Ferrous-Oxalate-Modified Aramid Nanofibers Heterogeneous Fenton Catalyst for Methylene Blue Degradation
Abstract
:1. Introduction
2. Materials and Methods
2.1. Preparation of Aramid Nanofibers (ANFs) Suspension
2.2. Preparation of Aramid Nanofibers (ANFs)/Ferrous Oxalate (FeC2O4) Composite Fiber Membrane
2.3. Experiment Procedure of Degradation of Methylene Blue
2.4. Characterization
2.4.1. Scanning Electron Microscope (SEM)
2.4.2. BET Pore Size Analysis
2.4.3. Fourier Transform Infrared Spectrometer
2.4.4. X-ray Diffraction (XRD) Analysis
2.4.5. Measurement of Methylene Blue Concentration by UV-Vis Spectrophotometer
2.4.6. X-ray Photoelectron Spectroscopy (XPS) Analysis
3. Results and Discussion
3.1. ANFs/FeC2O4 Membrane Characterization
3.2. Influence of Experimental Conditions on Degradation Performance
3.2.1. Influence of FeC2O4 Content and H2O2 Concentration in the Composite Film
3.2.2. Influence of Initial pH (pH0)
3.2.3. Influence of Initial MB Concentration
3.2.4. Influence of Different Dyes
3.2.5. Influence of Cycle Performance
3.2.6. The Kinetics of Degradation of MB
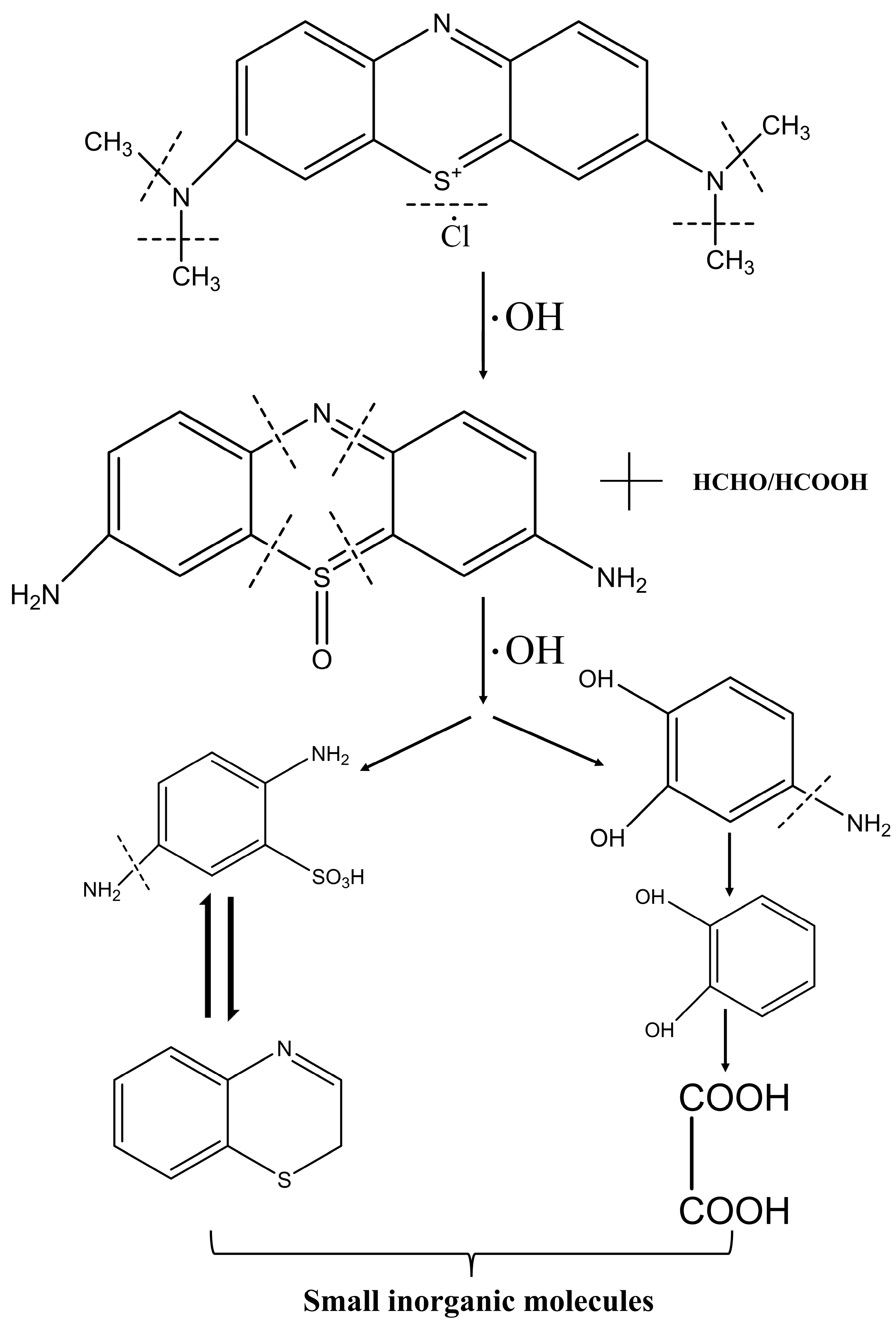
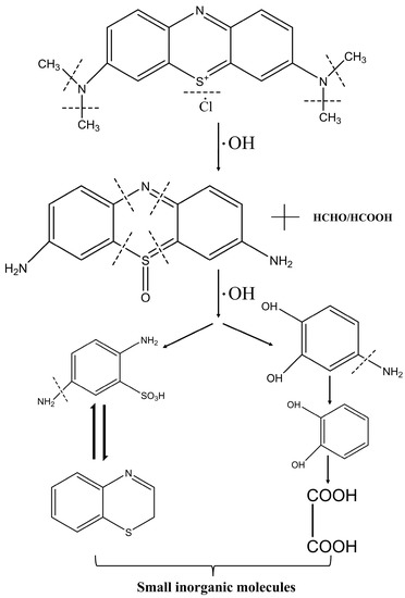
3.3. Degradation Mechanism
4. Conclusions
Author Contributions
Funding
Institutional Review Board Statement
Informed Consent Statement
Data Availability Statement
Conflicts of Interest
References
- Tsai, W.T.; Hsu, H.C.; Su, T.Y.; Lin, K.Y.; Lin, C.M. Removal of basic dye (methylene blue) from wastewaters utilizing beer brewery waste. J. Hazard Mater. 2008, 154, 73–78. [Google Scholar] [CrossRef] [PubMed]
- Garg, V. Basic dye (methylene blue) removal from simulated wastewater by adsorption using Indian Rosewood sawdust: A timber industry waste. Dye. Pigment. 2004, 63, 243–250. [Google Scholar] [CrossRef]
- Hosseinpour-mashkani, S.M.; Sobhani-Nasab, A. Simple synthesis and characterization of copper tungstate nanoparticles: Investigation of surfactant effect and its photocatalyst application. J. Mater. Sci. Mater. Electron. 2016, 27, 7548–7553. [Google Scholar] [CrossRef]
- Aghajani, Z.; Hosseinpour-Mashkani, S.M. Design novel Ce(MoO4)2@TiO2n–n heterostructures: Enhancement photodegradation of toxic dyes. J. Mater. Sci. Mater. Electron. 2020, 31, 6593–6606. [Google Scholar] [CrossRef]
- Meili, L.; Lins, P.V.S.; Costa, M.T.; Almeida, R.L.; Abud, A.K.S.; Soletti, J.I.; Dotto, G.L.; Tanabe, E.H.; Sellaoui, L.; Carvalho, S.H.V.; et al. Adsorption of methylene blue on agroindustrial wastes: Experimental investigation and phenomenological modelling. Prog. Biophys. Mol. Biol. 2019, 141, 60–71. [Google Scholar] [CrossRef] [PubMed]
