Graphene Oxide/Polyvinyl Alcohol–Formaldehyde Composite Loaded by Pb Ions: Structure and Electrochemical Performance
Abstract
:1. Introduction
2. Materials and Methods
2.1. Materials
2.2. Methods
2.2.1. Graphene Oxide
2.2.2. Pure PVF Foam
2.2.3. GO/PVF Foam
2.2.4. GO/PVF/Pb Foam
2.3. Characterization Methods
2.3.1. X-ray Photoelectron Spectroscopy (XPS)
2.3.2. FTIR Spectroscopy
2.3.3. Scanning Electron Microscopy
2.3.4. Differential Scanning Calorimetry (DSC)
2.3.5. Broadband Dielectric Spectroscopy (BDS)
3. Results
3.1. Elemental Composition
3.2. FTIR Spectroscopy
3.3. Surface Topography and Elemental Composition
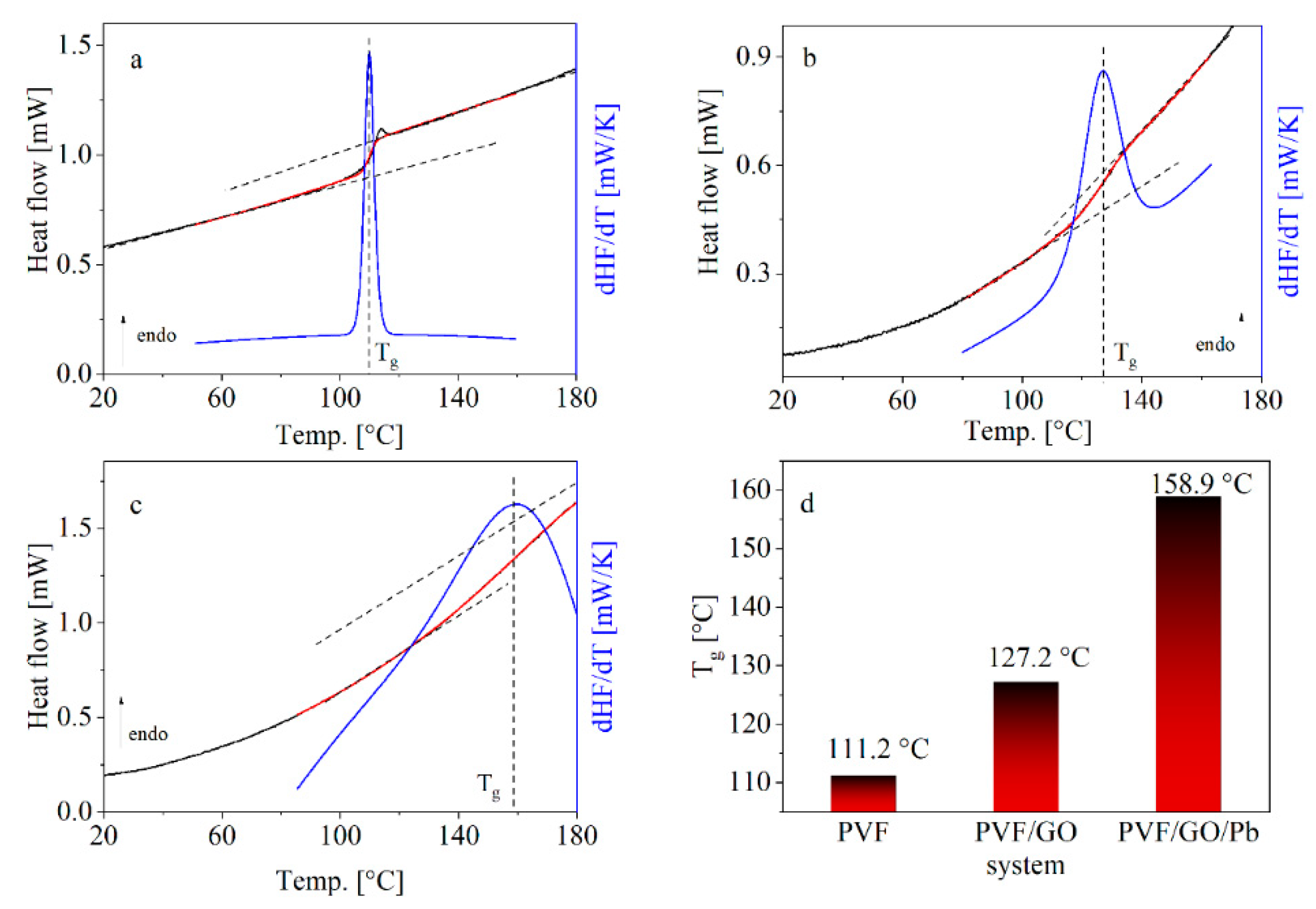
3.4. Glass Transition
3.5. Dielectric and Conductivity Measurements
3.5.1. Molecular Mobility
3.5.2. Conductivity
4. Conclusions
Supplementary Materials
Author Contributions
Funding
Institutional Review Board Statement
Informed Consent Statement
Conflicts of Interest
References
- Abdel-Baset, T.; Hekal, E.; Azab, A.; Anis, B. Broadband dielectric properties of polyvinyl-formaldehyde/MWCNTs foams. Phys. B Condens. Matter 2020, 604, 412666. [Google Scholar] [CrossRef]
- Arbatti, M.; Shan, X.; Cheng, Z.-Y. Ceramic–Polymer Composites with High Dielectric Constant. Adv. Mater. 2007, 19, 1369–1372. [Google Scholar] [CrossRef]
- Long, B.; Balogun, M.-S.; Luo, L.; Qiu, W.; Luo, Y.; Song, S.; Tong, Y. Phase Boundary Derived Pseudocapacitance Enhanced Nickel-Based Composites for Electrochemical Energy Storage Devices. Adv. Energy Mater. 2017, 8. [Google Scholar] [CrossRef]
- Zhao, B.; Hamidinejad, M.; Zhao, C.; Li, R.; Wang, S.; Kazemi, Y.; Park, C.B. A versatile foaming platform to fabricate polymer/carbon composites with high dielectric permittivity and ultra-low dielectric loss. J. Mater. Chem. A 2018, 7, 133–140. [Google Scholar] [CrossRef]
- Zhou, L.; Fu, Q.; Xue, F.; Tang, X.; Zhou, D.; Tian, Y.; Wang, G.; Wang, C.; Gou, H.; Xu, L. Multiple Interfacial Fe3O4@BaTiO3/P(VDF-HFP) Core–Shell–Matrix Films with Internal Barrier Layer Capacitor (IBLC) Effects and High Energy Storage Density. ACS Appl. Mater. Interfaces 2017, 9, 40792–40800. [Google Scholar] [CrossRef] [PubMed]
- He, D.; Wang, Y.; Song, S.; Liu, S.; Deng, Y. Significantly Enhanced Dielectric Performances and High Thermal Conductivity in Poly(vinylidene fluoride)-Based Composites Enabled by SiC@SiO2 Core–Shell Whiskers Alignment. ACS Appl. Mater. Interfaces 2017, 9, 44839–44846. [Google Scholar] [CrossRef]
- Deshmukh, K.; Ahamed, M.B.; Deshmukh, R.; Pasha, S.K.; Sadasivuni, K.K.; Ponnamma, D.; Chidambaram, K. Synergistic effect of vanadium pentoxide and graphene oxide in polyvinyl alcohol for energy storage application. Eur. Polym. J. 2016, 76, 14–27. [Google Scholar] [CrossRef]
