Study on the Mechanical and Toughness Behavior of Epoxy Nano-Composites with Zero-Dimensional and Two-Dimensional Nano-Fillers
Abstract
:1. Introduction
2. Materials and Methods
2.1. Materials
2.2. Preparation of Composite
2.3. Characterizations
3. Results
3.1. Fracture Toughness and Mechanical Properties
- (i)
- In some sections of epoxy/BN nanocomposites, interlayer van der Waals forces lead to the accumulation and irregular dispersion of BN nanosheets, causing a reduction in the monotonous load transfer from resin to nanomaterials. This process occurs less frequently in the SiO2/epoxy due to the structure of SiO2 nanomaterials.
- (ii)
- Compared with zero-dimensional silica, BN with two-dimensional structure can form better mechanical interlocking with epoxy resin and improve the mechanical proper-ties of the composite.
3.2. Lap Shear Strength of the Adhesive Joints
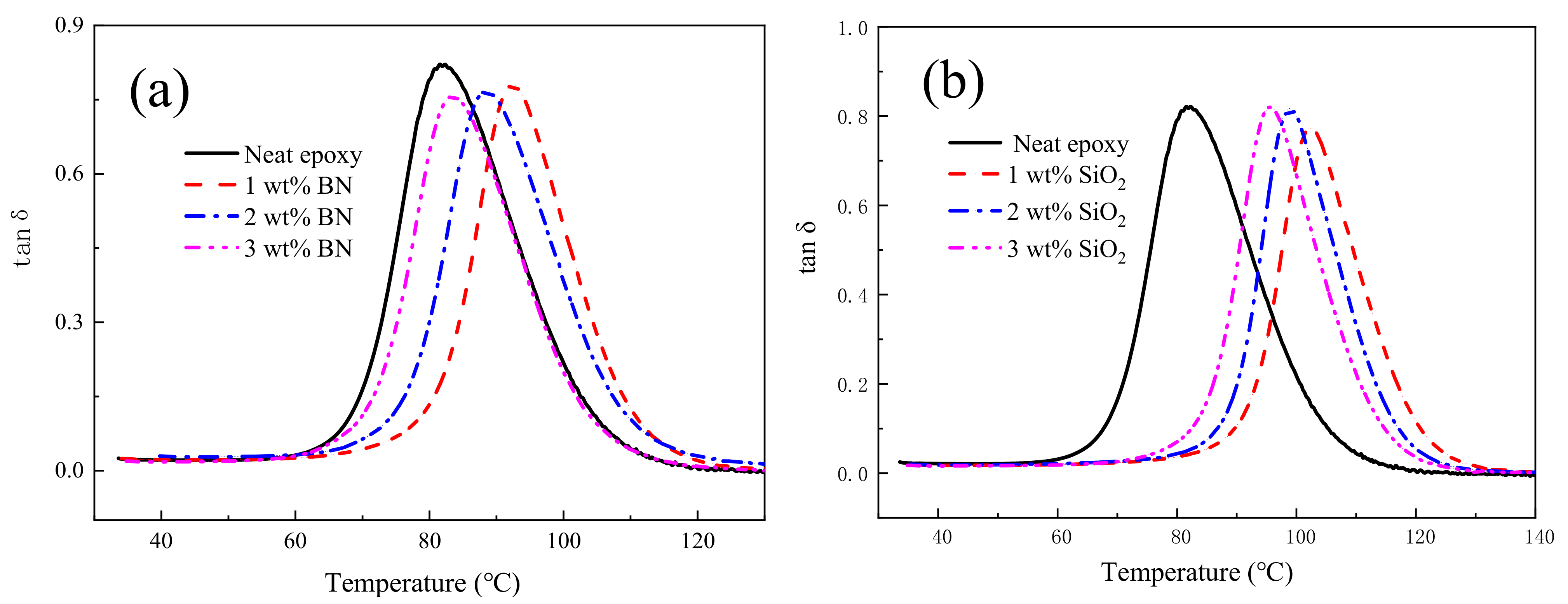
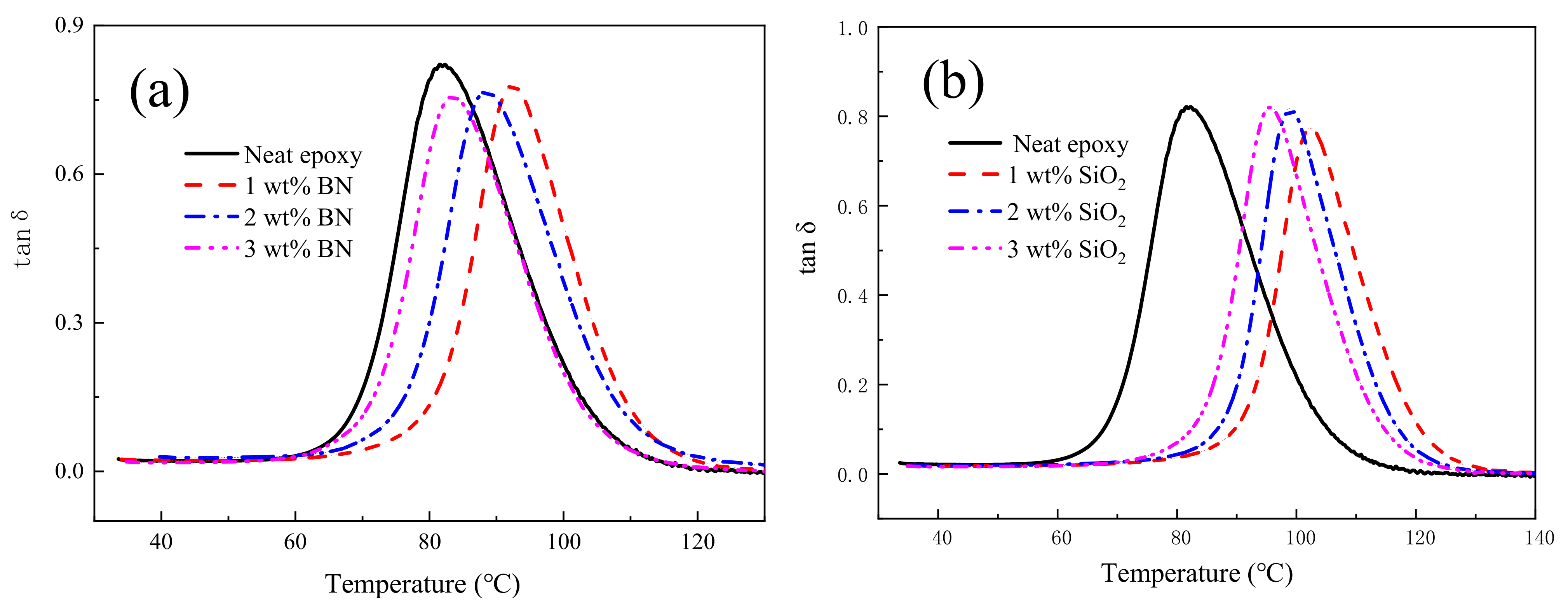
3.3. Dynamic Mechanical Analysis (DMA)
3.4. Morphology of Fracture Surfaces and Mechanism
4. Conclusions
Author Contributions
Funding
Institutional Review Board Statement
Informed Consent Statement
Data Availability Statement
Acknowledgments
Conflicts of Interest
References
- Parambil, H.P.; Siengchin, S.; Parameswaranpillai, J. Corrosion protective self-healing epoxy resin coatings based on inhibitor and polymeric healing agents encapsulated in organic and inorganic micro and nanocontainers. Nano-Struct. Nano-Objects 2018, 16, 381–395. [Google Scholar] [CrossRef]
- Dong, M.; Mao, X.; Zhang, Z.; Liu, Q. Gelcasting of SiC using epoxy resin as gel former. Ceram. Int. 2009, 35, 1363–1366. [Google Scholar] [CrossRef]
- Heidary, H.; Karimi, N.Z.; Minak, G. Investigation on delamination and flexural properties in drilling of carbon nanotube/polymer composites. Compos. Struct. 2018, 201, 112–120. [Google Scholar] [CrossRef]
- Cui, X. Enhancement of chopped fibers on welling strength of compostes. Mater. Eng. 2019, 47, 151–156. [Google Scholar]
- Kundan, K.V.; Katti, P.; Kumar, S.; Bose, S. Assessing the interfacial properties in carbon fiber/epoxy nanocomposites: From ‘interlayers’ to ‘interconnects’. Nano-Struct. Nano-Objects 2017, 12, 194–209. [Google Scholar]
