Experimental Study of Fatigue and Fracture Behavior of Carbon Fiber-Reinforced Polymer (CFRP) Straps
Abstract
:1. Introduction
2. Materials and Methods
2.1. Specimens Details
2.2. Experimental Setup and Test Procedure
3. Results
3.1. The Tensile Testing Results
3.1.1. Damage Mode
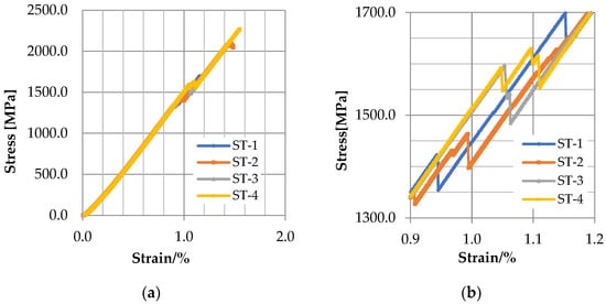
3.1.2. Stress–Strain Curve and Ultimate Tensile Strength
3.2. The Fatigue Testing Results
3.2.1. Displacement Development
3.2.2. Failure Strain
3.2.3. Temperature Development
3.2.4. Fatigue Life
3.2.5. Scanning Electron Microscopy (SEM) Analysis
4. Conclusions
- At the intersection between the straight and curved segments of CFRP strap, there is a significant stress concentration, resulting in a nearly 20% reduction in the ultimate tensile strength of the straight CFRP strap compared with the straight strip. In addition, the delamination of the CFRP strap generally occurs when the stress reaches about 70% of the ultimate tensile strength. After the delamination, the CFRP strap fails soon; therefore, the delamination can be considered as a sign of failure.
- The displacement of the CFRP strap is nearly 0.8 mm larger if CFRP pins are used instead of titanium pins, regardless of loading rate and number of cycles, because the CFRP pins have greater deflection than the titanium alloy pins during the fatigue testing.
- In the fatigue testing, the temperature development of the outside surface of the CFRP vertex has three stages: first, the temperature remains constant when the number of cycles is less than 100; second, the temperature increases gradually when the number of cycles increases from 100 to 1000; thirdly, the temperature keeps increasing with a lower increasing rate for titanium alloy pins but slightly decreases for CFRP pins. As the number of cycles further increases, the temperature increases significantly because the damaged fibers and matrix increase the surface roughness, which further magnifies the friction. Hence, it is necessary to enhance the performance of the CFRP strap, and enriching resins with carbon nanotubes may be investigated in the future [29,30].
- The effect of temperature increase induced by friction on the fatigue CFRP strap is slight if CFRP pins are used and significant if titanium alloy pins are used.
Author Contributions
Funding
Institutional Review Board Statement
Informed Consent Statement
Data Availability Statement
Acknowledgments
Conflicts of Interest
References
- Yao, G.W.; Yang, S.C.; Zhang, J.Q.; Leng, Y.L. Analysis of corrosion-fatigue damage and fracture mechanism of in-service bridge cables/hangers. Adv. Civ. Eng. 2021, 2021, 6633706. [Google Scholar]
- Yang, S.C.; Zhang, J.Q.; Yao, G.W. Mesoscopic damage behavior of corroded steel strands based on image grayscale analysis. J. Solid Mech. 2018, 39, 284–294. [Google Scholar]
- Nakamura, S.; Miyachi, K. Ultimate strength and chain-reaction failure of hangers in tied-arch bridges. Struct. Eng. Int. 2021, 31, 136–146. [Google Scholar] [CrossRef]
- Hegde, S.; Shenoy, B.S.; Chethan, K.N. Review on carbon fiber reinforced polymer (CFRP) and their mechanical performance. Mater. Today Proc. 2019, 19, 658–662. [Google Scholar] [CrossRef]
- Alam, P.; Mamalis, D.; Robert, C.; Floreani, C.; Conchúr, M.Ó.B. The fatigue of carbon fibre reinforced plastics—A review. Compos. Part B Eng. 2019, 166, 555–579. [Google Scholar] [CrossRef] [Green Version]
- Liu, Y.; Zwingmann, B.; Schlaich, M. Carbon fiber reinforced polymer for cable structures—A review. Polymers 2015, 7, 2078–2099. [Google Scholar] [CrossRef] [Green Version]
