Demonstration of Hybrid Effect in Single Fiber Pull-Out Tests for Glass/Cellulose-Reinforced Polypropylene with Different Fiber–Matrix Adhesions
Abstract
:1. Introduction
2. Materials and Methods
2.1. Materials
| Roving Type | Fiber Diameter (µm) | Number of Fibers | Density of Material (g/cm3) | Titer (g/km) | Youngs Modulus (MPa) | Tensile Strength (MPa) | Elongation at Break (%) |
|---|---|---|---|---|---|---|---|
| E-glass fiber | 15.5 | 1250 | 2.54 | 600 | 73,000 | 3400 | 3.5 |
| Cordenka Cellulose CR-Type | 12 | 1350 | 1.5 | 244 | 2200 | 825 | 13 |
| Sabic PP 520P | - | - | 0.905 | - | 1700 | 36 | - |
2.2. Film Extrusion
2.3. UV-Light Treatment
2.4. Embedding Fibers
2.5. Characterization
2.6. Fiber Pull-Out Test (FPT)
3. Results and Discussion
3.1. Fiber Pull-Out Test (FPT)
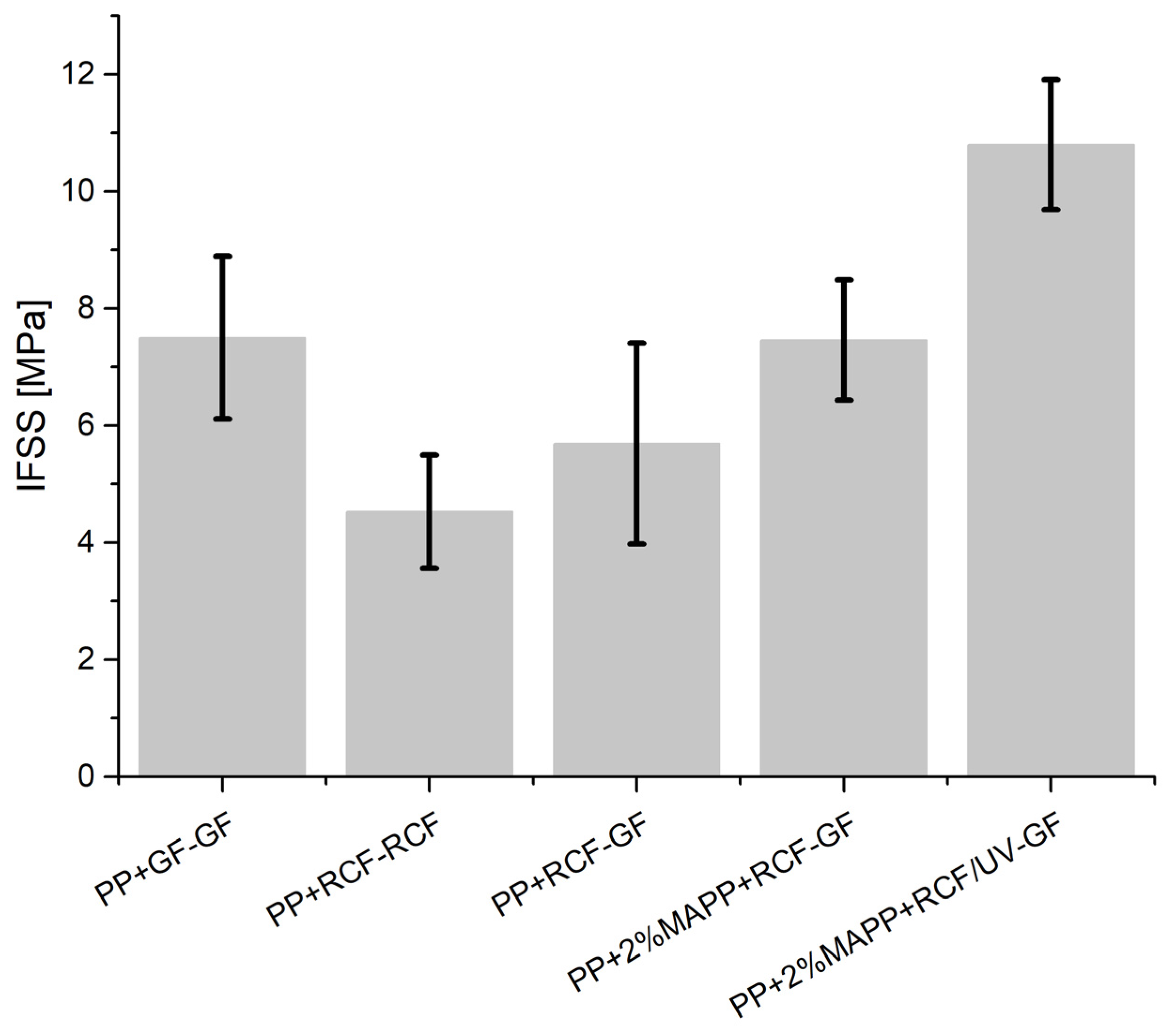
3.2. Interfacial Shear Strength (IFSS)
4. Conclusions
- The interaction of the two fiber types, GF and RCF, embedded side by side in a PP matrix can be demonstrated by fiber pull-outs. Due to the properties of GF in a hybrid reinforced PP+RCF-GF sample, the force/deformation curve increases steeply and reaches a higher force maximum compared to the RCF reference sample. The toughness of the RCF in the hybrid reinforced specimen results in the force maximum being reached at a high deformation, thus combining the properties of both fiber types.