- Zaman, I.; Manshoor, B.; Khalid, A.; Meng, Q.; Araby, S. Interface modification of clay and graphene platelets reinforced epoxy nanocomposites: A comparative study. J. Mater. Sci. 2014, 49, 5856–5865. [Google Scholar] [CrossRef]
- Chistyakov, E.M.; Terekhov, I.V.; Shapagin, A.V.; Filatov, S.N.; Chuev, V.P. Curing of Epoxy Resin DER-331 by Hexakis(4-acetamidophenoxy)cyclotriphosphazene and Properties of the Prepared Composition. Polymers 2019, 11, 1191. [Google Scholar] [CrossRef]
- Terekhov, I.V.; Filatov, S.N.; Chistyakov, E.M.; Borisov, R.; Kireev, V. Halogenated hydroxy-aryloxy phosphazenes and epoxy oligomers based on them. Russ. J. Appl. Chem. 2013, 86, 1600–1604. [Google Scholar] [CrossRef]
- Terekhov, I.V.; Filatov, S.N.; Chistyakov, E.M.; Borisov, R.S.; Kireev, V.V. Synthesis of oligomeric epoxycyclotriphosphazenes and their properties as reactive flame-retardants for epoxy resins. Phosphorus Sulfur Silicon Relat. Elem. 2017, 192, 544–554. [Google Scholar] [CrossRef]
- Nigrawal, A.; Buddi, T.; Rana, R.; Purohit, R. Development of Epoxy/Nano SiC composites and their Mechanical Studies. Mater. Today Proc. 2019, 18, 4384–4391. [Google Scholar] [CrossRef]
- Han, S.; Meng, Q.; Araby, S.; Liu, T.; Demiral, M. Mechanical and electrical properties of graphene and carbon nanotube reinforced epoxy adhesives: Experimental and numerical analysis. Compos. Part A Appl. Sci. Manuf. 2019, 120, 116–126. [Google Scholar] [CrossRef]
- Alatawna, A.; Birenboim, M.; Nadiv, R.; Buzaglo, M.; Peretz-Damari, S.; Peled, A.; Regev, O.; Sripada, R. The effect of compatibility and dimensionality of carbon nanofillers on cement composites. Constr. Build. Mater. 2019, 232, 117141. [Google Scholar] [CrossRef]
- Chen, J.; Gao, X.; Song, W. Effect of various carbon nanofillers and different filler aspect ratios on the thermal conductivity of epoxy matrix nanocomposites. Results Phys. 2019, 15, 102771. [Google Scholar] [CrossRef]
- Kordi, A.; Adibnazari, S.; Imam, A.; Najafi, M. Effects of two- and three-dimensional graphene-based nanomaterials on the fatigue behavior of epoxy nanocomposites. Mater. Today Commun. 2020, 24, 101194. [Google Scholar] [CrossRef]