- Uomoto, T.; Mutsuyoshi, H.; Katsuki, F.; Misra, S. Use of fiber reinforced polymer composites as reinforcing material for concrete. J. Mater. Civ. Eng. 2015, 14, 191–209. [Google Scholar] [CrossRef]
- Meier, U. Carbon Fiber Reinforced Polymer Cables: Why? Why Not? What If? Arab. J. Eng. 2012, 37, 399–411. [Google Scholar] [CrossRef] [Green Version]
- Xie, G.-H.; Yin, J.; Liu, R.-G.; Chen, B.; Cai, D.-S. Experimental and numerical investigation on the static and dynamic behaviors of cable-stayed bridges with CFRP cables. Compos. Part B Eng. 2017, 111, 235–242. [Google Scholar] [CrossRef]
- Kalfat, R.; Al-Mahaidi, R. Investigation into bond behaviour of a new CFRP anchorage system for concrete utilising a mechanically strengthened substrate. Compos. Struct. 2010, 92, 2738–2746. [Google Scholar] [CrossRef]
- Schmidt, J.W.; Bennitz, A.; Täljsten, B.; Goltermann, P.; Pedersen, H. Mechanical anchorage of FRP tendons—A literature review. Constr. Build. Mater. 2012, 32, 110–121. [Google Scholar] [CrossRef]
- Mei, K.; Seracino, R.; Lv, Z. An experimental study on bond-type anchorages for carbon fiber-reinforced polymer cables. Constr. Build. Mater. 2016, 106, 584–591. [Google Scholar] [CrossRef]
- Wang, X.; Xu, P.; Wu, Z.; Shi, J. A novel anchor method for multi-tendon FRP cable: Manufacturing and experimental study. J. Compos. Constr. 2015, 19, 04015010. [Google Scholar] [CrossRef]
- Wang, L.C.; Zhang, J.Y.; Xu, J.; Han, Q.H. Anchorage systems of CFRP cables in cable structures—A review. Constr. Build. Mater. 2018, 160, 82–99. [Google Scholar] [CrossRef]
- Xie, G.; Tang, Y.; Wang, C.; Li, S.; Liu, G.R. Experimental study on fatigue performance of adhesively bonded anchorage system for CFRP tendons. Compos. Part B 2018, 150, 47–59. [Google Scholar] [CrossRef] [Green Version]
- Zhang, K.Y.; Fang, Z.; Nanni, A. Behavior of tendons with multiple CFRP Rods. J. Struct. Eng. 2016, 142, 1–10. [Google Scholar] [CrossRef]
- Cai, D.; Yin, J.; Liu, R. Experimental and analytical investigation into the stress performance of composite anchors for CFRP tendons. Compos. Part B 2015, 79, 530–534. [Google Scholar] [CrossRef]
- Winistoerfer, A. Development of Non-Laminated Advanced Composite Straps for Civil Engineering Applications. Ph.D. Thesis, University of Warwick, Warwick, UK, 1999. [Google Scholar]
- Winistorfer, A.; Mottram, J.T. Finite element analysis of non-Laminated composite pin-loaded straps for civil engineering. J. Compos. Mater. 2001, 35, 577–602. [Google Scholar] [CrossRef]
- Lees, J.M.; Winistörfer, A.U. Nonlaminated FRP strap elements for reinforced concrete, timber, and masonry applications. J. Compos. Constr. 2011, 15, 146–155. [Google Scholar] [CrossRef] [Green Version]
- Hoult, N.A.; Lees, J.M. Efficient CFRP strap configurations for the shear strengthening of reinforced concrete T-beams. J. Compos. Constr. 2009, 13, 45–52. [Google Scholar] [CrossRef]
- Hoult, N.A. Retrofitting of Reinforced Concrete Beams with CFRP Straps to Enhance Shear Capacity. Ph.D. Thesis, University of Cambridge, Cambridge, UK, 2005. [Google Scholar]
- Fan, H.; Vassilopoulos, A.P.; Keller, T. Numerical and analytical investigation of tensile behavior of non-laminated and laminated CFRP straps. Compos. Struct. 2018, 200, 79–87. [Google Scholar] [CrossRef]
- Fan, H.; Vassilopoulos, A.P.; Keller, T. Load transfer mechanisms in CFRP ground anchors with multi-strap ends. Compos. Struct. 2018, 184, 125–134. [Google Scholar] [CrossRef]