- The use of a coupling agent affects both the bonding of the GF and the RCF. The interaction of the functional groups of the coupling agent with the surface of the fibers and the matrix leads to a stronger bonding of the fiber to the matrix compared to a pure PP without coupling agent. The result is an increase in the maximum force in the force-deformation curves, which also leads to higher IFSS. However, due to the changed bonding of the RCF, the force/deformation curve also loses the toughness of the RCF. The maximum force is already reached at low deformations in the hybrid reinforced specimens with coupling agent, as can also be seen in the GF reference specimens.
- As already shown in the single fiber pull-outs, a treatment of the RCF with UV light leads to stronger bonding of the fiber in combination with a coupling agent. The UV treatment of the RCF results in the formation of free radicals on the surface of the fiber, which bond with the coupling agent. This results in a stronger bond of the RCF to the PP compared to the PP and the adhesion promoter. The particularly strong bonding of the RCF leads to an increase in the maximum force in the force/deformation curves and, respectively, to a higher IFSS. Due to the strong bonding, the toughness of the RCF in the force–deformation curves is also lost after UV treatment, and the maximum force is already reached after small deformations.
- The UV treatment can influence the bonding of the RCF to the matrix. In combination with a coupling agent, the fiber can be bonded even more strongly, and thus, the IFSS can be increased. With a coupling agent, both fiber types are more strongly bonded. A selective interface in a hybrid fiber reinforced composite on only one fiber type is therefore possible with UV light.
