Color Stability, Chemico-Physical and Optical Features of the Most Common PETG and PU Based Orthodontic Aligners for Clear Aligner Therapy
Abstract
:1. Introduction
2. Materials and Methods
2.1. The Aligners and Their Physico-Chemical Characterization
2.2. Absorption Measurement of Water, Artificial Saliva and Staining Agents
3. Results
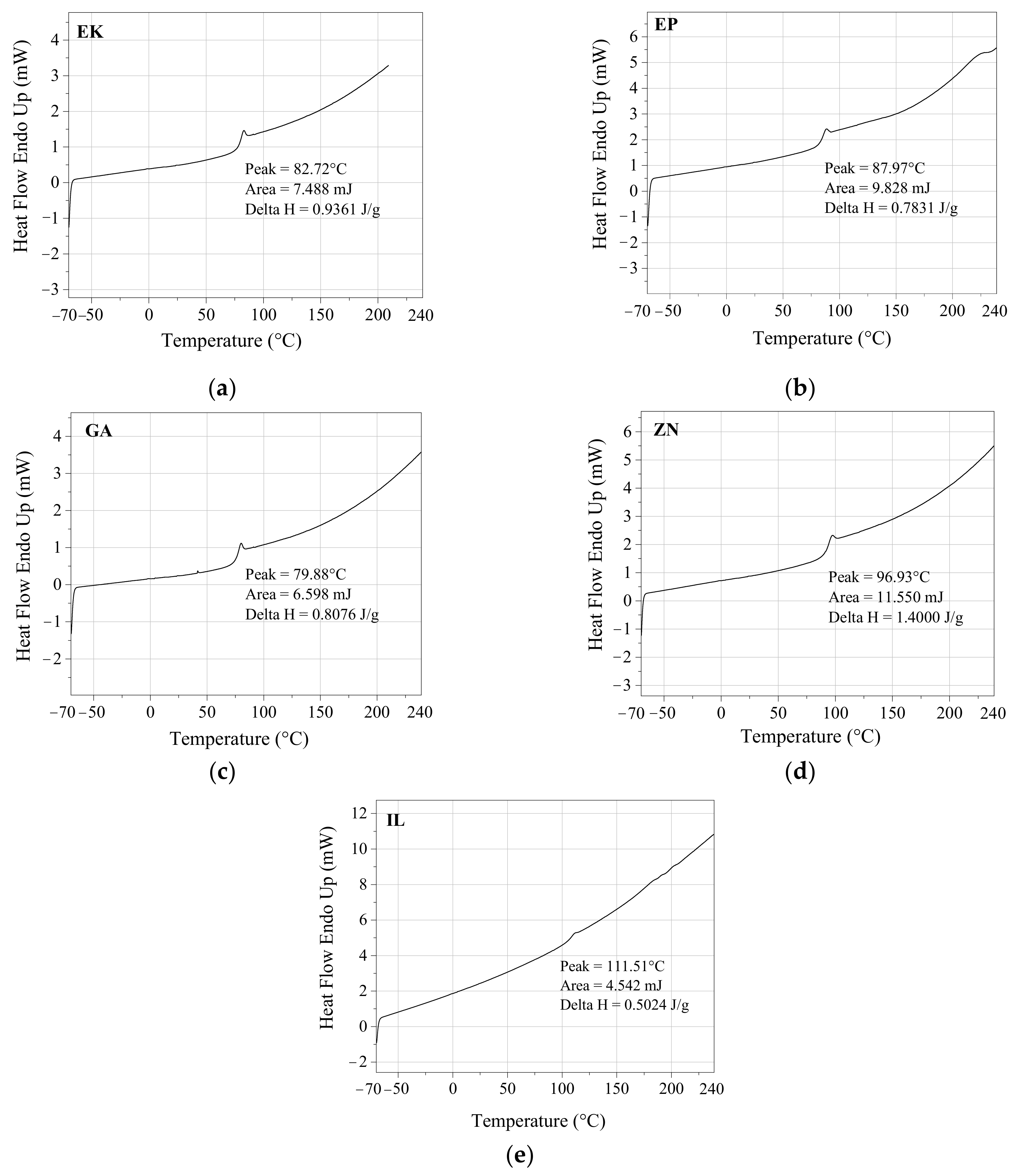
3.1. Physico-Chemical Characterization, Optical Features, and Color Stability of the As-Received Clear Aligners
3.2. Characterization Studies, Color Stability and Optical Properties of the Aligners after the Immersion into Staining Agents
4. Discussion
5. Conclusions
Author Contributions
Funding
Institutional Review Board Statement
Informed Consent Statement
Acknowledgments
Conflicts of Interest
References
- Wong, B.H.; Scholz, R.P.; Turpin, D.L. Invisalign A to Z. Am. J. Orthod. Dentofac. Orthop. 2002, 121, 540–541. [Google Scholar] [CrossRef]
- Weir, T. Clear aligners in orthodontic treatment. Aust. Dent. J. 2017, 62, 58–62. [Google Scholar] [CrossRef] [PubMed] [Green Version]
- Gkantidisa, N.; Zinelisb, S.; Karamolegkouc, M.; Eliadesd, T.; Topouzelise, N. Comparative assessment of clinical performance of esthetic bracket materials. Angle Orthod. 2012, 82, 691–697. [Google Scholar] [CrossRef] [Green Version]
- Simon, M.; Keilig, L.; Schwarze, J.; Jung, B.A.; Bourauel, C. Forces and moments generated by removable thermoplastic aligners: Incisor torque, premolar derotation, and molar distalization. Am. J. Orthod. Dentofac. Orthop. 2014, 145, 728–736. [Google Scholar] [CrossRef] [PubMed]
- Martorelli, M.; Gerbino, S.; Giudice, M.; Ausiello, P. A comparison between customized clear and removable orthodontic appliances manufactured using RP and CNC techniques. Dent. Mater. 2013, 29, e1–e10. [Google Scholar] [CrossRef] [PubMed]
- Martorelli, M.; Ausiello, P. A novel approach for a complete 3D tooth reconstruction using only 3D crown data. Int. J. Interact. Des. Manuf. 2013, 7, 125–133. [Google Scholar] [CrossRef]
- Ma, Y.S.; Fang, D.Y.; Zhang, N.; Ding, X.J.; Zhang, K.Y.; Bai, Y.X. Mechanical Properties of Orthodontic Thermoplastics PETG/PC2858 after Blending. Chin. J. Dent. Res. 2016, 19, 43–48. [Google Scholar] [CrossRef]