- Ma, L.M.; Ding, Z.G.; Gao, T.Y.; Zhou, R.F.; Xu, W.Y.; Liu, J. Discoloration of methylene blue and wastewater from a plant by a Fe/Cu bimetallic system. Chemosphere 2004, 55, 1207–1212. [Google Scholar] [CrossRef]
- Rodrigues, C.S.; Madeira, L.M.; Boaventura, R.A. Treatment of textile dye wastewaters using ferrous sulphate in a chemical coagulation/flocculation process. Environ. Technol. 2013, 34, 719–729. [Google Scholar] [CrossRef]
- Bashir, M.S.; Jiang, X.; Kong, X.Z. Porous polyurea microspheres with Pd immobilized on surface and their catalytic activity in 4-nitrophenol reduction and organic dyes degradation. Eur. Polym. J. 2020, 129, 109652. [Google Scholar] [CrossRef]
- Tichapondwa, S.M.; Newman, J.P.; Kubheka, O. Effect of TiO2 phase on the photocatalytic degradation of methylene blue dye. Phys. Chem. Earth Parts A/B/C 2020, 118–119, 102900. [Google Scholar] [CrossRef]
- Aziz, K.H.H. Application of different advanced oxidation processes for the removal of chloroacetic acids using a planar falling film reactor. Chemosphere 2019, 228, 377–383. [Google Scholar] [CrossRef]
- Hien, N.T.; Lan, H.N.; Van, H.T.; Nguyen, T.D.; Aziz, K. Heterogeneous catalyst ozonation of Direct Black 22 from aqueous solution in the presence of metal slags originating from industrial solid wastes. Sep. Purif. Technol. 2019, 233, 115961. [Google Scholar] [CrossRef]
- Hu, X.; Liu, B.; Deng, Y.; Chen, H.; Luo, S.; Sun, C.; Yang, P.; Yang, S. Adsorption and heterogeneous Fenton degradation of 17α-methyltestosterone on nano Fe3O4/MWCNTs in aqueous solution. Appl. Catal. B Environ. 2011, 107, 274–283. [Google Scholar] [CrossRef]
- Ferroudj, N.; Nzimoto, J.; Davidson, A.; Talbot, D.; Briot, E.; Dupuis, V.; Bée, A.; Medjram, M.S.; Abramson, S. Maghemite nanoparticles and maghemite/silica nanocomposite microspheres as magnetic Fenton catalysts for the removal of water pollutants. Appl. Catal. B Environ. 2013, 136, 9–18. [Google Scholar] [CrossRef]
- Segura, Y.; Martínez, F.; Melero, J.A. Effective pharmaceutical wastewater degradation by Fenton oxidation with zero-valent iron. Appl. Catal. B Environ. 2013, 136, 64–69. [Google Scholar] [CrossRef]
- Alalm, M.G.; Tawfik, A.; Ookawara, S. Degradation of four pharmaceuticals by solar photo-Fenton process: Kinetics and costs estimation. J. Environ. Chem. Eng. 2015, 3, 46–51. [Google Scholar] [CrossRef]
- Liu, M.; Yu, Y.; Xiong, S.; Lin, P.; Hu, L.; Chen, S.; Wang, H.; Wang, L. A flexible and efficient electro-Fenton cathode film with aeration function based on polyphenylene sulfide ultra-fine fiber. React. Funct. Polym. 2019, 139, 42–49. [Google Scholar] [CrossRef]
