Effects of Ligands in Rare Earth Complex on Properties, Functions, and Intelligent Behaviors of Polyurea–Urethane Composites
Abstract
:1. Introduction
2. Experimental Section
2.1. Materials
2.2. Preparation of Polyurea–Urethane (PUU)
2.3. Preparation of REOC I: Sm(TTA)3(Phen)
2.4. Preparation of REOC II: Sm(PABA)3(Phen)
2.5. Preparation of REOC III: Sm(BUBA)3(Phen)
2.6. Preparation of REOC/Polyurethane Composites
2.7. Characterizations
3. Results and Discussion
3.1. Chemical Structure and Properties of Three REOCs
3.2. Dispersion of REOC in the PUU Matrix
3.3. Properties of PUU Composites with Three Kinds of REOC
3.4. Functions of PUU Composite with Three Kinds of REOC
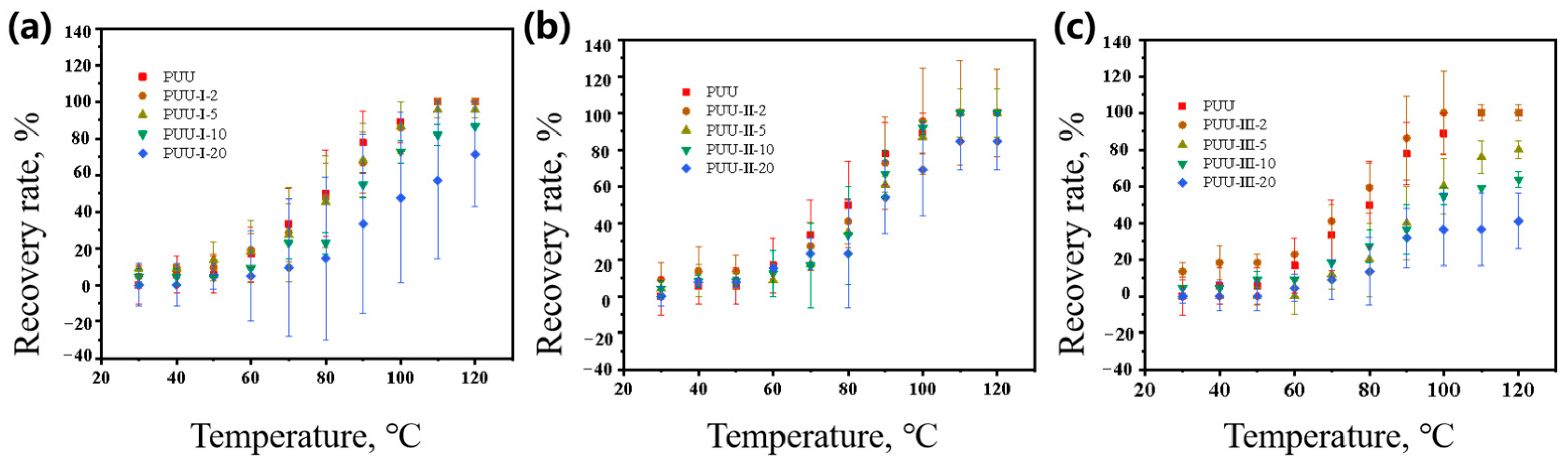
3.5. Intelligence of Polyurea–Polyurethane Composites with Three Kinds of REOC
4. Conclusions
Supplementary Materials
Author Contributions
Funding
Conflicts of Interest
References
- Wang, S.; Urban, M.W. Self-healing polymers. Nat. Rev. Mater. 2020, 5, 562–583. [Google Scholar] [CrossRef]
- Cheng, M.; Fu, Q.; Tan, B.; Ma, Y.; Fang, L.; Lu, C.; Xu, Z. Build a bridge from polymeric structure design to engineering application of self-healing coatings: A review. Prog. Org. Coat. 2022, 167, 106790. [Google Scholar] [CrossRef]
- Du, W.; Jin, Y.; Lai, S.; Shi, L.; Shen, Y.; Yang, H. Multifunctional light-responsive graphene-based polyurethane composites with shape memory, self-healing, and flame retardancy properties. Compos. Part A Appl. Sci. Manuf. 2020, 128, 105686. [Google Scholar] [CrossRef]
- Du, W.; Jin, Y.; Shi, L.; Shen, Y.; Lai, S.; Zhou, Y. NIR-light-induced thermoset shape memory polyurethane composites with self-healing and recyclable functionalities. Compos. Part B Eng. 2020, 195, 108092. [Google Scholar] [CrossRef]
- Zhang, W.; Leng, X.; Gao, M.; Wei, Z.; Wang, Y.; Li, Y. Synthesis of cross-linked triple shape memory polyurethane with Self-healing functionalities. Polym. Test. 2021, 96, 107099. [Google Scholar] [CrossRef]
- Boudjellal, A.; Trache, D.; Khimeche, K.; Hafsaoui, S.L.; Bougamra, A.; Tcharkhtchi, A.; Durastanti, J.-F. Stimulation and reinforcement of shape-memory polymers and their composites: A review. J. Thermoplast. Compos. Mater. 2020. [Google Scholar] [CrossRef]
- Li, H.; Zhong, J.; Meng, J.; Xian, G. The reinforcement efficiency of carbon nanotubes/shape memory polymer nanocomposites. Compos. Part B Eng. 2013, 44, 508–516. [Google Scholar] [CrossRef]
- Verma, D.K.; Purohit, R.; Rana, R.; Purohit, S.; Patel, K. Enhancement of the properties of shape memory polymers using different nano size reinforcement—A review. Mater. Today Proc. 2020, 26, 3037–3042. [Google Scholar] [CrossRef]
