Fire Resistance of Geopolymer Foams Layered on Polystyrene Boards
Abstract
:1. Introduction
2. Materials and Methods
2.1. Raw Materials Employed for Synthesizing Geopolymer Foams (GFs)
2.2. Methods for the Synthesis of Geopolymer Foams (GFs)
2.3. Characterization Methods for GFs
2.4. Methods for Fire Resistance Evaluation of GFs Layers on Polystyrene Boards
3. Results and Discussion
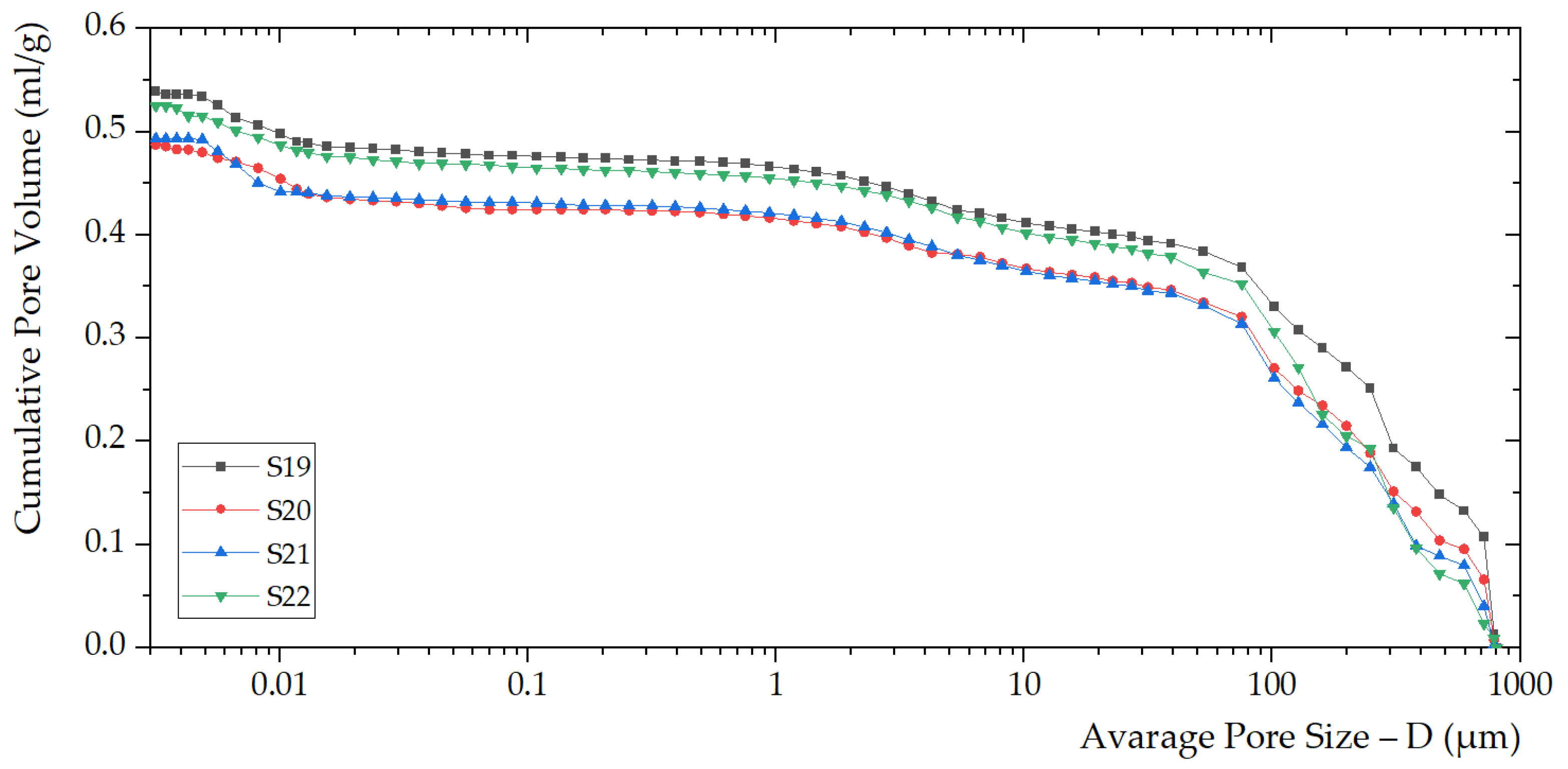
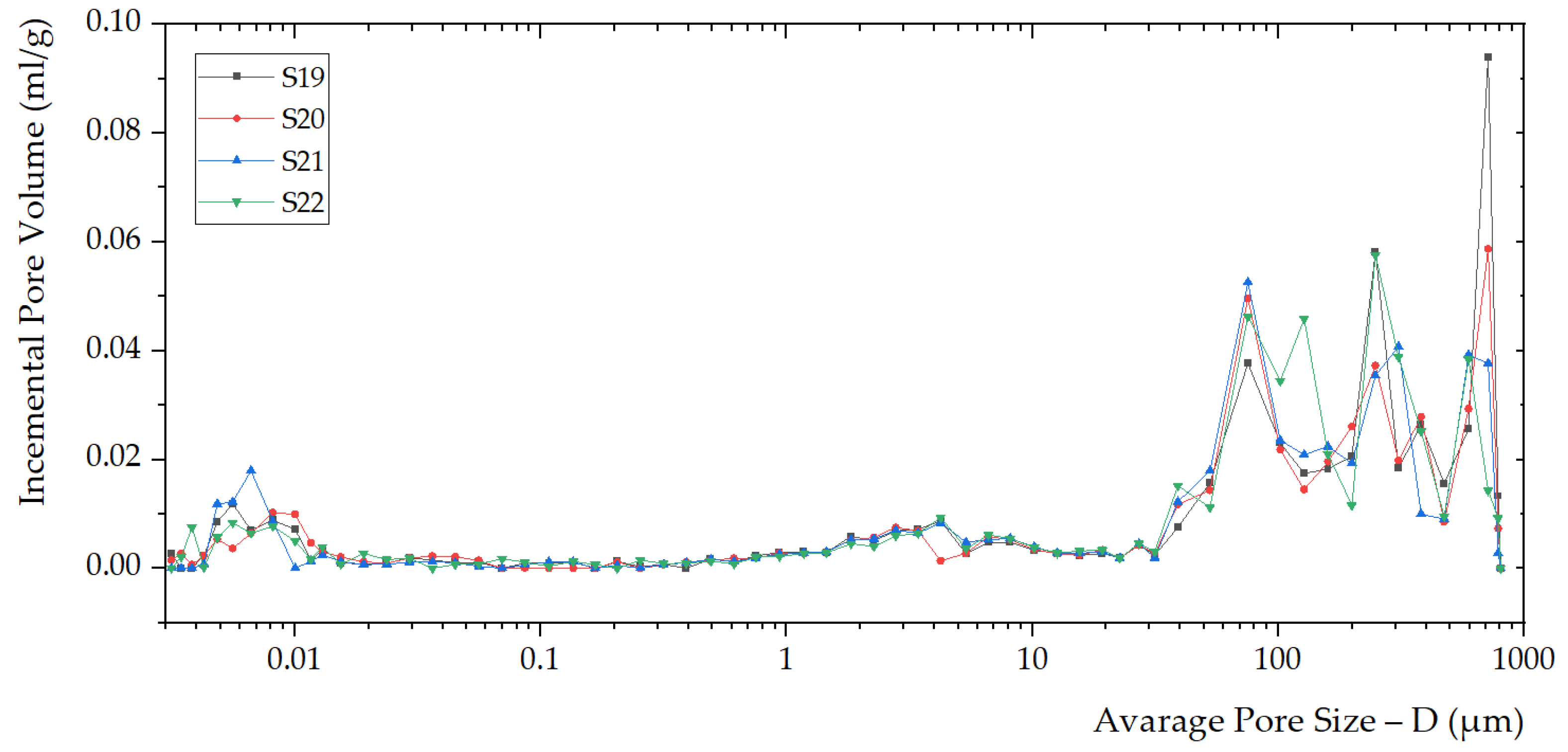
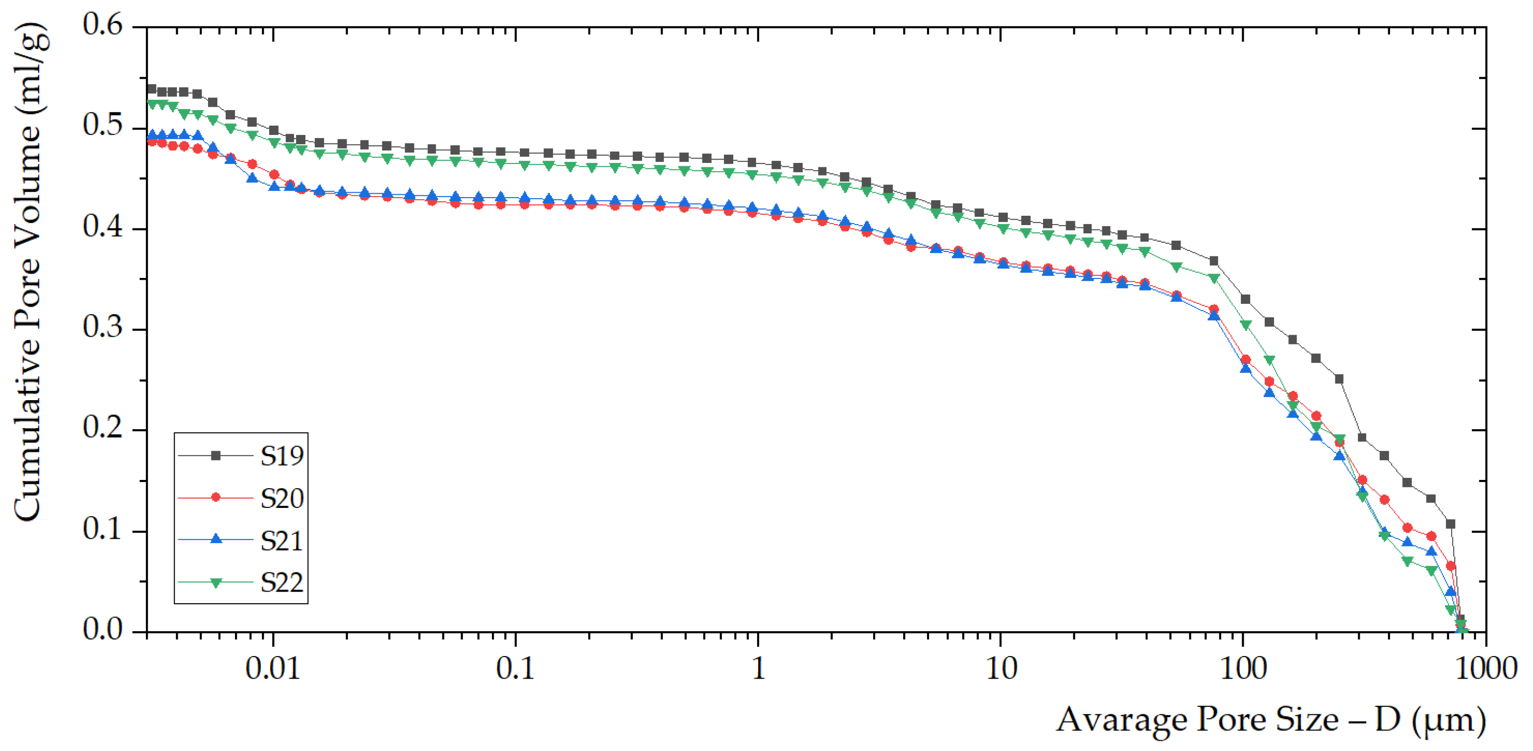
3.1. Densities and Porosities of Geopolymer Foams
3.2. Mechanical Properties of GFs
3.3. Thermal Conductivity of GFs
3.4. Fire Resistance of GFs Layers Sprayed on Polystyrene Boards
4. Conclusions
Author Contributions
Funding
Institutional Review Board Statement
Informed Consent Statement
Data Availability Statement
Acknowledgments
Conflicts of Interest
References
- Davidovits, J. Geopolymers and geopolymeric materials. J. Therm. Anal. 1989, 35, 429–441. [Google Scholar] [CrossRef]
- Zhang, Z.; Provis, J.; Reid, A.; Wang, H. Geopolymer foam concrete: An emerging material for sustainable construction. Constr. Build. Mater. 2014, 56, 113–127. [Google Scholar] [CrossRef]
- Koleżyński, A.; Król, M.; Żychowicz, M. The structure of geopolymers—Theoretical studies. J. Mol. Struct. 2018, 1163, 465–471. [Google Scholar] [CrossRef]
- Zhang, Z.; Yao, X.; Zhu, H.; Hua, S.; Chen, Y. Activating process of geopolymer source material: Kaolinite. J. Wuhan Univ. Technol. Sci. Ed. 2009, 24, 132–136. [Google Scholar] [CrossRef]
- Bai, C.; Colombo, P. Processing, properties and applications of highly porous geopolymers: A review. Ceram. Int. 2018, 44, 16103–16118. [Google Scholar] [CrossRef]