- Huston, P.L.; Pignatello, J.J. Degradation of selected pesticide active ingredients and commercial formulations in water by the photo-assisted Fenton reaction. Water Res. 1999, 33, 1238–1246. [Google Scholar] [CrossRef]
- Ma, J.; Song, W.; Chen, C.; Ma, W.; Zhao, J.; Tang, Y. Fenton Degradation of Organic Compounds Promoted by Dyes under Visible Irradiation. Environ. Sci. Technol. 2005, 39, 5810. [Google Scholar] [CrossRef]
- Evgenidou, E.; Konstantinou, I.; Fytianos, K.; Poulios, I. Oxidation of two organophosphorous insecticides by the photo-assisted Fenton reaction. Water Res. 2007, 41, 2015–2027. [Google Scholar] [CrossRef]
- Monteagudo, J.M.; Durán, A.; López-Almodóvar, C. Homogeneus ferrioxalate-assisted solar photo-Fenton degradation of Orange II aqueous solutions. Appl. Catal. B Environ. 2008, 83, 46–55. [Google Scholar] [CrossRef]
- Liu, Y.; Jin, W.; Zhao, Y.; Zhang, G.; Zhang, W. Enhanced catalytic degradation of methylene blue by α-Fe2O3/graphene oxide via heterogeneous photo-Fenton reactions. Appl. Catal. B Environ. 2017, 206, 642–652. [Google Scholar] [CrossRef]
- Cao, Z.-F.; Wen, X.; Chen, P.; Yang, F.; Ou, X.-L.; Wang, S.; Zhong, H. Synthesis of a novel heterogeneous fenton catalyst and promote the degradation of methylene blue by fast regeneration of Fe2+. Colloids Surf. A Physicochem. Eng. Asp. 2018, 549, 94–104. [Google Scholar] [CrossRef]
- Ren, B.; Xu, Y.; Zhang, C.; Zhang, L.; Zhao, J.; Liu, Z. Degradation of methylene blue by a heterogeneous Fenton reaction using an octahedron-like, high-graphitization, carbon-doped Fe2O3 catalyst. J. Taiwan Inst. Chem. Eng. 2019, 97, 170–177. [Google Scholar] [CrossRef]
- Georgi, A.; Schierz, A.; Trommler, U.; Horwitz, C.P.; Collins, T.J.; Kopinke, F.D. Humic acid modified Fenton reagent for enhancement of the working pH range. Appl. Catal. B Environ. 2007, 72, 26–36. [Google Scholar] [CrossRef]
- Tartaj, P.; Morales, M.P.; Gonzalez-Carreno, T.; Veintemillas-Verdaguer, S.; Serna, C.J. The iron oxides strike back: From biomedical applications to energy storage devices and photoelectrochemical water splitting. Adv. Mater. 2011, 23, 5243–5249. [Google Scholar] [CrossRef]
- Yang, B.; Tian, Z.; Zhang, L.; Guo, Y.; Yan, S. Enhanced heterogeneous Fenton degradation of Methylene Blue by nanoscale zero valent iron (nZVI) assembled on magnetic Fe3O4/reduced graphene oxide. J. Water Process Eng. 2015, 5, 101–111. [Google Scholar] [CrossRef]
- Sierra, C.A.; Ramirez, H.R.Z. Heterogeneous Fenton oxidation of Orange II using iron nanoparticles supported on natural and functionalized fique fiber. J. Environ. Chem. Eng. 2018, 6, 4178–4188. [Google Scholar] [CrossRef]