- Cheng, X.; Chen, Y.; Dai, S.; Bilek, M.M.; Bao, S.; Ye, L. Bending shape memory behaviours of carbon fibre reinforced polyurethane-type shape memory polymer composites under relatively small deformation: Characterisation and computational simulation. J. Mech. Behav. Biomed. Mater. 2019, 100, 103372. [Google Scholar] [CrossRef]
- Sofla, R.L.M.; Rezaei, M.; Babaie, A.; Nasiri, M. Preparation of electroactive shape memory polyurethane/graphene nanocomposites and investigation of relationship between rheology, morphology and electrical properties. Compos. Part B Eng. 2019, 175, 107090. [Google Scholar] [CrossRef]
- Du, F.-P.; Ye, E.-Z.; Yang, W.; Shen, T.-H.; Tang, C.-Y.; Xie, X.-L.; Zhou, X.-P.; Law, W.-C. Electroactive shape memory polymer based on optimized multi-walled carbon nanotubes/polyvinyl alcohol nanocomposites. Compos. Part B Eng. 2015, 68, 170–175. [Google Scholar] [CrossRef]
- Feng, X.; Zhang, G.; Zhuo, S.; Jiang, H.; Shi, J.; Li, F.; Li, H. Dual responsive shape memory polymer/clay nanocomposites. Compos. Sci. Technol. 2016, 129, 53–60. [Google Scholar] [CrossRef]
- Cho, J.W.; Lee, S.H. Influence of silica on shape memory effect and mechanical properties of polyurethane–silica hybrids. Eur. Polym. J. 2004, 40, 1343–1348. [Google Scholar] [CrossRef]
- Auad, M.L.; Contos, V.S.; Nutt, S.; Aranguren, M.I.; Marcovich, N.E. Characterization of nanocellulose-reinforced shape memory polyurethanes. Polym. Int. 2008, 57, 651–659. [Google Scholar] [CrossRef]
- Wang, T.; Yu, W.-C.; Zhou, C.-G.; Sun, W.-J.; Zhang, Y.-P.; Jia, L.-C.; Gao, J.-F.; Dai, K.; Yan, D.-X.; Li, Z.-M. Self-healing and flexible carbon nanotube/polyurethane composite for efficient electromagnetic interference shielding. Compos. Part B Eng. 2020, 193, 108015. [Google Scholar] [CrossRef]
- Lin, C.; Sheng, D.; Liu, X.; Xu, S.; Ji, F.; Dong, L.; Zhou, Y.; Yang, Y. Effect of different sizes of graphene on Diels-Alder self-healing polyurethane. Polymer 2019, 182, 121822. [Google Scholar] [CrossRef]
- Chen, H.; Ginzburg, V.V.; Yang, J.; Yang, Y.; Liu, W.; Huang, Y.; Du, L.; Chen, B. Thermal conductivity of polymer-based composites: Fundamentals and applications. Prog. Polym. Sci. 2016, 59, 41–85. [Google Scholar] [CrossRef]
- Fu, C.; Li, Q.; Lu, J.; Mateti, S.; Cai, Q.; Zeng, X.; Du, G.; Sun, R.; Chen, Y.; Xu, J. Improving thermal conductivity of polymer composites by reducing interfacial thermal resistance between boron nitride nanotubes. Compos. Sci. Technol. 2018, 165, 322–330. [Google Scholar] [CrossRef]