- Cui, X.; Tian, J.; Yu, Y.; Chand, A.; Zhang, S.; Meng, Q.; Li, X.; Wang, S. Multifunctional Graphene-Based Composite Sponge. Sensors 2020, 20, 329. [Google Scholar] [CrossRef]
- Shukla, M.K.; Sharma, K. Molecular modeling and experimental investigation of graphene/CNT hybrid epoxy composites for characterization of tensile properties. Mater. Today Proc. 2020, 26, 3234–3237. [Google Scholar] [CrossRef]
- Sinha, R.K.; Sridhar, K.; Purohit, R.; Malviya, R.K. Effect of nano SiO2 on properties of natural fiber reinforced epoxy hybrid composite: A review. Mater. Today: Proc. 2020, 26, 3183–3186. [Google Scholar] [CrossRef]
- Zotti, A.; Zuppolini, S.; Borriello, A.; Zarrelli, M. Effect of SiO2@polydopamine core/shell nanoparticles as multifunctional filler for an aeronautical epoxy resin. Mater. Today Proc. 2020, 34, 117–120. [Google Scholar] [CrossRef]
- Kwon, D.-J.; Shin, P.-S.; Kim, J.-H.; Baek, Y.-M.; Park, H.-S.; DeVries, K.L.; Park, J.-M. Interfacial properties and thermal aging of glass fiber/epoxy composites reinforced with SiC and SiO2 nanoparticles. Compos. Part B Eng. 2017, 130, 46–53. [Google Scholar] [CrossRef]
- Jia, X.; Li, G.; Liu, B.; Luo, Y.; Yang, G.; Yang, X. Multiscale reinforcement and interfacial strengthening on epoxy-based composites by silica nanoparticle-multiwalled carbon nanotube complex. Compos. Part A 2013, 48, 101–109. [Google Scholar] [CrossRef]
- Singh, A.K.; Yadav, S. Mechanical peculiarity of nano BN filled polyester based homogeneous nanocomposites and their FGMs—A comparative study. Mater. Today Proc. 2020, 25, 908–912. [Google Scholar] [CrossRef]
- Wattanakul, K.; Manuspiya, H.; Yanumet, N. Thermal conductivity and mechanical properties of BN-filled epoxy composite: Effects of filler content, mixing conditions, and BN agglomerate size. J. Compos. Mater. 2011, 45, 1967–1980. [Google Scholar] [CrossRef]
- Sreenu, A. Aluminium-boron nitride nano composite coating by friction surfacing on low carbon steel substrate—A feasibility study. Mater. Today Proc. 2018, 5, 26829–26835. [Google Scholar] [CrossRef]
- Manivannan, A.; Sasikumar, R. Fabrication and Characterization of Aluminium Boron Nitride Composite for Fins. Mater. Today Proc. 2018, 5, 8618–8624. [Google Scholar] [CrossRef]
