A Water Balloon as an Innovative Energy Storage Medium
Abstract
:1. Introduction
2. Materials and Methods
2.1. Energy-Storage Cycle
2.2. Experimental Setup
2.3. Performance Indicators
3. Results and Discussion
3.1. Service Life
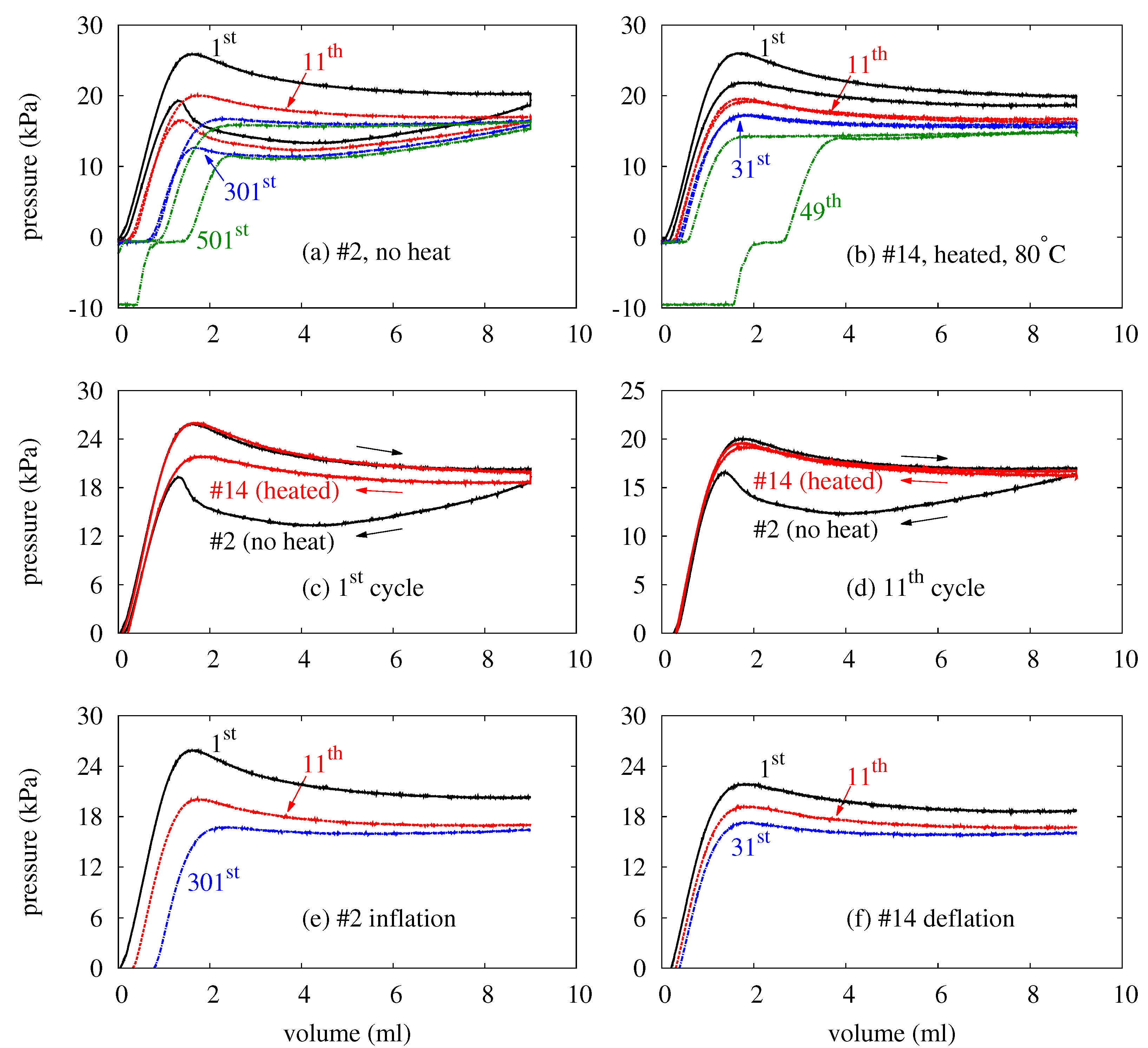
3.2. Evolution of P–V Curves
3.3. Transferred Energy
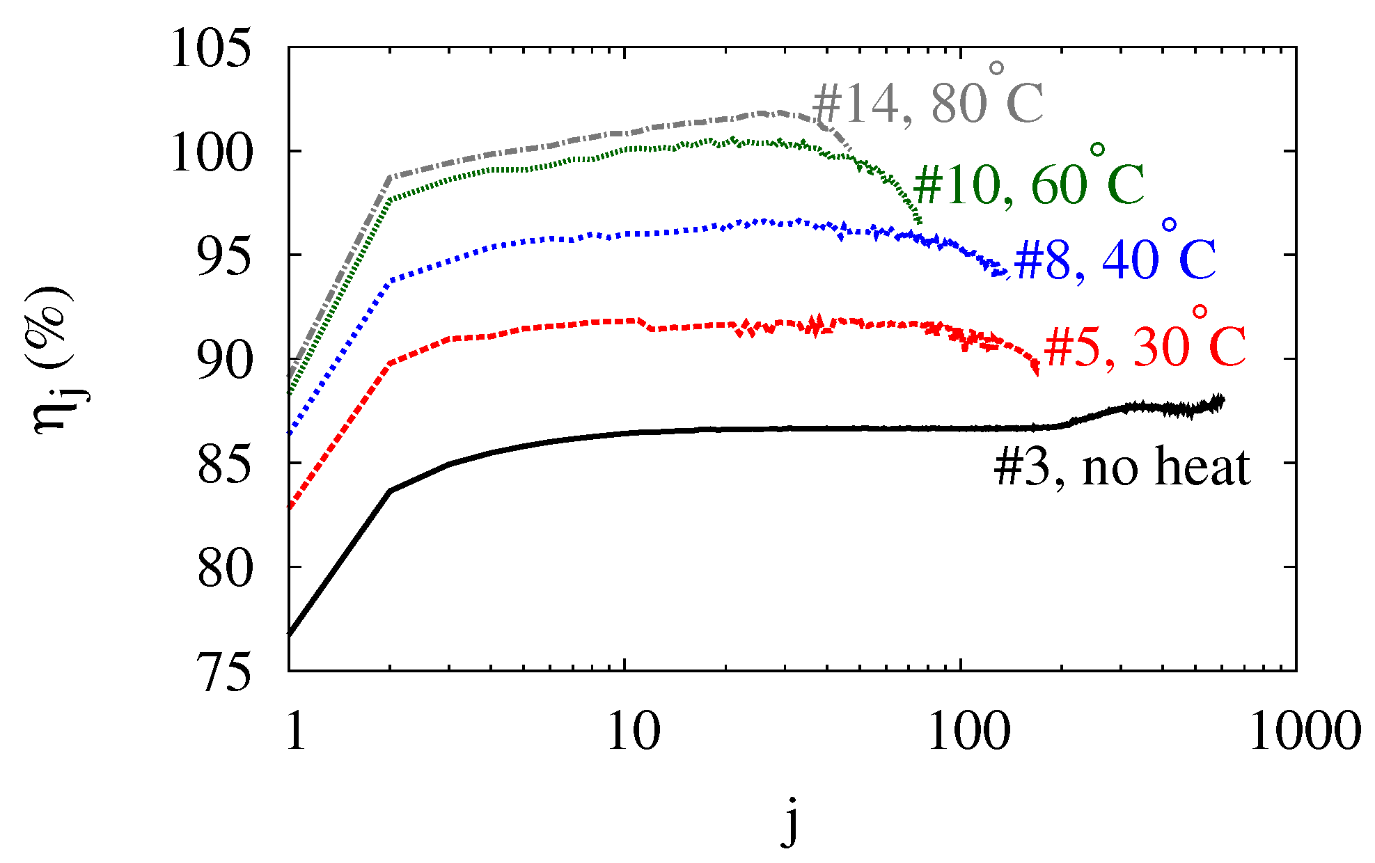
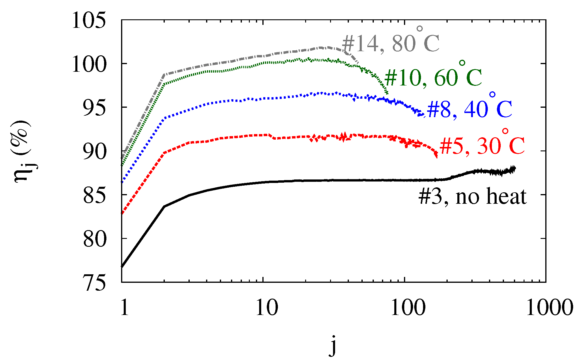
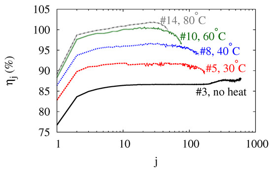
3.4. Efficiency
3.5. Permanent Deformation
4. Conclusions
Author Contributions
Funding
Data Availability Statement
Acknowledgments
Conflicts of Interest
References
- Rivlin, R.S.; Saunders, D.W. Large elastic deformations of isotropic materials vii. experiments on the deformation of rubber. Philos. Trans. R. Soc. Lond. Ser. A Math. Phys. Sci. 1951, 243, 251–288. [Google Scholar]
- Adkins, J.E.; Rivlin, R.S. Large elastic deformations of isotropic materials ix. the deformation of thin shells. Philos. Trans. R. Soc. Lond. Ser. A Math. Phys. Sci. 1952, 244, 505–531. [Google Scholar]
- Hart-Smith, L.J.; Crisp, J.D.C. Large elastic deformations of thin rubber membranes. Int. J. Eng. Sci. 1967, 5, 1–24. [Google Scholar] [CrossRef]
- Chang, C.-T. On the similarities between the resonance behaviors of water balloons and water drops. Phys. Fluids 2020, 32, 124113. [Google Scholar] [CrossRef]
- Alexander, H. Tensile instability of initially spherical balloons. Int. J. Eng. Sci. 1971, 9, 151–160. [Google Scholar] [CrossRef]
- Li, T.; Keplinger, C.; Baumgartner, R.; Bauer, S.; Yang, W.; Suo, Z. Giant voltage-induced deformation in dielectric elastomers near the verge of snap-through instability. J. Mech. Phys. Solids 2013, 61, 611–628. [Google Scholar] [CrossRef]
- Overvelde, J.T.B.; Kloek, T.; D’haen, J.J.A.; Bertoldi, K. Amplifying the response of soft actuators by harnessing snap-through instabilities. Proc. Natl. Acad. Sci. USA 2015, 112, 10863–10868. [Google Scholar] [CrossRef]
- Li, Z.; Zhu, J.; Foo, C.C.; Yap, C.H. A robust dual-membrane dielectric elastomer actuator for large volume fluid pumping via snap-through. Appl. Phys. Lett. 2017, 111, 212901. [Google Scholar] [CrossRef]