- Su, C.; Cao, G.; Lou, S.; Wang, R.; Yuan, F.; Yang, L.; Wang, Q. Treatment of Cutting Fluid Waste using Activated Carbon Fiber Supported Nanometer Iron as a Heterogeneous Fenton Catalyst. Sci. Rep. 2018, 8, 10650. [Google Scholar] [CrossRef]
- Sun, M.; Zou, L.; Wang, P.; Fan, X.; Pan, Z.; Liu, Y.; Song, C. Nano valent zero iron (NZVI) immobilized CNTs hollow fiber membrane for flow-through heterogeneous Fenton process. J. Environ. Chem. Eng. 2022, 10, 107806. [Google Scholar] [CrossRef]
- Tang, R.; Liao, X.P.; Liu, X.; Shi, B. Collagen fiber immobilized Fe(III): A novel catalyst for photo-assisted degradation of dyes. Chem. Commun. 2005, 47, 5882–5884. [Google Scholar] [CrossRef]
- Wang, P.; Dong, Y.; Li, B.; Cui, G.; Li, F. Controlled photocatalytic activity of modified PTFE fiber-Fe complex through layer-by-layer self-assembly of poly diallyldimethyl ammonium choloride and poly styrene sulfonate. Colloids Surf. A Physicochem. Eng. Asp. 2017, 528, 41–47. [Google Scholar] [CrossRef]
- Wang, Q.; Liang, S.; Zhang, G.; Su, R.; Yang, C.; Xu, P.; Wang, P. Facile and rapid microwave-assisted preparation of Cu/Fe-AO-PAN fiber for PNP degradation in a photo-Fenton system under visible light irradiation. Sep. Purif. Technol. 2019, 209, 270–278. [Google Scholar] [CrossRef]
- Li, B.; Dong, Y.; Li, L. Preparation and catalytic performance of Fe(III)-citric acid-modified cotton fiber complex as a novel cellulose fiber-supported heterogeneous photo-Fenton catalyst. Cellulose 2015, 22, 1295–1309. [Google Scholar] [CrossRef]
- Hu, L.; Liu, Z.; He, C.; Wang, P.; Chen, S.; Xu, J.; Wu, J.; Wang, L.; Wang, H. Ferrous-oxalate-decorated polyphenylene sulfide fenton catalytic microfiber for methylene blue degradation. Compos. Part B Eng. 2019, 176, 107220. [Google Scholar] [CrossRef]
- Liu, X.; Tang, R.; He, Q.; Liao, X.; Shi, B. Fe(III)-loaded collagen fiber as a heterogeneous catalyst for the photo-assisted decomposition of Malachite Green. J. Hazard Mater. 2010, 174, 687–693. [Google Scholar] [CrossRef] [PubMed]
- Wang, L.; Yao, Y.; Zhang, Z.; Sun, L.; Lu, W.; Chen, W.; Chen, H. Activated carbon fibers as an excellent partner of Fenton catalyst for dyes decolorization by combination of adsorption and oxidation. Chem. Eng. J. 2014, 251, 348–354. [Google Scholar] [CrossRef]
- Yang, B.; Wang, L.; Zhang, M.; Luo, J.; Lu, Z.; Ding, X. Fabrication, Applications, and Prospects of Aramid Nanofiber. Adv. Funct. Mater. 2020, 30, 2000186. [Google Scholar] [CrossRef]