- Faisal, M.; Khasim, S. Broadband electromagnetic shielding and dielectric properties of polyaniline-stannous oxide composites. J. Mater. Sci. Mater. Electron. 2013, 24, 2202–2210. [Google Scholar] [CrossRef]
- Park, D.H.; Lee, Y.K.; Park, S.S.; Lee, C.S.; Kim, S.H.; Kim, W.N. Effects of hybrid fillers on the electrical conductivity and EMI shielding efficiency of polypropylene/conductive filler composites. Macromol. Res. 2013, 21, 905–910. [Google Scholar] [CrossRef]
- Dang, Z.-M.; Yuan, J.; Zha, J.-W.; Zhou, T.; Li, S.-T.; Hu, G.-H. Fundamentals, processes and applications of high-permittivity polymer–matrix composites. Prog. Mater. Sci. 2012, 57, 660–723. [Google Scholar] [CrossRef]
- Deshmukh, K.; Ahamed, M.B.; Sadasivuni, K.K.; Ponnamma, D.; Deshmukh, R.R.; Pasha, S.K.K.; AlMaadeed, M.A.-A.; Chidambaram, K. Graphene oxide reinforced polyvinyl alcohol/polyethylene glycol blend composites as high-performance dielectric material. J. Polym. Res. 2016, 23, 1–13. [Google Scholar] [CrossRef]
- Chan, Y.; Hill, J. Hydrogen storage inside graphene-oxide frameworks. Nanotechnology 2011, 22, 305403. [Google Scholar] [CrossRef] [PubMed]
- Gómez-Navarro, C.; Burghard, M.; Kern, K. Elastic Properties of Chemically Derived Single Graphene Sheets. Nano Lett. 2008, 8, 2045–2049. [Google Scholar] [CrossRef] [PubMed] [Green Version]
- Dikin, D.A.; Stankovich, S.; Zimney, E.J.; Piner, R.D.; Dommett, G.H.B.; Evmenenko, G.; Nguyen, S.T.; Ruoff, R.S. Preparation and characterization of graphene oxide paper. Nature 2007, 448, 457–460. [Google Scholar] [CrossRef] [PubMed]
- Dragoman, D. Giant thermoelectric effect in graphene. Appl. Phys. Lett. 2007, 91, 203116. [Google Scholar] [CrossRef]
- Cheng, Q.; Tang, J.; Ma, J.; Zhang, H.; Shinya, N.; Qin, L.-C. Graphene and nanostructured MnO2 composite electrodes for supercapacitors. Carbon 2011, 49, 2917–2925. [Google Scholar] [CrossRef]
- Krishnamoorthy, K.; Mohan, R.; Kim, S.-J. Graphene oxide as a photocatalytic material. Appl. Phys. Lett. 2011, 98, 244101. [Google Scholar] [CrossRef]
- Zhang, J.; Li, Y.; Xie, X.; Zhu, W.; Meng, X. Fate of adsorbed Pb(II) on graphene oxide under variable redox potential controlled by electrochemical method. J. Hazard. Mater. 2019, 367, 152–159. [Google Scholar] [CrossRef]
- Jia, J.; Huang, G.; Deng, J.; Pan, K. Skin-inspired flexible and high-sensitivity pressure sensors based on rGO films with continuous-gradient wrinkles. Nanoscale 2018, 11, 4258–4266. [Google Scholar] [CrossRef]