- Li, Z.; Wang, Y.; Foo, C.C.; Godaba, H.; Zhu, J.; Hwai Yap, C. The mechanism for large-volume fluid pumping via reversible snap-through of dielectric elastomer. J. Appl. Phys. 2017, 122, 084503. [Google Scholar] [CrossRef]
- Linnebach, P.; Rizzello, G.; Seelecke, S. Design and validation of a dielectric elastomer membrane actuator driven pneumatic pump. Smart Mater. Struct. 2020, 29, 075021. [Google Scholar] [CrossRef]
- Sideris, E.A.; de Lange, H.C. Pumps operated by solid-state electromechanical smart material actuators—A review. Sens. Actuators A Phys. 2020, 307, 111915. [Google Scholar] [CrossRef]
- Grüntzig, A.; Hopff, H. Perkutane rekanalisation chronischer arterieller verschlüsse mit einem neuen dilatationskatheter. Dtsch. Med. Wochenschr. 1974, 99, 2502–2505. [Google Scholar] [CrossRef]
- Glanz, S.; Gordon, D.H.; Butt, K.M.; Hong, J.; Adamsons, R.; Sclafani, S.J. Stenotic lesions in dialysis-access fistulas: Treatment by transluminal angioplasty using high-pressure balloons. Radiology 1985, 156, 236. [Google Scholar] [CrossRef]
- Vorwerk, D.; Adam, G.; Müller-Leisse, C.; Guenther, R.W. Hemodialysis fistulas and grafts: Use of cutting balloons to dilate venous stenoses. Radiology 1996, 201, 864–867. [Google Scholar] [CrossRef]
- Trerotola, S.O.; Stavropoulos, S.W.; Shlansky-Goldberg, R.; Tuite, C.M.; Kobrin, S.; Rudnick, M.R. Hemodialysis-related venous stenosis: Treatment with ultrahigh-pressure angioplasty balloons. Radiology 2004, 231, 259–262. [Google Scholar] [CrossRef]
- Byrne, R.A.; Joner, M.; Alfonso, F.; Kastrati, A. Drug-coated balloon therapy in coronary and peripheral artery disease. Nat. Rev. Cardiol. 2014, 11, 13–23. [Google Scholar] [CrossRef]
- Dotter, C.T.; Judkins, M.P. Transluminal treatment of arteriosclerotic obstruction. Circulation 1964, 30, 654–670. [Google Scholar] [CrossRef]
- Pelrine, R.; Kornbluh, R.D.; Pei, Q.; Stanford, S.; Oh, S.; Eckerle, J.; Full, R.J.; Rosenthal, M.A.; Meijer, K. Dielectric elastomer artificial muscle actuators: Toward biomimetic motion. In Smart Structures and Materials 2002: Electroactive Polymer Actuators and Devices (EAPAD); Bar-Cohen, Y., Ed.; International Society for Optics and Photonics: Bellingham, WA, USA, 2002; Volume 4695, pp. 126–137. [Google Scholar]