- Bekeshev, A.; Mostovoy, A.; Tastanova, L.; Kadykova, Y.; Kalganova, S.; Lopukhova, M. Reinforcement of Epoxy Composites with Application of Finely-ground Ochre and Electrophysical Method of the Composition Modification. Polymers 2020, 12, 1437. [Google Scholar] [CrossRef]
- Jamali, N.; Rezvani, A.; Khosravi, H.; Tohidlou, E. On the mechanical behavior of basalt fiber/epoxy composites filled with silanized graphene oxide nanoplatelets. Polym. Compos. 2018, 39, E2472–E2482. [Google Scholar] [CrossRef]
- Mostovoy, A.; Shcherbakov, A.; Yakovlev, A.; Arzamastsev, S.; Lopukhova, M. Reinforced Epoxy Composites Modified with Functionalized Graphene Oxide. Polymers 2022, 14, 338. [Google Scholar] [CrossRef] [PubMed]
- Long, J.; Li, C.; Li, Y. Enhancement of Mechanical and Bond Properties of Epoxy Adhesives Modified by SiO2 Nanoparticles with Active Groups. Polymers 2022, 14, 2052. [Google Scholar] [CrossRef]
- Zaman, I.; Kuan, H.C.; Meng, Q.; Michelmore, A.; Kawashima, N.; Pitt, T.; Zhang, L.; Gouda, S.; Luong, L.; Ma, J. A Facile Approach to Chemically Modified Craphene and its Polymer Nanocomposites. Adv. Funct. Mater. 2012, 22, 2735–2743. [Google Scholar] [CrossRef]
- Zaman, I.; Kuan, H.-C.; Dai, J.; Kawashima, N.; Michelmore, A.; Sovi, A.; Dong, S.; Luong, L.; Ma, J. From carbon nanotubes and silicate layers to graphene platelets for polymer nanocomposites. Nanoscale 2012, 4, 4578–4586. [Google Scholar] [CrossRef]
- Jakubinek, M.B.; Ashrafi, B.; Martinez-Rubi, Y.; Rahmat, M.; Yourdkhani, M.; Kim, K.S.; Laqua, K.; Yousefpour, A.; Simard, B. Nanoreinforced epoxy and adhesive joints incorporating boron nitride nanotubes. Int. J. Adhes. Adhes. 2018, 84, 194–201. [Google Scholar] [CrossRef]
- Cui, X. Influence of Surface Pre-treatment on Resistance Welding Strength of Titanium Alloy-GF/PEI Composites. Surf. Technol. 2019, 48, 244–251. [Google Scholar]
- Shokrieh, M.; Salamat-Talab, M.; Heidari-Rarani, M. Effect of initial crack length on the measured bridging law of unidirectional E-glass/epoxy double cantilever beam specimens. Mater. Des. 2014, 55, 605–611. [Google Scholar] [CrossRef]