- Sun, J.; Liang, Q.; Han, Q.; Zhang, X.; Ding, M. One-step synthesis of magnetic graphene oxide nanocomposite and its application in magnetic solid phase extraction of heavy metal ions from biological samples. Talanta 2015, 132, 557–563. [Google Scholar] [CrossRef] [PubMed]
- Gollavelli, G.; Chang, C.-C.; Ling, Y.-C. Facile Synthesis of Smart Magnetic Graphene for Safe Drinking Water: Heavy Metal Removal and Disinfection Control. ACS Sustain. Chem. Eng. 2013, 1, 462–472. [Google Scholar] [CrossRef]
- Pan, Y.; Peng, C.; Wang, W.; Shi, K.; Liu, Z.; Ji, X. Preparation and absorption behavior to organic pollutants of macroporous hydrophobic polyvinyl alcohol–formaldehyde sponges. RSC Adv. 2014, 4, 35620–35628. [Google Scholar] [CrossRef]
- Fernández, M.D.; Hoces, P. Synthesis of poly(vinyl butyral)s in homogeneous phase and their thermal properties. J. Appl. Polym. Sci. 2006, 102, 5007–5017. [Google Scholar] [CrossRef]
- Bolisetty, S.; Peydayesh, M.; Mezzenga, R. Sustainable technologies for water purification from heavy metals: Review and analysis. Chem. Soc. Rev. 2019, 48, 463–487. [Google Scholar] [CrossRef]
- Jeyakumar, R.P.S.; Chandrasekaran, V. Adsorption of lead(II) ions by activated carbons prepared from marine green algae: Equilibrium and kinetics studies. Int. J. Ind. Chem. 2014, 5, 2. [Google Scholar] [CrossRef] [Green Version]
- Meconi, G.M.; Tomovska, R.; Zangi, R. Adsorption of CO2 gas on graphene–polymer composites. J. CO2 Util. 2019, 32, 92–105. [Google Scholar] [CrossRef]
- Gerçel, H.F. Adsorption of lead(II) ions from aqueous solutions by activated carbon prepared from biomass plant material of Euphorbia rigida. Chem. Eng. J. 2007, 132, 289–297. [Google Scholar] [CrossRef]
- Alghamdi, A.A.; Al-Odayni, A.-B.; Saeed, W.S.; Al-Kahtani, A.; Alharthi, F.A.; Aouak, T. Efficient Adsorption of Lead (II) from Aqueous Phase Solutions Using Polypyrrole-Based Activated Carbon. Materials 2019, 12, 2020. [Google Scholar] [CrossRef] [PubMed] [Green Version]
- Koohzad, E.; Jafari, D.; Esmaeili, H. Adsorption of Lead and Arsenic Ions from Aqueous Solution by Activated Carbon Prepared from Tamarix Leaves. ChemistrySelect 2019, 4, 12356–12367. [Google Scholar] [CrossRef]
- Huang, Z.-H.; Zheng, X.; Lv, W.; Wang, M.; Yang, Q.-H.; Kang, F. Adsorption of Lead(II) Ions from Aqueous Solution on Low-Temperature Exfoliated Graphene Nanosheets. Langmuir 2011, 27, 7558–7562. [Google Scholar] [CrossRef]
- Yosef, M.; Fahmy, A.; El Hotaby, W.; Hassan, A.M.; Khalil, A.S.; Anis, B. High performance graphene-based PVF foam for lead removal from water. J. Mater. Res. Technol. 2020, 9, 11861–11875. [Google Scholar] [CrossRef]