- Hu, P.; Lyu, J.; Fu, C.; Gong, W.B.; Liao, J.; Lu, W.; Chen, Y.; Zhang, X. Multifunctional Aramid Nanofiber/Carbon Nanotube Hybrid Aerogel Films. ACS Nano 2020, 14, 688–697. [Google Scholar] [CrossRef]
- Xie, C.; He, L.; Shi, Y.; Guo, Z.X.; Qiu, T.; Tuo, X. From Monomers to a Lasagna-like Aerogel Monolith: An Assembling Strategy for Aramid Nanofibers. ACS Nano 2019, 13, 7811–7824. [Google Scholar] [CrossRef]
- Xie, C.; Liu, S.; Zhang, Q.; Ma, H.; Yang, S.; Guo, Z.X.; Qiu, T.; Tuo, X. Macroscopic-Scale Preparation of Aramid Nanofiber Aerogel by Modified Freezing-Drying Method. ACS Nano 2021, 15, 10000–10009. [Google Scholar] [CrossRef]
- Yan, H.; Li, J.; Tian, W.; He, L.; Tuo, X.; Qiu, T. A new approach to the preparation of poly(p-phenylene terephthalamide) nanofibers. RSC Adv. 2016, 6, 26599–26605. [Google Scholar] [CrossRef]
- Bashir, M.S.; Jiang, X.; Li, S.; Kong, X.Z. Highly Uniform and Porous Polyurea Microspheres: Clean and Easy Preparation by Interface Polymerization, Palladium Incorporation, and High Catalytic Performance for Dye Degradation. Front. Chem. 2019, 7, 314. [Google Scholar] [CrossRef] [PubMed]
- Xie, C.; Guo, Z.X.; Qiu, T.; Tuo, X. Construction of Aramid Engineering Materials via Polymerization-Induced para-Aramid Nanofiber Hydrogel. Adv. Mater. 2021, 33, 2101280. [Google Scholar] [CrossRef] [PubMed]
- Xu, K.; Ou, Y.; Li, Y.; Su, L.; Lin, M.; Li, Y.; Cui, J.; Liu, D. Preparation of robust aramid composite papers exhibiting water resistance by partial dissolution/regeneration welding. Mater. Des. 2020, 187, 108404. [Google Scholar] [CrossRef]
- Moye, V.; Rane, K.S.; Dalal, V. Optimization of synthesis of nickel-zinc-ferrite from oxalates and oxalato hydrazinate precursors. J. Mater. Sci. Mater. Electron. 1990, 1, 212–218. [Google Scholar] [CrossRef]
- Zhang, L.; Hao, X.; Jian, Q.; Jin, Z. Ferrous oxalate dehydrate over CdS as Z-scheme photocatalytic hydrogen evolution. J. Solid State Chem. 2019, 274, 286–294. [Google Scholar] [CrossRef]
- Zhou, W.; Tang, K.; Zeng, S.; Qi, Y. Room temperature synthesis of rod-like FeC2O4·2H2O and its transition to maghemite, magnetite and hematite nanorods through controlled thermal decomposition. Nanotechnology 2008, 19, 065602. [Google Scholar] [CrossRef]
- Songfeng, E.; Ma, Q.; Ning, D.; Huang, J.; Jin, Z.; Lu, Z. Bio-inspired covalent crosslink of aramid nanofibers film for improved mechanical performances. Compos. Sci. Technol. 2021, 201, 108514. [Google Scholar] [CrossRef]
- Rao, Y.; Waddon, A.J.; Farris, R.J. The evolution of structure and properties in poly(p-phenylene terephthalamide) fibers. Polymer 2001, 42, 5925–5935. [Google Scholar] [CrossRef]