- Ercoli, R.; Laskowska, D.; Nguyen, V.V.; Le, V.S.; Louda, P.; Łoś, P.; Ciemnicka, J.; Prałat, K.; Renzulli, A.; Paris, E.; et al. Mechanical and Thermal Properties of Geopolymer Foams (GFs) Doped with By-Products of the Secondary Aluminum Industry. Polymers 2022, 14, 703. [Google Scholar] [CrossRef] [PubMed]
- Abdollahnejad, Z.; Pacheco-Torgal, F.; Félix, T.; Tahri, W.; Aguiar, J. Mix design, properties and cost analysis of fly ash-based geopolymer foam. Constr. Build. Mater. 2015, 80, 18–30. [Google Scholar] [CrossRef] [Green Version]
- Katarzyna, B.; Le, C.H.; Louda, P.; Michał, S.; Bakalova, T.; Tadeusz, P.; Prałat, K. The Fabrication of Geopolymer Foam Composites Incorporating Coke Dust Waste. Processes 2020, 8, 1052. [Google Scholar] [CrossRef]
- Lightweight Aggregate Concrete—1st Edition. Available online: https://www.elsevier.com/books/lightweight-aggregate-concrete/chandra/978-0-8155-1486-2 (accessed on 13 April 2022).
- Integral Waterproofing of Concrete Structures—1st Edition. Available online: https://www.elsevier.com/books/integral-waterproofing-of-concrete-structures/al-jabari/978-0-12-824354-1 (accessed on 13 April 2022).
- Geopolymers—1st Edition. Available online: https://www.elsevier.com/books/geopolymers/provis/978-1-84569-449-4 (accessed on 13 April 2022).
- Journal Ceramics-Silikáty. Available online: https://www.ceramics-silikaty.cz/index.php?page=cs_detail_doi&id=114 (accessed on 13 April 2022).
- Le, V.S.; Louda, P.; Tran, H.N.; Nguyen, P.D.; Bakalova, T.; Buczkowska, K.E.; Dufkova, I. Study on Temperature-Dependent Properties and Fire Resistance of Metakaolin-Based Geopolymer Foams. Polymers 2020, 12, 2994. [Google Scholar] [CrossRef]