- Baumgartner, R.; Kogler, A.; Stadlbauer, J.M.; Foo, C.C.; Kaltseis, R.; Baumgartner, M.; Mao, G.; Keplinger, C.; Koh, S.A.; Arnold, N.; et al. A lesson from plants: High-speed soft robotic actuators. Adv. Sci. 2020, 7, 1903391. [Google Scholar] [CrossRef]
- Stadlbauer, J.M.; Haderer, W.; Graz, I.; Arnold, N.; Kaltenbrunner, M.; Bauer, S. Body temperature-triggered mechanical instabilities for high-speed soft robots. Soft Robot. 2022, 9, 128–134. [Google Scholar] [CrossRef]
- Pelrine, R.; Kornbluh, R.D.; Eckerle, J.; Jeuck, P.; Oh, S.; Pei, Q.; Stanford, S. Dielectric elastomers: Generator mode fundamentals and applications. In Smart Structures and Materials 2001: Electroactive Polymer Actuators and Devices; Bar-Cohen, Y., Ed.; International Society for Optics and Photonics: Bellingham, WA, USA, 2001; Volume 4329, pp. 148–156. [Google Scholar]
- Koh, S.J.A.; Zhao, X.; Suo, Z. Maximal energy that can be converted by a dielectric elastomer generator. Appl. Phys. Lett. 2009, 94, 262902. [Google Scholar] [CrossRef]
- Kurniawan, A.; Chaplin, J.R.; Greaves, D.M.; Hann, M. Wave energy absorption by a floating air bag. J. Fluid Mech. 2017, 812, 294–320. [Google Scholar] [CrossRef]
- Greibich, F.; Schwödiauer, R.; Mao, G.; Wirthl, D.; Drack, M.; Baumgartner, R.; Kogler, A.; Stadlbauer, J.; Bauer, S.; Arnold, N.; et al. Elastocaloric heat pump with specific cooling power of 20.9 w/g exploiting snap-through instability and strain-induced crystallization. Nat. Energy 2021, 6, 260–267. [Google Scholar] [CrossRef]
- Perazzelli, P.; Anagnostou, G. Design issues for compressed air energy storage in sealed underground cavities. J. Rock Mech. Geotech. Eng. 2016, 8, 314–328. [Google Scholar] [CrossRef]
- Seymour, R.J. Ocean energy on-demand using underocean compressed air storage. Int. Conf. Offshore Mech. Arct. Eng. 2007, 42711, 527–531. [Google Scholar]
- Park, J.-K.; Ro, P.I.; Lim, S.D.; Mazzoleni, A.P.; Quinlan, B. Analysis and optimization of a quasi-isothermal compression and expansion cycle for ocean compressed air energy storage (OCAES). In Proceedings of the 2012 Oceans, Hampton Roads, VA, USA, 14–19 October 2012; pp. 1–8. [Google Scholar]
- Pimm, A.J.; Garvey, S.D.; de Jong, M. Design and testing of Energy Bags for underwater compressed air energy storage. Energy 2014, 66, 496–508. [Google Scholar] [CrossRef]