- Fragassa, C. Marine applications of natural fibre-reinforced composites: A Manufacturing Case Study. In Advances in Applications of Industrial Biomaterials; Springer: Cham, Switzerland, 2017. [Google Scholar]
- Yue, Q.-R.; Zheng, Y.; Chen, X.; Liu, X.-G. Research on fatigue performance of CFRP reinforced steel crane girder. Compos. Struct. 2016, 154, 277–285. [Google Scholar] [CrossRef]
- Baschnagel, F.; Rohr, V.; Terrasi, G.P. Fretting fatigue behavior of pin-Loaded thermoset carbon-fibre-reinforced polymer (CFRP) Straps. Polymers 2016, 8, 124. [Google Scholar] [CrossRef]
- Baschnagel, F.; Härdi, R.; Triantafyllidis, Z.; Meier, U.; Terrasi, G.P. Fatigue and durability of laminated carbon fibre reinforced polymer straps for bridge suspenders. Polymers 2018, 10, 169. [Google Scholar] [CrossRef] [Green Version]
- Theodoros, C.R.; Katerina, B.K.; Theodoros, K.K. Effects of carbon nanotube enrichment of epoxy resins on hybrid FRP–FR confinement of concrete. Compos. Part B Eng. 2014, 57, 210–218. [Google Scholar]
- Ayoub, Y.; Marwan, A.H. Carbon nanotube—Carbon fiber reinforced polymer composites with extended fatigue life. Compos. Part B Eng. 2019, 164, 537–545. [Google Scholar]




















| Properties | Carbon Fiber | Epoxy Resin | CFRP Strap |
|---|---|---|---|
| Ultimate strength (MPa) | 5600 | 120~140 | 2567 ± 58 |
| Modulus of elasticity (GPa) | 290 | 2.9~3.1 | 168 ± 6.6 |
| Ultimate tensile strain (%) | / | / | 1.52 ± 0.23 |
| Carbon fiber volume content (%) | / | / | 62 ± 2 |
| Thickness single layer (mm) | 0.17 | ||
| Width (mm) | 12 |
| Specimen ID | Pin Material | Loading Frequency (Hz) | Thickness Seven Layers/Six Layers (mm) | Width (mm) |
|---|---|---|---|---|
| FA-Ti10-1~8 | Titanium alloy | 15 | 1.2/1.02 | 12 |
| FA-Ti15-1~11 | Titanium alloy | 15 | 1.2/1.02 | 12 |
| FA-CFRP10-1~10 | CFRP | 10 | 1.2/1.02 | 12 |
| FA-CFRP15-1~10 | CFRP | 10 | 1.2/1.02 | 12 |
| Specimen Number | Ultimate Tensile Stress/MPa | Strain /% | Stress at Occurrence of Delamination/MPa | Strain/% |
|---|---|---|---|---|
| ST-1 | 2067.96 | 1.42 | 1422.85 | 0.94 |
| ST-2 | 2047.25 | 1.49 | 1463.40 | 0.99 |
| ST-3 | 1924.03 | 1.33 | 1597.37 | 1.05 |
| ST-4 | 2274.30 | 1.55 | 1615.49 | 1.11 |
| Avg. | 2078.39 | 1.45 | 1524.78 | 1.02 |
Publisher’s Note: MDPI stays neutral with regard to jurisdictional claims in published maps and institutional affiliations. |
© 2022 by the authors. Licensee MDPI, Basel, Switzerland. This article is an open access article distributed under the terms and conditions of the Creative Commons Attribution (CC BY) license (https://creativecommons.org/licenses/by/4.0/).
Share and Cite
Gao, J.; Xu, P.; Fan, L.; Li, J.; Terrasi, G.P.; Meier, U. Experimental Study of Fatigue and Fracture Behavior of Carbon Fiber-Reinforced Polymer (CFRP) Straps. Polymers 2022, 14, 2129. https://doi.org/10.3390/polym14102129
Gao J, Xu P, Fan L, Li J, Terrasi GP, Meier U. Experimental Study of Fatigue and Fracture Behavior of Carbon Fiber-Reinforced Polymer (CFRP) Straps. Polymers. 2022; 14(10):2129. https://doi.org/10.3390/polym14102129
Chicago/Turabian StyleGao, Jing, Penghai Xu, Lingyun Fan, Jinfeng Li, Giovanni Pietro Terrasi, and Urs Meier. 2022. "Experimental Study of Fatigue and Fracture Behavior of Carbon Fiber-Reinforced Polymer (CFRP) Straps" Polymers 14, no. 10: 2129. https://doi.org/10.3390/polym14102129
APA StyleGao, J., Xu, P., Fan, L., Li, J., Terrasi, G. P., & Meier, U. (2022). Experimental Study of Fatigue and Fracture Behavior of Carbon Fiber-Reinforced Polymer (CFRP) Straps. Polymers, 14(10), 2129. https://doi.org/10.3390/polym14102129