- Marsden, A.J.; Papageorgiou, D.; Valles, C.; Liscio, A.; Palermo, V.; Bissett, M.; Young, R.; Kinloch, I. Electrical percolation in graphene–polymer composites. 2D Mater. 2018, 5, 032003. [Google Scholar] [CrossRef] [Green Version]
- Duan, H.; Zhu, H.; Gao, J.; Yan, D.-X.; Dai, K.; Yang, Y.; Zhao, G.; Liu, Y.; Li, Z.-M. Asymmetric conductive polymer composite foam for absorption dominated ultra-efficient electromagnetic interference shielding with extremely low reflection characteristics. J. Mater. Chem. A 2020, 8, 9146–9159. [Google Scholar] [CrossRef]
- Jiang, D.; Murugadoss, V.; Wang, Y.; Lin, J.; Ding, T.; Wang, Z.; Shao, Q.; Wang, C.; Liu, H.; Lu, N. Electromagnetic interference shielding polymers and nanocomposites-a review. Polym. Rev. 2019, 59, 280–337. [Google Scholar] [CrossRef]
- Song, P.; Liu, B.; Qiu, H.; Shi, X.; Cao, D.; Gu, J. MXenes for polymer matrix electromagnetic interference shielding composites: A review. Compos. Commun. 2021, 24, 100653. [Google Scholar] [CrossRef]
- Zhang, H.; Song, H.; Yu, H.; Bai, X.; Li, S.; Pan, G.; Dai, Q.; Wang, T.; Li, W.; Lu, S. Electrospinning preparation and photoluminescence properties of rare-earth complex/polymer composite fibers. J. Phys. Chem. C 2007, 111, 6524–6527. [Google Scholar] [CrossRef]
- Gao, B.; Zhang, W.; Zhang, Z.; Lei, Q. Preparation of polymer–rare earth complex using salicylic acid-containing polystyrene and its fluorescence emission property. J. Lumin. 2012, 132, 2005–2011. [Google Scholar] [CrossRef]
- Gao, B.; Fang, L.; Men, J. Studies on preparation, structure and fluorescence emission of polymer-rare earth complexes composed of aryl carboxylic acid-functionalized polystyrene and Tb (Ⅲ) ion. Polymer 2012, 53, 4709–4717. [Google Scholar] [CrossRef]
- Chen, P.; Shi, J.; Zhang, Y.; Wang, K.; Nie, J. EVA film doped with β-diketones macromolecular lanthanide complexes: Preparation, characterization and application. Eur. Polym. J. 2014, 58, 191–200. [Google Scholar] [CrossRef]
- Wang, D.; Yu, Y.; Ai, X.; Pan, H.; Zhang, H.; Dong, L. Polylactide/poly (butylene adipate-co-terephthalate)/rare earth complexes as biodegradable light conversion agricultural films. Polym. Adv. Technol. 2019, 30, 203–211. [Google Scholar] [CrossRef] [Green Version]
- Wang, Q.; Xie, D.; Chen, J.; Liu, G.; Yu, M. Facile fabrication of luminescent rare-earth-doped PS/AA composites for anti-counterfeiting applications. J. Mater. Sci. 2021, 56, 13146–13155. [Google Scholar] [CrossRef]
- Liu, L.; Lu, Y.L.; He, L.; Zhang, W.; Yang, C.; Liu, Y.D.; Zhang, L.Q.; Jin, R.G. Novel Europium-Complex/Nitrile-Butadiene Rubber Composites. Adv. Funct. Mater. 2005, 15, 309–314. [Google Scholar] [CrossRef]