- Mossali, E.; Picone, N.; Gentilini, L.; Rodrìguez, O.; Manuel Pérez, J.; Colledani, M. Lithium-ion batteries towards circular economy: A literature review of opportunities and issues of recycling treatments. J. Environ. Manag. 2020, 264, 110500. [Google Scholar] [CrossRef]
- Thompson, D.L.; Hartley, J.M.; Lambert, S.M.; Shiref, M.; Harper, G.J.; Kendrick, E.; Anderson, P.; Ryder, K.S.; Gaines, L.; Abbott, A.P. The importance of design in lithium ion battery recycling—A critical review. Green Chem. 2020, 22, 7585–7603. [Google Scholar] [CrossRef]
- Pullen, K.R. The status and future of flywheel energy storage. Joule 2019, 3, 1394–1399. [Google Scholar] [CrossRef]
- Wang, G.; Wang, P. Rotor loss analysis of pmsm in flywheel energy storage system as uninterruptable power supply. IEEE Trans. Appl. Supercond. 2016, 26, 1–5. [Google Scholar]
- Amiryar, M.E.; Pullen, K.R. Analysis of standby losses and charging cycles in flywheel energy storage systems. Energies 2020, 13, 4441. [Google Scholar] [CrossRef]
- Da Costa, R.S. Electricity Generation System Based on Nitrogen. European Patent EP 1 929 197 B1. European Patent EP 1 929 197 B1.
- Highview Power Storage Company Website. Available online: http://www.highviewpower.com (accessed on 30 June 2022).
- Morgan, R.; Nelmes, S.; Gibson, E.; Brett, G. Liquid air energy storage – analysis and first results from a pilot scale demonstration plant. Appl. Energy 2015, 137, 845–853. [Google Scholar] [CrossRef]
- Sciacovelli, A.; Vecchi, A.; Ding, Y. Liquid air energy storage (laes) with packed bed cold thermal storage—From component to system level performance through dynamic modelling. Appl. Energy 2017, 190, 84–98. [Google Scholar] [CrossRef]
- Khalil, K.M.; Ahmad, A.; Mahmoud, S.; Al-Dadah, R.K. Liquid air/nitrogen energy storage and power generation system for micro-grid applications. J. Clean. Prod. 2017, 164, 606–617. [Google Scholar] [CrossRef]
- Antonelli, M.; Barsali, S.; Desideri, U.; Giglioli, R.; Paganucci, F.; Pasini, G. Liquid air energy storage: Potential and challenges of hybrid power plants. Appl. Energy 2017, 194, 522–529. [Google Scholar] [CrossRef]
- Guizzi, G.L.; Manno, M.; Tolomei, L.M.; Vitali, R.M. Thermodynamic analysis of a liquid air energy storage system. Energy 2015, 93, 1639–1647. [Google Scholar] [CrossRef]