- Yao, J.; Wang, C. Decolorization of Methylene Blue withTiO2Sol via UV Irradiation Photocatalytic Degradation. Int. J. Photoenergy 2010, 2010, 643182. [Google Scholar] [CrossRef] [Green Version]
- Li, M.; Qiang, Z.; Pulgarin, C.; Kiwi, J. Accelerated methylene blue (MB) degradation by Fenton reagent exposed to UV or VUV/UV light in an innovative micro photo-reactor. Appl. Catal. B Environ. 2016, 187, 83–89. [Google Scholar] [CrossRef]
- Kavitha, V.; Palanivelu, K. The role of ferrous ion in Fenton and photo-Fenton processes for the degradation of phenol. Chemosphere 2004, 55, 1235–1243. [Google Scholar] [CrossRef]
- Jain, B.; Singh, A.K.; Kim, H.; Lichtfouse, E.; Sharma, V.K. Treatment of organic pollutants by homogeneous and heterogeneous Fenton reaction processes. Environ. Chem. Lett. 2018, 16, 947–967. [Google Scholar] [CrossRef]
- Verma, M.; Haritash, A.K. Degradation of amoxicillin by Fenton and Fenton-integrated hybrid oxidation processes. J. Environ. Chem. Eng. 2019, 7, 102886. [Google Scholar] [CrossRef]
- Keenan, C.R.; Sedlak, D.L. Factors affecting the yield of oxidants from the reaction of nanoparticulate zero-valent iron and oxygen. Environ. Sci. Technol. 2008, 42, 5377–5378. [Google Scholar] [CrossRef]
- Kim, S.M.; Geissen, S.U.; Vogelpohl, A. Landfill leachate treatment by a photoassisted fenton reaction. Water Sci. Technol. 1997, 35, 239–248. [Google Scholar] [CrossRef]
- Kwon, B.G.; Dong, S.L.; Kang, N.; Yoon, J. Characteristics of p-Chlorophenol Oxidation by Fenton’s Reagent. Water Res. 1999, 33, 2110–2118. [Google Scholar] [CrossRef]
- Nasser, J.; Steinke, K.; Zhang, L.; Sodano, H. Enhanced interfacial strength of hierarchical fiberglass composites through an aramid nanofiber interphase. Compos. Sci. Technol. 2020, 192, 1022886. [Google Scholar] [CrossRef]
- Park, B.; Lee, W.; Lee, E.; Min, S.H.; Kim, B.S. Highly tunable interfacial adhesion of glass fiber by hybrid multilayers of graphene oxide and aramid nanofiber. ACS Appl. Mater. Interfaces 2015, 7, 3329–3334. [Google Scholar] [CrossRef]
- Yang, M.; Cao, K.; Sui, L.; Qi, Y.; Zhu, J.; Waas, A.; Arruda, E.M.; Kieffer, J.; Thouless, M.; Kotov, N.A. Dispersions of Aramid Nanofibers: A New Nanoscale Building Block. Acs Nano 2011, 5, 6945–6954. [Google Scholar] [CrossRef] [Green Version]
- Saleh, M.; Bilici, Z.; Kaya, M.; Yalvac, M.; Arslan, H.; Yatmaz, H.C.; Dizge, N. The use of basalt powder as a natural heterogeneous catalyst in the Fenton and Photo-Fenton oxidation of cationic dyes. Adv. Powder Technol. 2021, 32, 1264–1275. [Google Scholar] [CrossRef]
