Application as Drug Carrier for Ribavirin. Drug Deliv. 2014, 21, 548–552. [Google Scholar] [CrossRef] [PubMed]
- Vachoud, L.; Chen, T.; Payne, G.F. Peroxidase Catelyzed Grafting of Gallate Esters onto the Polysaccharide Chitosan. Enzym. Microb. Technol. 2001, 29, 380–385. [Google Scholar] [CrossRef]
- Havlínová, B.; Katuščák, S.; Petrovičová, M.; Maková, A.; Brezová, V. A Study of Mechanical Properties of Papers Exposed to Various Methods of Accelerated Ageing. Part I. The Effect of Heat and Humidity on Original Wood-Pulp Papers. J. Cult. Herit. 2009, 10, 222–231. [Google Scholar] [CrossRef]
- Tyagi, P.; Mathew, R.; Opperman, C.; Jameel, H.; Gonzalez, R.; Lucia, L.; Hubbe, M.; Pal, L. High-Strength Antibacterial Chitosan-Cellulose Nanocrystal Composite Tissue Paper. Langmuir 2019, 35, 104–112. [Google Scholar] [CrossRef] [PubMed]
- Gong, R.; Ye, J.J.; Dai, W.; Yan, X.Y.; Hu, J.; Hu, X.; Li, S.; Huang, H. Adsorptive removal of methyl orange and methylene blue from aqueous with finger-citron-based activated carbon. Ind. Eng. Chem. Res. 2013, 52, 14297–14303. [Google Scholar] [CrossRef]
















Publisher’s Note: MDPI stays neutral with regard to jurisdictional claims in published maps and institutional affiliations. |
© 2022 by the authors. Licensee MDPI, Basel, Switzerland. This article is an open access article distributed under the terms and conditions of the Creative Commons Attribution (CC BY) license (https://creativecommons.org/licenses/by/4.0/).
Share and Cite
Xing, H.; Wang, J.; Ma, O.; Chao, X.; Zhou, Y.; Li, Y.; Jia, Z. Hydroxypropyltrimethyl Ammonium Chloride Chitosan Nanoparticles Coatings for Reinforcement and Concomitant Inhibition of Anionic Water-Sensitive Dyes Migration on Fragile Paper Documents. Polymers 2022, 14, 3717. https://doi.org/10.3390/polym14183717
Xing H, Wang J, Ma O, Chao X, Zhou Y, Li Y, Jia Z. Hydroxypropyltrimethyl Ammonium Chloride Chitosan Nanoparticles Coatings for Reinforcement and Concomitant Inhibition of Anionic Water-Sensitive Dyes Migration on Fragile Paper Documents. Polymers. 2022; 14(18):3717. https://doi.org/10.3390/polym14183717
Chicago/Turabian StyleXing, Huiping, Jianwei Wang, Ouya Ma, Xiaolian Chao, Yajun Zhou, Yuhu Li, and Zhihui Jia. 2022. "Hydroxypropyltrimethyl Ammonium Chloride Chitosan Nanoparticles Coatings for Reinforcement and Concomitant Inhibition of Anionic Water-Sensitive Dyes Migration on Fragile Paper Documents" Polymers 14, no. 18: 3717. https://doi.org/10.3390/polym14183717
APA StyleXing, H., Wang, J., Ma, O., Chao, X., Zhou, Y., Li, Y., & Jia, Z. (2022). Hydroxypropyltrimethyl Ammonium Chloride Chitosan Nanoparticles Coatings for Reinforcement and Concomitant Inhibition of Anionic Water-Sensitive Dyes Migration on Fragile Paper Documents. Polymers, 14(18), 3717. https://doi.org/10.3390/polym14183717