- Škvára, F.; Kopecký, L.; Myšková, L.; Šmilauer, V.; Alberovska, L.; Vinšová, L. Aluminosilicate polymers–influence of elevated temperatures, efflorescence. Ceram.–Silikáty 2009, 53, 276–282. [Google Scholar]
- Xu, F.; Gu, G.; Huang, X.; Zhang, J.; Zhu, J. Investigation on formation mechanism of pore structure in geopolymer foam concrete. J. Build. Mater. 2020, 23, 1024–1029. [Google Scholar] [CrossRef]
- Ercoli, R.; Orlando, A.; Borrini, D.; Tassi, F.; Bicocchi, G.; Renzulli, A. Hydrogen-Rich Gas Produced by the Chemical Neutralization of Reactive By-Products from the Screening Processes of the Secondary Aluminum Industry. Sustainability 2021, 13, 12261. [Google Scholar] [CrossRef]
- Bai, C.; Colombo, P. High-porosity geopolymer membrane supports by peroxide route with the addition of egg white as surfactant. Ceram. Int. 2017, 43, 2267–2273. [Google Scholar] [CrossRef]
- Singh, B.; Ishwarya, G.; Gupta, M.; Bhattacharyya, S. Geopolymer concrete: A review of some recent developments. Constr. Build. Mater. 2015, 85, 78–90. [Google Scholar] [CrossRef]
- Kürklü, G. The effect of high temperature on the design of blast furnace slag and coarse fly ash-based geopolymer mortar. Compos. Part B Eng. 2016, 92, 9–18. [Google Scholar] [CrossRef]
- Xu, F.; Gu, G.; Zhang, W.; Wang, H.; Huang, X.; Zhu, J. Pore structure analysis and properties evaluations of fly ash-based geopolymer foams by chemical foaming method. Ceram. Int. 2018, 44, 19989–19997. [Google Scholar] [CrossRef]
- Liu, L.-P.; Cui, X.-M.; He, Y.; Liu, S.-D.; Gong, S.-Y. The phase evolution of phosphoric acid-based geopolymers at elevated temperatures. Mater. Lett. 2012, 66, 10–12. [Google Scholar] [CrossRef]
- Samson, G.; Cyr, M. Porous structure optimisation of flash-calcined metakaolin/fly ash geopolymer foam concrete. Eur. J. Environ. Civ. Eng. 2018, 22, 1482–1498. [Google Scholar] [CrossRef]