- Hamdy, S.; Morosuk, T.; Tsatsaronis, G. Cryogenics-based energy storage: Evaluation of cold exergy recovery cycles. Energy 2017, 138, 1069–1080. [Google Scholar] [CrossRef]
- Xue, X.D.; Wang, S.X.; Zhang, X.L.; Cui, C.; Chen, L.B.; Zhou, Y.; Wang, J.J. Thermodynamic analysis of a novel liquid air energy storage system. Phys. Procedia 2015, 67, 733–738. [Google Scholar] [CrossRef]
- King, A.L. Note in memory of blind john gough. Am. J. Phys. 1953, 21, 231–232. [Google Scholar] [CrossRef]
- Joule, J.P.V. On some thermo-dynamic properties of solids. Philos. Trans. R. Soc. Lond. 1859, 149, 91–131. [Google Scholar]
- Wiegand, W.B.; Snyder, I.W. A self energizing pendulum. Trans. Inst. Rubber Ind. 1925, 1, 141–154. [Google Scholar]
- Wiegand, W.B.; Snyder, J.W. The Rubber Pendulum, the Joule Effect, and the Dynamic Stress-Strain Curve. Rubber Chem. Technol. 1935, 8, 151–173. [Google Scholar] [CrossRef]
- Archibald, P.B. Quoted in stong, cl “the amateur scientist: Some delightful engines driven by the heating of rubber bands”. Sci. Am. 1971, 224, 118–122. [Google Scholar]
- Mullen, J.G.; Look, G.W.; Konkel, J. Thermodynamics of a simple rubber-band heat engine. Am. J. Phys. 1975, 43, 349–353. [Google Scholar] [CrossRef]
- Farris, R.J. Rubber heat engines, analyses and theory. Polym. Eng. Sci. 1977, 17, 737–744. [Google Scholar] [CrossRef]
- Lyon, R.E.; Wang, D.X.; Farris, R.J.; MacKnight, W.J. Polyurethane-urea elastomers as working substances in rubber heat engines. J. Appl. Polym. Sci. 1984, 29, 2857–2872. [Google Scholar] [CrossRef]
- Singh, R. A rubber heat engine for ground water irrigation in india. Agric. Ecosyst. Environ. 1989, 25, 271–278. [Google Scholar] [CrossRef]
- Toki, S.; Fujimaki, T.; Okuyama, M. Strain-induced crystallization of natural rubber as detected real-time by wide-angle x-ray diffraction technique. Polymer 2000, 41, 5423–5429. [Google Scholar] [CrossRef]
- Trabelsi, S.; Albouy, P.-A.; Rault, J. Stress-induced crystallization around a crack tip in natural rubber. Macromolecules 2002, 35, 10054–10061. [Google Scholar] [CrossRef]