- Anis, B.; Abouelsayed, A.; El Hotaby, W.; Sawy, A.M.; Khalil, A.S. Tuning the plasmon resonance and work function of laser-scribed chemically doped graphene. Carbon 2017, 120, 44–53. [Google Scholar] [CrossRef]
- Chiou, C.T. Fundamentals of the Adsorption Theory; Wiley: Hoboken, NJ, USA, 2002; pp. 39–52. [Google Scholar] [CrossRef]
- Wang, C.-C.; Juang, L.-C.; Lee, C.-K.; Hsu, T.-C.; Lee, J.-F.; Chao, H.-P. Effects of exchanged surfactant cations on the pore structure and adsorption characteristics of montmorillonite. J. Colloid Interface Sci. 2004, 280, 27–35. [Google Scholar] [CrossRef]
- Mobasherpour, I.; Salahi, E.; Ebrahimi, M. Thermodynamics and kinetics of adsorption of Cu(II) from aqueous solutions onto multi-walled carbon nanotubes. J. Saudi Chem. Soc. 2014, 18, 792–801. [Google Scholar] [CrossRef] [Green Version]
- Fahmy, A.; Schönhals, A. Reaction of CO2 Gas with (radicals in) Plasma-Polymerized Acrylic Acid (and Formation of COOH-Rich Polymer Layers). Plasma Process. Polym. 2015, 13, 499–508. [Google Scholar] [CrossRef]
- Fahmy, A.; Jácome, L.A.; Schönhals, A. Effect of Silver Nanoparticles on the Dielectric Properties and the Homogeneity of Plasma Poly(acrylic acid) Thin Films. J. Phys. Chem. C 2020, 124, 22817–22826. [Google Scholar] [CrossRef]
- Fahmy, A.; Mohamed, T.; Schönhals, A. Structure of Plasma Poly(Acrylic Acid): Influence of Pressure and Dielectric Properties. Plasma Chem. Plasma Process. 2014, 35, 303–320. [Google Scholar] [CrossRef]
- Radovic, L.R.; Moreno-Castilla, C.; Rivera-Utrilla, J. Chemistry and Physics of Carbon; Marcel Dekker: New York, NY, USA, 2001; p. 227. [Google Scholar]
- Laurence, C.; Gal, J.F. Lewis Basicity and Affinity Scales: Data and Measurement; Wiley: New York, NY, USA, 2009. [Google Scholar]
- Fahmy, A.; Schönhals, A.; Friedrich, J. Reaction of Water with (Radicals in) Plasma Polymerized Allyl Alcohol (and Formation of OH-Rich Polymer Layers). J. Phys. Chem. B 2013, 117, 10603–10611. [Google Scholar] [CrossRef]
- Deshmukh, K.; Ahmad, J.; Hägg, M.B. Fabrication and characterization of polymer blends consisting of cationic polyallylamine and anionic polyvinyl alcohol. Ionics 2014, 20, 957–967. [Google Scholar] [CrossRef]
- Bin Ahmad, M.; Tay, M.Y.; Shameli, K.; Hussein, M.Z.; Lim, J.J. Green Synthesis and Characterization of Silver/Chitosan/Polyethylene Glycol Nanocomposites without any Reducing Agent. Int. J. Mol. Sci. 2011, 12, 4872–4884. [Google Scholar] [CrossRef]
- Fan, W.; He, M.; Wu, X.; Chen, B.; Hu, B. Graphene oxide/polyethyleneglycol composite coated stir bar for sorptive extraction of fluoroquinolones from chicken muscle and liver. J. Chromatogr. A 2015, 1418, 36–44. [Google Scholar] [CrossRef]