- Bai, C.; Franchin, G.; Elsayed, H.; Conte, A.; Colombo, P. High strength metakaolin-based geopolymer foams with variable macroporous structure. J. Eur. Ceram. Soc. 2016, 36, 4243–4249. [Google Scholar] [CrossRef]
- Yan, S.; Zhang, F.; Liu, J.; Ren, B.; He, P.; Jia, D.; Yang, J. Green synthesis of high porosity waste gangue microsphere/geopolymer composite foams via hydrogen peroxide modification. J. Clean. Prod. 2019, 227, 483–494. [Google Scholar] [CrossRef]
- Ducman, V.; Korat, L. Characterization of geopolymer fly-ash based foams obtained with the addition of Al powder or H2O2 as foaming agents. Mater. Charact. 2016, 113, 207–213. [Google Scholar] [CrossRef]
- Novais, R.M.; Ascensão, G.; Buruberri, L.; Senff, L.; Labrincha, J. Influence of blowing agent on the fresh- and hardened-state properties of lightweight geopolymers. Mater. Des. 2016, 108, 551–559. [Google Scholar] [CrossRef]
- Ye, J.; Zhang, W.; Shi, D. Effect of elevated temperature on the properties of geopolymer synthesized from calcined ore-dressing tailing of bauxite and ground-granulated blast furnace slag. Constr. Build. Mater. 2014, 69, 41–48. [Google Scholar] [CrossRef]
- Chithambaram, S.J.; Kumar, S.; Prasad, M. Thermo-mechanical characteristics of geopolymer mortar. Constr. Build. Mater. 2019, 213, 100–108. [Google Scholar] [CrossRef]
- Hlaváček, P.; Šmilauer, V.; Škvára, F.; Kopecký, L.; Šulc, R. Inorganic foams made from alkali-activated fly ash: Mechanical, chemical and physical properties. J. Eur. Ceram. Soc. 2015, 35, 703–709. [Google Scholar] [CrossRef]