Author Contributions
Funding
Data Availability Statement
Acknowledgments
Conflicts of Interest
References
- Annandarajah, C.; Langhorst, A.; Kiziltas, A.; Grewell, D.; Mielewski, D.; Montazami, R. Hybrid Cellulose-Glass Fiber Composites for Automotive Applications. Materials 2019, 12, 3189. [Google Scholar] [CrossRef] [Green Version]
- Franciszczak, P.; Kalniņš, K.; Błędzki, A.K. Hybridisation of man-made cellulose and glass reinforcement in short-fibre composites for injection moulding—Effects on mechanical performance. Compos. Part B Eng. 2018, 145, 14–27. [Google Scholar] [CrossRef]
- Kahl, C.; Feldmann, M.; Sälzer, P.; Heim, H.-P. Advanced short fiber composites with hybrid reinforcement and selective fiber-matrix-adhesion based on polypropylene—Characterization of mechanical properties and fiber orientation using high-resolution X-ray tomography. Compos. Part A Appl. Sci. Manuf. 2018, 111, 54–61. [Google Scholar] [CrossRef]
- Swolfs, Y.; Gorbatikh, L.; Verpoest, I. Fibre hybridisation in polymer composites. Compos. Part A Appl. Sci. Manuf. 2014, 67, 181–200. [Google Scholar] [CrossRef]
- Wang, S.; Lu, A.; Zhang, L. Recent advances in regenerated cellulose materials. Prog. Polym. Sci. 2016, 53, 169–206. [Google Scholar] [CrossRef]
- Unterweger, C.; Brüggemann, O.; Fürst, C. Effects of different fibers on the properties of short-fiber-reinforced polypropylene composites. Compos. Sci. Technol. 2014, 103, 49–55. [Google Scholar] [CrossRef]
- Wambua, P.; Ivens, J.; Verpoest, I. Natural fibres. Compos. Sci. Technol. 2003, 63, 1259–1264. [Google Scholar] [CrossRef]
- Gemmeke, N.; Feldmann, M.; Heim, H.-P. Processing and characterization of engineering biocomposites based on polybutylenterephthalat (PBT) and polytrimethylentherephthalat (PTT) with regenerated cellulose fibers modified with maleic anhydride grafted polyethylene as a processing agent. Compos. Part A Appl. Sci. Manuf. 2019, 118, 327–335. [Google Scholar] [CrossRef]
- Kahl, C.; Gemmeke, N.; Bagnucki, J.; Heim, H.-P. Investigations on fiber–matrix properties of heat-treated and UV-treated regenerated cellulose fibers. Compos. Part A Appl. Sci. Manuf. 2021, 152, 106669. [Google Scholar] [CrossRef]
- Nguyen, D.C.; Makke, A.; Montay, G. A Pull-out Fiber/Matrix Interface Characterization of Vegetal Fibers Reinforced Thermoplastic Polymer Composites: The Influence of the Processing Temperature. Int. J. Mater. Metall. Eng. 2015, 9, 732–736. [Google Scholar]
- Zarges, J.-C.; Kaufhold, C.; Feldmann, M.; Heim, H.-P. Single fiber pull-out test of regenerated cellulose fibers in polypropylene. Compos. Part A Appl. Sci. Manuf. 2018, 105, 19–27. [Google Scholar] [CrossRef]
- Ren, D.; Yu, Z.; Zhang, X.; Wang, H.; Wang, H.; Yu, Y. Quantitative characterization of the interface between bamboo fiber and polypropylene with pull-out test and nanomechanical imaging. J. Mater. Sci. 2017, 52, 1296–1307. [Google Scholar] [CrossRef]
- Bhatti, I.A.; Zia, K.M.; Ali, Z.; Zuber, M.; Rehman, F.U. Modification of cellulosic fibers to enhance their dyeability using UV-irradiation. Carbohydr. Polym. 2012, 89, 783–787. [Google Scholar] [CrossRef]
- Gassan, J. Effects of corona discharge and UV treatment on the properties of jute-fibre epoxy composites. Compos. Sci. Technol. 2000, 60, 2857–2863. [Google Scholar] [CrossRef]
- Caban, R. FTIR-ATR spectroscopic, thermal and microstructural studies on polypropylene-glass fiber composites. J. Mol. Struct. 2022, 1264, 133181. [Google Scholar] [CrossRef]
- Kim, D.W.; Han, S.; Lee, H.; Shin, J.; Choi, S.Q. Swelling-based preparation of polypropylene nanocomposite with non-functionalized cellulose nanofibrils. Carbohydr. Polym. 2022, 277, 118847. [Google Scholar] [CrossRef]