- Barone, S.; Paoli, A.; Neri, P.; Razionale, A.V.; Giannese, M. Mechanical and geometrical properties assessment of thermoplastic materials for biomedical application. In Advances on Mechanics, Design Engineering and Manufacturing; Lecture Notes in Mechanical Engineering book series; Springer: Berlin/Heidelberg, Germany, 2017; pp. 437–446. [Google Scholar] [CrossRef]
- Ryu, J.H.; Kwon, J.S.; Jiang, H.B.; Cha, J.Y.; Kim, K.M. Effects of thermoforming on the physical and mechanical properties of thermoplastic materials for transparent orthodontic aligners. Korean J. Orthod. 2018, 48, 316–325. [Google Scholar] [CrossRef]
- Dasy, H.; Dasy, A.; Asatrian, G.; Rózsa, N.; Lee, H.F.; Kwak, J.H. Effects of variable attachment shapes and aligner material on aligner retention. Angle Orthod. 2015, 85, 934–940. [Google Scholar] [CrossRef] [PubMed] [Green Version]
- Zhang, N.; Bai, Y.; Ding, X.; Zhang, Y. Preparation and characterization of thermoplastic materials for invisible orthodontics. Dent. Mater. J. 2011, 30, 954–959. [Google Scholar] [CrossRef] [Green Version]
- Daniele, V.; Macera, L.; Taglieri, G.; Di Giambattista, A.; Spagnoli, G.; Massaria, A.; Messori, M.; Quagliarini, E.; Chiappini, G.; Campanella, V.; et al. Thermoplastic disks used for commercial orthodontic aligners: Complete physicochemical and mechanical characterization. Materials 2020, 13, 2386. [Google Scholar] [CrossRef]
- Gracco, A.; Mazzoli, A.; Favoni, O.; Conti, C.; Ferraris, P.; Tosi, G.; Guarneri, M.P. Short-term chemical and physical changes in invisalign appliances. Aust. Orthod. J. 2009, 25, 34–40. [Google Scholar]
- Schuster, S.; Eliades, G.; Zinelis, S.; Eliades, T.; Bradley, T.G. Structural conformation and leaching from in vitro aged and retrieved Invisalign appliances. Am. J. Orthod. Dentofac. Orthop. 2004, 126, 725–728. [Google Scholar] [CrossRef]
- Kohda, N.; Iijima, M.; Muguruma, T.; Brantley, W.A.; Ahluwalia, K.S.; Mizoguchi, I. Effects of mechanical properties of thermoplastic materials on the initial force of thermoplastic appliances. Angle Orthod. 2013, 83, 476–483. [Google Scholar] [CrossRef] [PubMed]
- Condo’, R.; Pazzini, L.; Cerroni, L.; Pasquantonio, G.; Lagana’, G.; Pecora, A.; Mussi, V.; Rinaldi, A.; Mecheri, B.; Licoccia, S.; et al. Mechanical properties of “two generations” of teeth aligners: Change analysis during oral permanence. Dent. Mater. J. 2018, 37, 835–842. [Google Scholar] [CrossRef] [PubMed] [Green Version]