- Le-Ping, L.; Xue-Min, C.; Shu-Heng, Q.; Jun-Li, Y.; Lin, Z. Preparation of phosphoric acid-based porous geopolymers. Appl. Clay Sci. 2010, 50, 600–603. [Google Scholar] [CrossRef]
- Provis, J.L.; Van Deventer, J.S.J. (Eds.) Geopolymers: Structures, Processing, Properties and Industrial Applications; Elsevier: Amsterdam, The Netherlands, 2009. [Google Scholar]
- Henon, J.; Alzina, A.; Absi, J.; Smith, D.S.; Rossignol, S. Potassium geopolymer foams made with silica fume pore forming agent for thermal insulation. J. Porous Mater. 2012, 20, 37–46. [Google Scholar] [CrossRef]
- Le, V.S.; Szczypinski, M.M.; Hájková, P.; Kovacic, V.; Bakalova, T.; Volesky, L.; Hiep, L.C.; Louda, P. Mechanical properties of geopolymer foam at high temperature. Sci. Eng. Compos. Mater. 2020, 27, 129–138. [Google Scholar] [CrossRef]
- Guillaume, E.; Dréan, V.; Girardin, B.; Benameur, F.; Fateh, T. Reconstruction of Grenfell Tower fire. Part 1: Lessons from observations and determination of work hypotheses. Fire Mater. 2019, 44, 3–14. [Google Scholar] [CrossRef] [Green Version]
- Guillaume, E.; Dréan, V.; Girardin, B.; Koohkan, M.; Fateh, T. Reconstruction of Grenfell Tower fire. Part 2: A numerical investigation of the fire propagation and behaviour from the initial apartment to the façade. Fire Mater. 2019, 44, 15–34. [Google Scholar] [CrossRef]
- Guillaume, E.; Dréan, V.; Girardin, B.; Benameur, F.; Koohkan, M.; Fateh, T. Reconstruction of Grenfell Tower fire. Part 3—Numerical simulation of the Grenfell Tower disaster: Contribution to the understanding of the fire propagation and behaviour during the vertical fire spread. Fire Mater. 2019, 44, 35–57. [Google Scholar] [CrossRef] [Green Version]