- Sergi, C.; Sbardella, F.; Lilli, M.; Tirillò, J.; Calzolari, A.; Sarasini, F. Hybrid Cellulose–Basalt Polypropylene Composites with Enhanced Compatibility: The Role of Coupling Agent. Molecules 2020, 25, 4384. [Google Scholar] [CrossRef]
- Prado, N.S.; da Silva, I.S.V.; de Morais, L.C.; Pasquini, D.; Otaguro, H. Effects of Surface Modifications of Kraft Wood Pulp Cellulose Fibres on Improving the Mechanical Properties of Cellulose Fibre/Latex Composites. J. Polym. Environ. 2019, 27, 2445–2453. [Google Scholar] [CrossRef]
- Kim, H.-S.; Lee, B.-H.; Choi, S.-W.; Kim, S.; Kim, H.-J. The effect of types of maleic anhydride-grafted polypropylene (MAPP) on the interfacial adhesion properties of bio-flour-filled polypropylene composites. Compos. Part A Appl. Sci. Manuf. 2007, 38, 1473–1482. [Google Scholar] [CrossRef]
- Feldmann, M. The effects of the injection moulding temperature on the mechanical properties and morphology of polypropylene man-made cellulose fibre composites. Compos. Part A Appl. Sci. Manuf. 2016, 87, 146–152. [Google Scholar] [CrossRef]
- D’Acierno, F.; Hamad, W.Y.; Michal, C.A.; MacLachlan, M.J. Thermal Degradation of Cellulose Filaments and Nanocrystals. Biomacromolecules 2020, 8, 3374–3386. [Google Scholar] [CrossRef]
- Feldmann, M.; Heim, H.-P.; Zarges, J.-C. Influence of the process parameters on the mechanical properties of engineering biocomposites using a twin-screw extruder. Compos. Part A Appl. Sci. Manuf. 2016, 83, 113–119. [Google Scholar] [CrossRef]
- Mader, A.; Kondor, A.; Schmid, T.; Einsiedel, R.; Müssig, J. Surface properties and fibre-matrix adhesion of man-made cellulose epoxy composites—Influence on impact properties. Compos. Sci. Technol. 2016, 123, 163–170. [Google Scholar] [CrossRef]
- Zuber, M.; Zia, K.M.; Bhatti, I.A.; Ali, Z.; Arshad, M.U.; Saif, M.J. Modification of cellulosic fibers by UV-irradiation. Part II: After treatments effects. Int. J. Biol. Macromol. 2012, 51, 743–748. [Google Scholar] [CrossRef]
- Teuber, L.; Fischer, H.; Graupner, N. Single fibre pull-out test versus short beam shear test: Comparing different methods to assess the interfacial shear strength. J. Mater. Sci. 2013, 48, 3248–3253. [Google Scholar] [CrossRef]








Publisher’s Note: MDPI stays neutral with regard to jurisdictional claims in published maps and institutional affiliations. |
© 2022 by the authors. Licensee MDPI, Basel, Switzerland. This article is an open access article distributed under the terms and conditions of the Creative Commons Attribution (CC BY) license (https://creativecommons.org/licenses/by/4.0/).
Share and Cite
Kahl, C.; Bagnucki, J.; Zarges, J.-C. Demonstration of Hybrid Effect in Single Fiber Pull-Out Tests for Glass/Cellulose-Reinforced Polypropylene with Different Fiber–Matrix Adhesions. Polymers 2022, 14, 2517. https://doi.org/10.3390/polym14132517
Kahl C, Bagnucki J, Zarges J-C. Demonstration of Hybrid Effect in Single Fiber Pull-Out Tests for Glass/Cellulose-Reinforced Polypropylene with Different Fiber–Matrix Adhesions. Polymers. 2022; 14(13):2517. https://doi.org/10.3390/polym14132517
Chicago/Turabian StyleKahl, Christian, Julius Bagnucki, and Jan-Christoph Zarges. 2022. "Demonstration of Hybrid Effect in Single Fiber Pull-Out Tests for Glass/Cellulose-Reinforced Polypropylene with Different Fiber–Matrix Adhesions" Polymers 14, no. 13: 2517. https://doi.org/10.3390/polym14132517
APA StyleKahl, C., Bagnucki, J., & Zarges, J.-C. (2022). Demonstration of Hybrid Effect in Single Fiber Pull-Out Tests for Glass/Cellulose-Reinforced Polypropylene with Different Fiber–Matrix Adhesions. Polymers, 14(13), 2517. https://doi.org/10.3390/polym14132517

