Tung Oil-Based Production of High 3-Hydroxyhexanoate-Containing Terpolymer Poly(3-Hydroxybutyrate-co-3-Hydroxyvalerate-co-3-Hydroxyhexanoate) Using Engineered Ralstonia eutropha
Abstract
1. Introduction
2. Materials and Methods
2.1. Microorganisms and Culture Conditions
2.2. Tung Oil Composition Analysis Using Gas Chromatography-Mass Spectrometry (GC-MS)
2.3. Tung Oil Toxicity Testing
2.4. Optimal Culture Conditions for PHA Production
2.5. Batch Fermentation Conditions
2.6. PHA Analysis Using GC-MS and 1H-NMR
2.7. Polymer Extraction and Scanning Electron Microscopy (SEM) of Films
2.8. DPPH Radical-Scavenging Assay
2.9. Phosphomolybdenum Assay
2.10. Gel Permeation Chromatography
2.11. Statistical Analysis
3. Results and Discussion
3.1. Utilization of Tung Oil by R. Eutropha 2133/pCB81 for Cell Growth and PHA Production
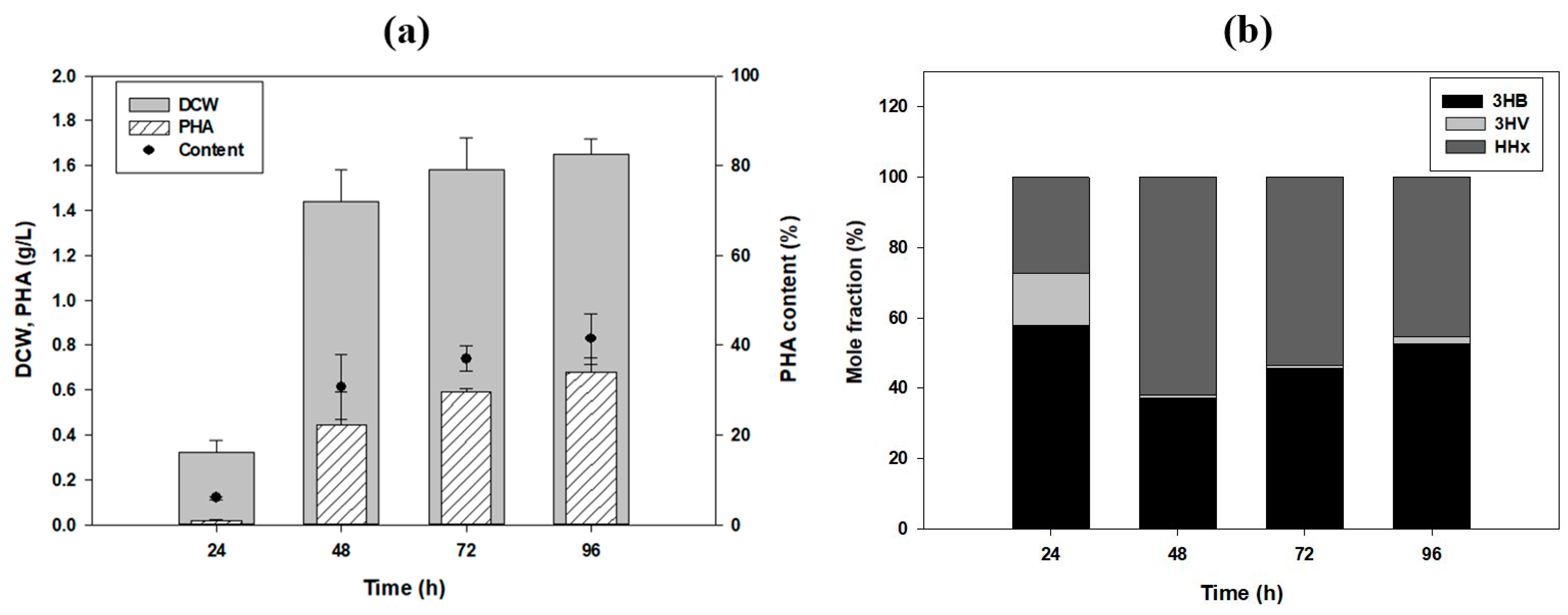
3.2. Optimization of the Nitrogen Source for PHA Production and Monitoring of PHA Production over Time
3.3. SEM Images and Antioxidant Activity of PHA Films
3.4. Batch Fermentation
4. Conclusions
Author Contributions
Funding
Institutional Review Board Statement
Informed Consent Statement
Data Availability Statement
Acknowledgments
Conflicts of Interest
References
- Xiong, X.Z.; Liu, Y.; Huang, X.H.; Wang, X.X.; Chen, Y.; Yin, X.H. Current Situation and Development Prospect of Tung Oil Tree (Vernicia fordii) in Chongqing Three Gorges Reservoir Area. Adv. Mater. Res. 2012, 518–523, 5385–5389. [Google Scholar] [CrossRef]
- Setobayashi, M. The emergence and resolution of a quality problem in the Chinese tung oil market 1890 to 1937. Econ. Hist. Dev. Reg. 2020, 35, 216–236. [Google Scholar]
- Shockey, J.; Rinehart, T.; Chen, Y.; Yangdong, W.; Zhiyong, Z.; Lisong, H. Tung (Vernicia fordii and Vernicia montana). In Industrial Oil Crops; Elsevier: Amsterdam, The Netherlands, 2016; pp. 243–273. [Google Scholar]
- Humar, M.; Lesar, B. Efficacy of linseed- and tung-oil-treated wood against wood-decay fungi and water uptake. Int. Biodeterior. Biodegrad. 2013, 85, 223–227. [Google Scholar] [CrossRef]