- Tosaka, M.; Kawakami, D.; Senoo, K.; Kohjiya, S.; Ikeda, Y.; Toki, S.; Hsiao, B.S. Crystallization and stress relaxation in highly stretched samples of natural rubber and its synthetic analogue. Macromolecules 2006, 39, 5100–5105. [Google Scholar] [CrossRef]
- Rublon, P.; Huneau, B.; Verron, E.; Saintier, N.; Beurrot, S.; Leygue, A.; Mocuta, C.; Thiaudière, D.; Berghezan, D. Multiaxial deformation and strain-induced crystallization around a fatigue crack in natural rubber. Eng. Fract. Mech. 2014, 123, 59–69. [Google Scholar] [CrossRef]
- Brüning, K.; Schneider, K.; Roth, S.V.; Heinrich, G. Kinetics of strain-induced crystallization in natural rubber: A diffusion-controlled rate law. Polymer 2015, 72, 52–58. [Google Scholar] [CrossRef]
- Candau, N.; Laghmach, R.; Chazeau, L.; Chenal, J.; Gauthier, C.; Biben, T.; Munch, E. Temperature dependence of strain-induced crystallization in natural rubber: On the presence of different crystallite populations. Polymer 2015, 60, 115–124. [Google Scholar] [CrossRef]
- Legorju-Jago, K.; Bathias, C. Fatigue initiation and propagation in natural and synthetic rubbers. Int. J. Fatigue 2002, 24, 85–92. [Google Scholar] [CrossRef]
- Mueller, I.; Strehlow, P. Rubber and Rubber Balloons; Springer: Berlin/Heidelberg, Germany, 2004. [Google Scholar]
- Abdulla, F.A.; Al-Shareef, A.W. Roof rainwater harvesting systems for household water supply in jordan. Desalination 2009, 243, 195–207. [Google Scholar] [CrossRef]
- Herrmann, T.; Schmida, U. Rainwater utilisation in germany: Efficiency, dimensioning, hydraulic and environmental aspects. Urban Water 2000, 1, 307–316. [Google Scholar] [CrossRef]
- Melville-Shreeve, P.; Ward, S.; Butler, D. Rainwater harvesting typologies for uk houses: A multi criteria analysis of system configurations. Water 2016, 8, 129. [Google Scholar] [CrossRef]
- Treloar, L.R.G. Stress-Strain Data for Vulcanized Rubber under Various Types of Deformation. Rubber Chem. Technol. 1944, 17, 813–825. [Google Scholar] [CrossRef]
- Mars, W.V.; Fatemi, A. Factors that Affect the Fatigue Life of Rubber: A Literature Survey. Rubber Chem. Technol. 2004, 77, 391–412. [Google Scholar] [CrossRef]
- Mullins, L. Softening of Rubber by Deformation. Rubber Chem. Technol. 1969, 42, 339–362. [Google Scholar] [CrossRef]
- Diani, J.; Fayolle, B.; Gilormini, P. A review on the mullins effect. Eur. Polym. J. 2009, 45, 601–612. [Google Scholar] [CrossRef]