- Guillaume, E.; Dréan, V.; Girardin, B.; Fateh, T. Reconstruction of the Grenfell Tower fire—Part 4: Contribution to the understanding of fire propagation and behaviour during horizontal fire spread. Fire Mater. 2020, 44, 1072–1098. [Google Scholar] [CrossRef]
- Guillaume, E.; Dréan, V.; Girardin, B.; Fateh, T. Reconstruction of the Grenfell Tower fire—Part 5: Contribution to the understanding of the tenability conditions inside the apartments following the façade fire. Fire Mater. 2022, 1–28. [Google Scholar] [CrossRef]
- Guillaume, E.; Drean, V.; Girardin, B.; Fateh, T. Reconstruction of the Grenfell tower fire—Part 6—Numerical simulation of the Grenfell tower disaster: Contribution to the understanding of the tenability conditions inside the common areas of the tower. Fire Mater. 2022, 1–19. [Google Scholar] [CrossRef]
- Autopore IV 9500 Series Measures Sample Porosity|Laboratory Talk. Available online: https://laboratorytalk.com/article/370936/autopore-iv-9500-series-measur (accessed on 13 April 2022).
- ČSN EN 1015-11 (722400)—Zkušební Metody Malt Pro Zdivo—Část 11: Stanovení Pevnosti Zatvrdlých Malt v Tahu za Ohybu a v Tlaku—Duben 2020—Technické Normy—Ing. Jiří Hrazdil. Available online: https://shop.normy.biz/detail/509887 (accessed on 13 April 2022).
- ASTM E1225-13; Standard Test Method for Thermal Conductivity of Solids Using the Guarded-Comparative-Longitudinal Heat Flow Technique. ASTM International (ASTM): West Conshohocken, PA, USA, 2013. Available online: https://webstore.ansi.org/Standards/ASTM/ASTME122513 (accessed on 13 April 2022).
- ČSN EN 13381-3|ČSN Online. Available online: https://csnonline.agentura-cas.cz/Detailnormy.aspx?k=97605 (accessed on 13 April 2022).
- ISO 834-11:2014. Available online: https://www.iso.org/standard/57595.html (accessed on 13 April 2022).