- Mohapatra, L.; Parida, K.M. Zn–Cr layered double hydroxide: Visible light responsive photocatalyst for photocatalytic degradation of organic pollutants. Sep. Purif. Technol. 2012, 91, 73–80. [Google Scholar] [CrossRef]
- Fu, H.; Pan, C.; Yao, W.; Zhu, Y. Visible-light-induced degradation of rhodamine B by nanosized Bi2WO. J. Phys. Chem. B 2005, 109, 22432–22439. [Google Scholar] [CrossRef] [PubMed]
- Mondal, S.; Reyes, M.E.d.; Pal, U. Plasmon induced enhanced photocatalytic activity of gold loaded hydroxyapatite nanoparticles for methylene blue degradation under visible light. RSC Adv. 2017, 7, 8633–8645. [Google Scholar] [CrossRef]
- Chithambararaj, A.; Sanjini, N.S.; Bose, A.C.; Velmathi, S. Flower-like hierarchical h-MoO3: New findings of efficient visible light driven nano photocatalyst for methylene blue degradation. Catal. Sci. Technol. 2013, 3, 1405–1414. [Google Scholar] [CrossRef]
- Huang, F.; Chen, L.; Wang, H.; Yan, Z. Analysis of the degradation mechanism of methylene blue by atmospheric pressure dielectric barrier discharge plasma. Chem. Eng. J. 2010, 162, 250–256. [Google Scholar] [CrossRef]










Publisher’s Note: MDPI stays neutral with regard to jurisdictional claims in published maps and institutional affiliations. |
© 2022 by the authors. Licensee MDPI, Basel, Switzerland. This article is an open access article distributed under the terms and conditions of the Creative Commons Attribution (CC BY) license (https://creativecommons.org/licenses/by/4.0/).
Share and Cite
Fu, L.; Huang, Z.; Zhou, X.; Deng, L.; Liao, M.; Yang, S.; Chen, S.; Wang, H.; Wang, L. Ferrous-Oxalate-Modified Aramid Nanofibers Heterogeneous Fenton Catalyst for Methylene Blue Degradation. Polymers 2022, 14, 3491. https://doi.org/10.3390/polym14173491
Fu L, Huang Z, Zhou X, Deng L, Liao M, Yang S, Chen S, Wang H, Wang L. Ferrous-Oxalate-Modified Aramid Nanofibers Heterogeneous Fenton Catalyst for Methylene Blue Degradation. Polymers. 2022; 14(17):3491. https://doi.org/10.3390/polym14173491
Chicago/Turabian StyleFu, Lu, Zhiyu Huang, Xiang Zhou, Liumi Deng, Meng Liao, Shiwen Yang, Shaohua Chen, Hua Wang, and Luoxin Wang. 2022. "Ferrous-Oxalate-Modified Aramid Nanofibers Heterogeneous Fenton Catalyst for Methylene Blue Degradation" Polymers 14, no. 17: 3491. https://doi.org/10.3390/polym14173491
APA StyleFu, L., Huang, Z., Zhou, X., Deng, L., Liao, M., Yang, S., Chen, S., Wang, H., & Wang, L. (2022). Ferrous-Oxalate-Modified Aramid Nanofibers Heterogeneous Fenton Catalyst for Methylene Blue Degradation. Polymers, 14(17), 3491. https://doi.org/10.3390/polym14173491