- Fahmy, A.; Debarnot, D.; Friedrich, J. Influence of water addition on the structure of plasma-deposited allyl alcohol polymer films. J. Adhes. Sci. Technol. 2015, 29, 965–980. [Google Scholar] [CrossRef]
- Ahmad, J.; Deshmukh, K.; Hägg, M.B. Influence of TiO2on the Chemical, Mechanical, and Gas Separation Properties of Polyvinyl Alcohol-Titanium Dioxide (PVA-TiO2) Nanocomposite Membranes. Int. J. Polym. Anal. Charact. 2013, 18, 287–296. [Google Scholar] [CrossRef]
- Ahmad, J.; Deshmukh, K.; Habib, M.; Hägg, M.B. Influence of TiO2 Nanoparticles on the Morphological, Thermal and Solution Properties of PVA/TiO2 Nanocomposite Membranes. Arab. J. Sci. Eng. 2014, 39, 6805–6814. [Google Scholar] [CrossRef]
- Abu-Saied, M.; Fahmy, A.; Morgan, N.; Qutop, W.; Abdelbary, H.; Friedrich, J.F. Enhancement of Poly(vinyl chloride) Electrolyte Membrane by Its Exposure to an Atmospheric Dielectric Barrier Discharge Followed by Grafting with Polyacrylic Acid. Plasma Chem. Plasma Process. 2019, 39, 1499–1517. [Google Scholar] [CrossRef]
- Zhao, G.; Li, J.; Ren, X.; Chen, C.; Wang, X. Few-Layered Graphene Oxide Nanosheets As Superior Sorbents for Heavy Metal Ion Pollution Management. Environ. Sci. Technol. 2011, 45, 10454–10462. [Google Scholar] [CrossRef]
- Zhao, G.; Ren, X.; Gao, X.; Tan, X.; Li, J.; Chen, C.; Huang, Y.; Wang, X. Removal of Pb(ii) ions from aqueous solutions on few-layered graphene oxide nanosheets. Dalton Trans. 2011, 40, 10945–10952. [Google Scholar] [CrossRef]
- Pissis, P.; Laudat, J.; Daoukaki, D.; Kyritsis, A. Dynamic properties of water in porous Vycor glass studied by dielectric techniques. J. Non-Crystalline Solids 1994, 171, 201–207. [Google Scholar] [CrossRef]
- Puzenko, A.; Kozlovich, N.; Gutina, A.; Feldman, Y. Determination of pore fractal dimensions and porosity of silica glasses from the dielectric response at percolation. Phys. Rev. B 1999, 60, 14348–14359. [Google Scholar] [CrossRef]
- Gutina, A.; Antropova, T.; Rysiakiewicz-Pasek, E.; Virnik, K.; Feldman, Y. Dielectric relaxation in porous glasses. Microporous Mesoporous Mater. 2003, 58, 237–254. [Google Scholar] [CrossRef]
- Feldman, Y.; Puzenko, A.; Ryabov, Y. Non-Debye dielectric relaxation in complex materials. Chem. Phys. 2002, 284, 139–168. [Google Scholar] [CrossRef]
- Purohit, P.J.; Huacuja-Sánchez, J.E.; Wang, D.-Y.; Emmerling, F.; Thünemann, A.; Heinrich, G.; Schönhals, A. Structure–Property Relationships of Nanocomposites Based on Polypropylene and Layered Double Hydroxides. Macromolecules 2011, 44, 4342–4354. [Google Scholar] [CrossRef]