- Liu, C.L.; Sun, W.T.; Liao, W.; Lu, W.X.; Li, Q.W.; Jeong, Y.; Liu, J.; Zhao, Z.H. Colour stabilities of three types of orthodontic clear aligners exposed to staining agents. Int. J. Oral Sci. 2016, 8, 246–253. [Google Scholar] [CrossRef] [PubMed] [Green Version]
- Johnston, W.M. Color measurement in dentistry. J. Dent. 2009, 37, e2–e6. [Google Scholar] [CrossRef]
- Öreki, B.; Irgn, C.; Malko, S.; Öztürk, B. Effects of staining solutions on the discoloration of orthodontic adhesives: An in-vitro study. Am. J. Orthod. Dentofac. Orthop. 2010, 138, 741–746. [Google Scholar] [CrossRef]
- Inami, T.; Tanimoto, Y.; Minami, N.; Yamaguchi, M.; Kasai, K. Color stability of laboratory glass-fiber-reinforced plastics for esthetic orthodontic wires. Korean J. Orthod. 2015, 45, 130–135. [Google Scholar] [CrossRef] [Green Version]
- Bish, D.L.; Post, J.E. (Eds.) Modern Powder Diffraction; Mineralogical Society of America: Washington, DC, USA, 1989; Volume XX, 369p, ISBN 0-939950-24-3. [Google Scholar]
- Hwang, S.H.; Jeong, K.S.; Jung, J.C. Thermal and mechanical properties of amorphous copolyester (PETG)/LCP blends. Eur. Polym. J. 1999, 35, 1439–1443. [Google Scholar] [CrossRef]
- Frick, A.; Rochman, A. Characterization of TPU-elastomers by thermal analysis (DSC). Polym. Test. 2004, 23, 413–417. [Google Scholar] [CrossRef]
- Boubakri, A.; Haddar, N.; Elleuch, K.; Bienvenu, Y. Impact of aging conditions on mechanical properties of thermoplastic polyurethane. Mater. Des. 2010, 31, 4194–4201. [Google Scholar] [CrossRef]
- Trovati, G.; Sanches, E.A.; Neto, S.C.; Mascarenhas, Y.P.; Chierice, G.O. Characterization of polyurethane resins by FTIR, TGA, and XRD. J. Appl. Polym. Sci. 2010, 115, 263–268. [Google Scholar] [CrossRef]
- Seymour, R.B.; Carraher, C.E., Jr. Structure—Property Relationships in Polymers; Springer: Berlin/Heidelberg, Germany, 1984. [Google Scholar]
- Defelice, J.; Lipson, J.E.G. The influence of additives on polymer matrix mobility and the glass transition. Soft Matter 2021, 17, 376–387. [Google Scholar] [CrossRef] [PubMed]
- Sonnenschein, M.F. No Title Polyurethanes: Science, Technology, Markets, and Trends; John Wiley & Sons, Ltd.: Hoboken, NJ, USA, 2020. [Google Scholar]













| Samples Denomination | Product Name (Manufacturer) | Polymer-Based Composition |
|---|---|---|
| EP | Essix ACE Plastic (Dentsply Sirona, York, PA, USA) | PET |