- Treloar, L.R.G. Strains in and inflated rubber sheet, and the mechanism of bursting. Trans. Inst. Rubber Ind. 1944, 19, 201–212. [Google Scholar] [CrossRef]









| ID | ||||||||
|---|---|---|---|---|---|---|---|---|
| C | C | C | Cycles | J | J | J | % | |
| 1 | RT | RT | – | 388 | 51.87 | 44.07 | 0.183 | 84.95 |
| 2 | RT | RT | – | 501 | 69.95 | 56.79 | 0.195 | 81.18 |
| 3 | RT | RT | – | 604 | 74.87 | 65.28 | 0.174 | 87.19 |
| 4 | 30 | 39.53 | 0.35 | 132 | 19.91 | 18.11 | 0.209 | 90.99 |
| 5 | 30 | 39.46 | 0.43 | 170 | 24.00 | 21.87 | 0.194 | 91.10 |
| 6 | 30 | 39.54 | 0.58 | 163 | 22.75 | 20.92 | 0.188 | 91.98 |
| 7 | 40 | 49.65 | 0.35 | 103 | 14.51 | 13.78 | 0.193 | 94.92 |
| 8 | 40 | 49.01 | 0.36 | 140 | 19.46 | 18.58 | 0.190 | 95.48 |
| 9 | 40 | 48.38 | 0.31 | 88 | 13.27 | 12.59 | 0.199 | 94.87 |
| 10 | 60 | 66.38 | 0.37 | 76 | 10.87 | 10.59 | 0.196 | 97.46 |
| 11 | 60 | 66.79 | 0.31 | 56 | 7.50 | 7.39 | 0.178 | 98.47 |
| 12 | 60 | 66.88 | 0.41 | 53 | 8.10 | 7.81 | 0.203 | 96.45 |
| 13 | 80 | 82.88 | 0.52 | 30 | 4.34 | 4.16 | 0.194 | 95.79 |
| 14 | 80 | 80.57 | 1.20 | 48 | 6.85 | 6.85 | 0.189 | 99.97 |
| 15 | 80 | 80.38 | 0.97 | 41 | 5.95 | 5.84 | 0.194 | 98.19 |
Publisher’s Note: MDPI stays neutral with regard to jurisdictional claims in published maps and institutional affiliations. |
© 2022 by the authors. Licensee MDPI, Basel, Switzerland. This article is an open access article distributed under the terms and conditions of the Creative Commons Attribution (CC BY) license (https://creativecommons.org/licenses/by/4.0/).
Share and Cite
Chang, C.-T.; Huang, P.T. A Water Balloon as an Innovative Energy Storage Medium. Polymers 2022, 14, 3396. https://doi.org/10.3390/polym14163396
Chang C-T, Huang PT. A Water Balloon as an Innovative Energy Storage Medium. Polymers. 2022; 14(16):3396. https://doi.org/10.3390/polym14163396
Chicago/Turabian StyleChang, Chun-Ti, and Pin Tuan Huang. 2022. "A Water Balloon as an Innovative Energy Storage Medium" Polymers 14, no. 16: 3396. https://doi.org/10.3390/polym14163396
APA StyleChang, C.-T., & Huang, P. T. (2022). A Water Balloon as an Innovative Energy Storage Medium. Polymers, 14(16), 3396. https://doi.org/10.3390/polym14163396