- Han, S.; Meng, Q.; Qiu, Z.; Osman, A.; Cai, R.; Yu, Y.; Liu, T.; Araby, S. Mechanical, toughness and thermal properties of 2D material- reinforced epoxy composites. Polymer 2019, 184, 121884. [Google Scholar] [CrossRef]
- Sathyaseelan, P.; Sellamuthu, P.; Palanimuthu, L. Dynamic mechanical analysis of areca/kenaf fiber reinforced epoxy hybrid composites fabricated in different stacking sequences. Mater. Today Proc. 2020, 39, 1202–1205. [Google Scholar] [CrossRef]
- Jin, W.; Zhang, W.; Gao, Y.; Liang, G.; Gu, A.; Yuan, L. Surface functionalization of hexagonal boron nitride and its effect on the structure and performance of composites. Appl. Surf. Sci. 2013, 270, 561–571. [Google Scholar] [CrossRef]
- Goertzen, W.K.; Kessler, M. Dynamic mechanical analysis of fumed silica/cyanate ester nanocomposites. Compos. Part A Appl. Sci. Manuf. 2008, 39, 761–768. [Google Scholar] [CrossRef]
- Yamunadevi, V.; Vijayanand, G.; Ganeshan, P.; Sowmiya, S.; Raja, K. Effect on the behaviour of dynamic mechanical analysis for hybrid epoxy nanocomposite. Mater. Today Proc. 2020, 37, 223–227. [Google Scholar] [CrossRef]
- Yang, B.; Mao, J.; Zhao, J.; Shao, Y.; Zhang, Y.; Zhang, Z.; Lu, Q. Improving the Thermal Stability of Hydrophobic Associative Polymer Aqueous Solution Using a “Triple-Protection” Strategy. Polymers 2019, 11, 949. [Google Scholar] [CrossRef] [Green Version]









| Materials | Color and Form | Relative Molecular Mass | Relative Density | Particle Size(nm) | Particle Morphology |
|---|---|---|---|---|---|
| SiO2 | white powder | 60.08 | 2.31 | 20–23 | spherical |
| BN | white powder | 24.82 | 2.26 | 30–50 | Graphite-type layered structure (hexagonal structure) |
| Composite Sample | Epoxy (g) | J230 (g) | 40%SiO2/Epoxy (g) | BN (g) |
|---|---|---|---|---|
| Pure epoxy composite | 46.05 | 13.95 | 0 | 0 |
| 1 wt% Epoxy/BN composite | 45.59 | 13.81 | 0 | 0.6 |
| 2 wt% Epoxy/BN composite | 45.13 | 13.67 | 0 | 1.2 |
| 3 wt% Epoxy/BN composite | 44.67 | 13.53 | 0 | 1.8 |
| 1 wt% Epoxy/SiO2 composite | 44.90 | 13.60 | 1.5 | 0 |
| 2 wt% Epoxy/SiO2 composite | 43.74 | 13.26 | 3 | 0 |
| 3 wt% Epoxy/SiO2 composite | 42.59 | 12.91 | 4.5 | 0 |
| Fraction of BN Nanoparticle (wt%) | Tensile Strength (MPa) | Young’s Modulus (GPa) | ||