- Yang, C.; Liu, L.; Lu, Y.; He, L.; Zhang, W.; Zhang, L. Preparation of Tb (Pht) 3phen/rubber composites and characterization of their fluorescent properties. J. Appl. Polym. Sci. 2005, 96, 20–28. [Google Scholar] [CrossRef]
- Changhao, Y.; Chuanjie, X.; Honghui, H.; Rong, W.; Zhang, M.; Guanming, Q. Preparation and properties of RE3+ doped luminescent co-polymer by solution copolymerization. J. Rare Earths 2009, 27, 761–766. [Google Scholar]
- Wang, H.; Fang, L.; Zhang, Z.; Epaarachchi, J.; Li, L.; Hu, X.; Lu, C.; Xu, Z. Light-induced rare earth organic complex/shape-memory polymer composites with high strength and luminescence based on hydrogen bonding. Compos. Part A Appl. Sci. Manuf. 2019, 125, 105525. [Google Scholar] [CrossRef]
- Chen, T.; Fang, L.; Lu, C.; Xu, Z. Effects of Blended Reversible Epoxy Domains on Structures and Properties of Self-Healing/Shape-Memory Thermoplastic Polyurethane. Macromol. Mater. Eng. 2020, 305, 1900578. [Google Scholar] [CrossRef]
- Tao, J.; Ni, Y.; Lu, C.; Chen, J.; Yuan, Y.; Chen, J.; Xu, Z. Mutual protection against UV aging of EVA composites using highly active optical conversion additives. RSC Adv. 2014, 4, 39316–39321. [Google Scholar] [CrossRef]
- Somphon, W.; Makatan, S. Characterization of donepezil prepared by cogrinding with salicylic acid and p-aminobenzoic acid. ScienceAsia 2019, 45, 28–35. [Google Scholar] [CrossRef] [Green Version]
- Queiroz, D.P.; de Pinho, M.N. Structural characteristics and gas permeation properties of polydimethylsiloxane/poly (propylene oxide) urethane/urea bi-soft segment membranes. Polymer 2005, 46, 2346–2353. [Google Scholar] [CrossRef]
- Huang, X.; Xia, Y.; Zhang, H.; Yan, Z.; Tang, Y.; Yang, X.-J.; Wu, B. Synthesis, crystal structure, and fluorescence studies of (1-naphthyl)(pyridyl) urea metal complexes. Inorg. Chem. Commun. 2008, 11, 450–453. [Google Scholar] [CrossRef]
- Radu, G.-L.; Truică, G.-I.; Penu, R.; Moroeanu, V.; Litescu, S.C. Use of the Fourier transform infrared spectroscopy in characterization of specific samples. UPB Sci. Bull. Ser. B 2012, 74, 137–148. [Google Scholar]
- Sheng, Z.; Ma, D.; He, Q.; Wu, K.; Yang, L. Mechanism of photocatalytic toluene oxidation with ZnWO 4: A combined experimental and theoretical investigation. Catal. Sci. Technol. 2019, 9, 5692–5697. [Google Scholar] [CrossRef]
- Zolotukhin, M.; Fomine, S.; Salcedo, R.; Khalilov, L. Remarkable enhancement of reactivity of carbonyl compounds for polymerizations with non-activated aromatic hydrocarbons. Chem. Commun. 2004, 10, 1030–1031. [Google Scholar] [CrossRef]