- Fahmy, A.; Kolmangadi, M.A.; Schönhals, A.; Friedrich, J. Structure of plasma-deposited copolymer films prepared from acrylic acid and styrene: Part III sulfonation and electrochemical properties. Plasma Process. Polym. 2022, 19. [Google Scholar] [CrossRef]
- Schönhals, A.; Kremer, F. (Eds.) Broadband Dielectric Spectroscopy; Springer: Berlin/Heidelberg, Germany, 2002; pp. 59–98. [Google Scholar]
- Dyre, J.C. The random free-energy barrier model for ac conduction in disordered solids. J. Appl. Phys. 1988, 64, 2456–2468. [Google Scholar] [CrossRef] [Green Version]
- Jonscher, A.K. The ‘universal’ dielectric response. Nature 1977, 267, 673–679. [Google Scholar] [CrossRef]
- Fahmy, A.; El-Zomrawy, A.; Saeed, A.M.; Sayed, A.Z.; El-Arab, M.A.E.; Shehata, H.A.; Friedrich, J. One-step synthesis of silver nanoparticles embedded with polyethylene glycol as thin films. J. Adhes. Sci. Technol. 2016, 31, 1422–1440. [Google Scholar] [CrossRef]










| Sample | Atomic Composition (%) | ||
|---|---|---|---|
| C1s | O1s | Pb4f | |
| PVF | 67.9 ± 0.6 | 32.1 ± 0.6 | - |
| PVF/GO | 68.1 ± 1.4 | 31.9 ± 1.4 | - |
| PVF/GO/Pb | 60.6 ± 2.1 | 36.6 ± 2.6 | 2.8 ± 0.6 |
Publisher’s Note: MDPI stays neutral with regard to jurisdictional claims in published maps and institutional affiliations. |
© 2022 by the authors. Licensee MDPI, Basel, Switzerland. This article is an open access article distributed under the terms and conditions of the Creative Commons Attribution (CC BY) license (https://creativecommons.org/licenses/by/4.0/).
Share and Cite
Fahmy, A.; Anis, B.; Szymoniak, P.; Altmann, K.; Schönhals, A. Graphene Oxide/Polyvinyl Alcohol–Formaldehyde Composite Loaded by Pb Ions: Structure and Electrochemical Performance. Polymers 2022, 14, 2303. https://doi.org/10.3390/polym14112303
Fahmy A, Anis B, Szymoniak P, Altmann K, Schönhals A. Graphene Oxide/Polyvinyl Alcohol–Formaldehyde Composite Loaded by Pb Ions: Structure and Electrochemical Performance. Polymers. 2022; 14(11):2303. https://doi.org/10.3390/polym14112303
Chicago/Turabian StyleFahmy, Alaa, Badawi Anis, Paulina Szymoniak, Korinna Altmann, and Andreas Schönhals. 2022. "Graphene Oxide/Polyvinyl Alcohol–Formaldehyde Composite Loaded by Pb Ions: Structure and Electrochemical Performance" Polymers 14, no. 11: 2303. https://doi.org/10.3390/polym14112303
APA StyleFahmy, A., Anis, B., Szymoniak, P., Altmann, K., & Schönhals, A. (2022). Graphene Oxide/Polyvinyl Alcohol–Formaldehyde Composite Loaded by Pb Ions: Structure and Electrochemical Performance. Polymers, 14(11), 2303. https://doi.org/10.3390/polym14112303