|---|---|---|---|---|
| 0(neat epoxy) | 2.66 | 0.09 | 0.03 | 8.77 |
| 1 | 2.48 | 0.11 | 0.04 | 19.21 |
| 2 | 2.08 | 0.12 | 0.06 | 27.23 |
| 3 | 1.60 | 0.12 | 0.05 | 19.03 |
| Fraction of SiO2 Nanoparticle (wt%) | Tensile Strength (MPa) | Young’s Modulus (GPa) | ||
|---|---|---|---|---|
| 0(neat epoxy) | 2.66 | 0.09 | 0.03 | 8.77 |
| 1 | 3.14 | 0.09 | 0.003 | 11.08 |
| 2 | 3.17 | 0.10 | 0.04 | 16.04 |
| 3 | 3.46 | 0.11 | 0.06 | 25.86 |
| Epoxy Composite (wt%) | Epoxy/BN Composites | Epoxy/SiO2 Composites | ||
|---|---|---|---|---|
| Increment (%) | Increment (%) | |||
| Neat epoxy | 83.29 | - | 83.29 | - |
| 1 | 92.51 | 11.07 | 102.06 | 22.54 |
| 2 | 88.08 | 5.75 | 98.83 | 18.66 |
| 3 | 83.35 | 0.07 | 95.50 | 14.66 |
Publisher’s Note: MDPI stays neutral with regard to jurisdictional claims in published maps and institutional affiliations. |
© 2022 by the authors. Licensee MDPI, Basel, Switzerland. This article is an open access article distributed under the terms and conditions of the Creative Commons Attribution (CC BY) license (https://creativecommons.org/licenses/by/4.0/).
Share and Cite
Li, X.; Wang, Q.; Cui, X.; Feng, X.; Teng, F.; Xu, M.; Su, W.; He, J. Study on the Mechanical and Toughness Behavior of Epoxy Nano-Composites with Zero-Dimensional and Two-Dimensional Nano-Fillers. Polymers 2022, 14, 3618. https://doi.org/10.3390/polym14173618
Li X, Wang Q, Cui X, Feng X, Teng F, Xu M, Su W, He J. Study on the Mechanical and Toughness Behavior of Epoxy Nano-Composites with Zero-Dimensional and Two-Dimensional Nano-Fillers. Polymers. 2022; 14(17):3618. https://doi.org/10.3390/polym14173618
Chicago/Turabian StyleLi, Xiaodong, Qi Wang, Xu Cui, Xinwen Feng, Fei Teng, Mingyao Xu, Weiguo Su, and Jun He. 2022. "Study on the Mechanical and Toughness Behavior of Epoxy Nano-Composites with Zero-Dimensional and Two-Dimensional Nano-Fillers" Polymers 14, no. 17: 3618. https://doi.org/10.3390/polym14173618
APA StyleLi, X., Wang, Q., Cui, X., Feng, X., Teng, F., Xu, M., Su, W., & He, J. (2022). Study on the Mechanical and Toughness Behavior of Epoxy Nano-Composites with Zero-Dimensional and Two-Dimensional Nano-Fillers. Polymers, 14(17), 3618. https://doi.org/10.3390/polym14173618