- Al-Asadi, R.H.; Al-Masoudi, W.A.; Abdual-Rassol, K.S. Synthesis, Biological Activity and Computational Study of Some New Unsymmetrical Organotellurium Compounds Derived from 2-Amino-5-carboxyphenyl Mercury (II) Chloride. Asian J. Chem. 2016, 28, 1171–1176. [Google Scholar] [CrossRef]













| Samples | Tensile Strength (MPa) | Elongation at Break (%) | Fluorescence Lifetime (s) | Shape Recovery Ratio (%) | Self-Healing Efficiency (%) |
|---|---|---|---|---|---|
| PUU | 42 | 405 | — | 100 | 56.2 |
| PUU-I-2 | 21 | 522 | 60 | 100 | 94.3 |
| PUU-I-5 | 15 | 550 | 80 | 95 | 162.8 |
| PUU-I-10 | 9 | 572 | 80 | 86 | 24.9 |
| PUU-I-20 | 8 | 609 | 70 | 71 | 22.3 |
| PUU-II-2 | 15 | 392 | 51 | 100 | 68.1 |
| PUU-II-5 | 13 | 325 | 60 | 100 | 77.8 |
| PUU-II-10 | 13 | 402 | 60 | 100 | 140.0 |
| PUU-II-20 | 4 | 194 | 60 | 84 | 124.9 |
| PUU-III-2 | 38 | 369 | 51 | 100 | 135.1 |
| PUU-III-5 | 30 | 349 | 49 | 80 | 184.7 |
| PUU-III-10 | 41 | 406 | 51 | 64 | 79.1 |
| PUU-III-20 | 7 | 361 | 60 | 41 | 176.2 |
Publisher’s Note: MDPI stays neutral with regard to jurisdictional claims in published maps and institutional affiliations. |
© 2022 by the authors. Licensee MDPI, Basel, Switzerland. This article is an open access article distributed under the terms and conditions of the Creative Commons Attribution (CC BY) license (https://creativecommons.org/licenses/by/4.0/).
Share and Cite
Zhou, L.; Yang, H.; Zhang, Z.; Liu, Y.; Epaarachchi, J.; Fang, Z.; Fang, L.; Lu, C.; Xu, Z. Effects of Ligands in Rare Earth Complex on Properties, Functions, and Intelligent Behaviors of Polyurea–Urethane Composites. Polymers 2022, 14, 2098. https://doi.org/10.3390/polym14102098
Zhou L, Yang H, Zhang Z, Liu Y, Epaarachchi J, Fang Z, Fang L, Lu C, Xu Z. Effects of Ligands in Rare Earth Complex on Properties, Functions, and Intelligent Behaviors of Polyurea–Urethane Composites. Polymers. 2022; 14(10):2098. https://doi.org/10.3390/polym14102098
Chicago/Turabian StyleZhou, Lu, Hongwei Yang, Zhen Zhang, Yue Liu, Jayantha Epaarachchi, Zhenggang Fang, Liang Fang, Chunhua Lu, and Zhongzi Xu. 2022. "Effects of Ligands in Rare Earth Complex on Properties, Functions, and Intelligent Behaviors of Polyurea–Urethane Composites" Polymers 14, no. 10: 2098. https://doi.org/10.3390/polym14102098
APA StyleZhou, L., Yang, H., Zhang, Z., Liu, Y., Epaarachchi, J., Fang, Z., Fang, L., Lu, C., & Xu, Z. (2022). Effects of Ligands in Rare Earth Complex on Properties, Functions, and Intelligent Behaviors of Polyurea–Urethane Composites. Polymers, 14(10), 2098. https://doi.org/10.3390/polym14102098