- Bai, C.; Franchin, G.; Elsayed, H.; Zaggia, A.; Conte, L.; Li, H.; Colombo, P. High-porosity geopolymer foams with tailored porosity for thermal insulation and wastewater treatment. J. Mater. Res. 2017, 32, 3251–3259. [Google Scholar] [CrossRef]









| Constituents | SiO2 | Al2O3 | CaO | MgO | TiO2 | Fe2O3 | K2O | SO3 | MnO | Na2O | P2O5 | LOI |
|---|---|---|---|---|---|---|---|---|---|---|---|---|
| Metakaolin (MK) | 44.5 | 28.9 | 17.6 | 2.23 | 1.31 | 0.82 | 0.75 | 0.46 | 0.28 | 0.25 | - | 2.56 |
| Chopped Basalt Fibers (CBFs) | 33.6 | 14.4 | 26.1 | 8.26 | 1.98 | 6.61 | 1.21 | 0.29 | 0.76 | 1.38 | 0.14 | 2.05 |
| Silica Sand (SA) | 99.4 | - | - | - | - | 0.05 | - | - | - | - | - | - |
| Silica Fume (SF) | 83.9 | 1.54 | 1.07 | 1.5 | - | 1.07 | 1.98 | 0.917 | - | 0.367 | - | 4.72 |
| Aluminum Powder (Al) | 0.07 | 99.4 | - | - | - | 0.11 | - | - | - | - | - | - |
| GFs | Binder (B) | Fillers (Fs) | ||||
|---|---|---|---|---|---|---|
| Metakaolin (MK) | Activator (A) | Chopped Basalt Fibers (CBFs) | Silica Sand (SA) | Silica Fume (SF) | Aluminum Powder (Al) | |
| S19 | 1 | 0.9 | 0.07 | 1 | 0 | 0.05 |
| S20 | 0.05 | |||||
| S21 | 0.1 | |||||
| S22 | 0.2 | |||||
| Parameters | Unit | S19 | S20 | S21 | S22 |
|---|---|---|---|---|---|
| Total Pore Volume | mL/g | 0.539 | 0.487 | 0.493 | 0.525 |
| Total Pore Area | m2/g | 35.6 | 32.3 | 36.8 | 34.5 |
| Median Pore Diameter (volume) | μm | 183.57 | 122.49 | 103.62 | 119.06 |
| Median Pore Diameter (area) | μm | 0.0056 | 0.0064 | 0.0059 | 0.0054 |
| Average Pore Size (4 V/A) | μm | 0.0605 | 0.0604 | 0.0537 | 0.0608 |
| Density at 0.0015 MPa | g/mL | 1.0550 | 1.0914 | 1.0974 | 1.0606 |
| Apparent (Skeletal) Density at 413.3967 MPa | g/mL | 2.4450 | 2.3302 | 2.3918 | 2.3921 |
| Porosity | % | 56.9 | 53.2 | 54.1 | 55.7 |
Publisher’s Note: MDPI stays neutral with regard to jurisdictional claims in published maps and institutional affiliations. |
© 2022 by the authors. Licensee MDPI, Basel, Switzerland. This article is an open access article distributed under the terms and conditions of the Creative Commons Attribution (CC BY) license (https://creativecommons.org/licenses/by/4.0/).
Share and Cite
Le, V.S.; Nguyen, V.V.; Sharko, A.; Ercoli, R.; Nguyen, T.X.; Tran, D.H.; Łoś, P.; Buczkowska, K.E.; Mitura, S.; Špirek, T.; et al. Fire Resistance of Geopolymer Foams Layered on Polystyrene Boards. Polymers 2022, 14, 1945. https://doi.org/10.3390/polym14101945
Le VS, Nguyen VV, Sharko A, Ercoli R, Nguyen TX, Tran DH, Łoś P, Buczkowska KE, Mitura S, Špirek T, et al. Fire Resistance of Geopolymer Foams Layered on Polystyrene Boards. Polymers. 2022; 14(10):1945. https://doi.org/10.3390/polym14101945
Chicago/Turabian StyleLe, Van Su, Van Vu Nguyen, Artem Sharko, Roberto Ercoli, Thang Xiem Nguyen, Doan Hung Tran, Piotr Łoś, Katarzyna Ewa Buczkowska, Stanisław Mitura, Tomáš Špirek, and et al. 2022. "Fire Resistance of Geopolymer Foams Layered on Polystyrene Boards" Polymers 14, no. 10: 1945. https://doi.org/10.3390/polym14101945
APA StyleLe, V. S., Nguyen, V. V., Sharko, A., Ercoli, R., Nguyen, T. X., Tran, D. H., Łoś, P., Buczkowska, K. E., Mitura, S., Špirek, T., & Louda, P. (2022). Fire Resistance of Geopolymer Foams Layered on Polystyrene Boards. Polymers, 14(10), 1945. https://doi.org/10.3390/polym14101945