| EK | Erkodur (Erkodent Erich Kopp GmbH, Pfalzgrafenweiler, Deutschland) | PET |
| GA | Ghost Aligner (BART MEDICAL S.r.l., Mezzano, Italy) | PET |
| ZN | Zendura FLX (Zendura, Bay Materials LLC, Fremont, CA, USA) | Polyurethane (PU) system |
| IL | Invisalign (Align Technology, Inc. San Jose, CA, USA) | Mostly PU |
| National Bureau of Standards Units | Descriptions of Color Changes | NBS = 0.92 × ΔE* |
| 0.0–0.5 | Trace. Extremely slight change | |
| 0.5–1.5 | Slight. Slight change | |
| 1.5–3.0 | Noticeable. Perceivable | |
| 3.0–6.0 | Appreciable. Marked change | |
| 6.0–12.0 | Much. Extremely marked change | |
| 12.0 or more | Very much. Change to other color |
| EK Aligner | EP Aligner | GA Aligner | ZN Aligner | IL Aligner | |
|---|---|---|---|---|---|
| Full Width at half maximum (FWHM) (°2θ) | 11.315 | 9.188 | 10.345 | 7.727 | 9.833 |
Publisher’s Note: MDPI stays neutral with regard to jurisdictional claims in published maps and institutional affiliations. |
© 2021 by the authors. Licensee MDPI, Basel, Switzerland. This article is an open access article distributed under the terms and conditions of the Creative Commons Attribution (CC BY) license (https://creativecommons.org/licenses/by/4.0/).
Share and Cite
Daniele, V.; Macera, L.; Taglieri, G.; Spera, L.; Marzo, G.; Quinzi, V. Color Stability, Chemico-Physical and Optical Features of the Most Common PETG and PU Based Orthodontic Aligners for Clear Aligner Therapy. Polymers 2022, 14, 14. https://doi.org/10.3390/polym14010014
Daniele V, Macera L, Taglieri G, Spera L, Marzo G, Quinzi V. Color Stability, Chemico-Physical and Optical Features of the Most Common PETG and PU Based Orthodontic Aligners for Clear Aligner Therapy. Polymers. 2022; 14(1):14. https://doi.org/10.3390/polym14010014
Chicago/Turabian StyleDaniele, Valeria, Ludovico Macera, Giuliana Taglieri, Loredana Spera, Giuseppe Marzo, and Vincenzo Quinzi. 2022. "Color Stability, Chemico-Physical and Optical Features of the Most Common PETG and PU Based Orthodontic Aligners for Clear Aligner Therapy" Polymers 14, no. 1: 14. https://doi.org/10.3390/polym14010014
APA StyleDaniele, V., Macera, L., Taglieri, G., Spera, L., Marzo, G., & Quinzi, V. (2022). Color Stability, Chemico-Physical and Optical Features of the Most Common PETG and PU Based Orthodontic Aligners for Clear Aligner Therapy. Polymers, 14(1), 14. https://doi.org/10.3390/polym14010014