- Lin, K. Paints, varnishes, and related products. In Bailey’s Industrial Oil and Fat Products; John Wiley & Sons: Hoboken, NJ, USA, 2005. [Google Scholar]
- Arminger, B.; Jaxel, J.; Bacher, M.; Gindl-Altmutter, W.; Hansmann, C. On the drying behavior of natural oils used for solid wood finishing. Prog. Org. Coat. 2020, 148, 105831. [Google Scholar] [CrossRef]
- Sasujit, K.; Dussadee, N.; Homdoung, N.; Ramaraj, R.; Kiatsiriroat, T. Waste-to-Energy: Producer gas production from fuel briquette of energy crop in Thailand. Int. Energy J. 2017, 17, 37–46. [Google Scholar]
- Zhang, T.; Gao, Y.; Mao, Y.; Zhang, Q.; Lin, C.; Lin, P.; Zhang, J.; Wang, X. Growth inhibition and apoptotic effect of alpha-eleostearic acid on human breast cancer cells. J. Nat. Med. 2012, 66, 77–84. [Google Scholar] [CrossRef] [PubMed]
- Jung, H.-R.; Yang, S.-Y.; Moon, Y.-M.; Choi, T.-R.; Song, H.-S.; Bhatia, S.K.; Gurav, R.; Kim, E.-J.; Kim, B.-G.; Yang, Y.-H. Construction of efficient platform Escherichia coli strains for polyhydroxyalkanoate production by engineering branched pathway. Polymers 2019, 11, 509. [Google Scholar] [CrossRef]
- Nybo, S.E.; Khan, N.E.; Woolston, B.M.; Curtis, W.R. Metabolic engineering in chemolithoautotrophic hosts for the production of fuels and chemicals. Metab. Eng. 2015, 30, 105–120. [Google Scholar] [CrossRef] [PubMed]
- Bhatia, S.K.; Otari, S.V.; Jeon, J.-M.; Gurav, R.; Choi, Y.-K.; Bhatia, R.K.; Pugazhendhi, A.; Kumar, V.; Banu, J.R.; Yoon, J.-J.; et al. Biowaste-to-bioplastic (polyhydroxyalkanoates): Conversion technologies, strategies, challenges, and perspective. Bioresour. Technol. 2021, 326, 124733. [Google Scholar] [CrossRef]
- Sathiyanarayanan, G.; Bhatia, S.K.; Song, H.-S.; Jeon, J.-M.; Kim, J.; Lee, Y.K.; Kim, Y.-G.; Yang, Y.-H. Production and characterization of medium-chain-length polyhydroxyalkanoate copolymer from Arctic psychrotrophic bacterium Pseudomonas sp. PAMC 28620. Int. J. Biol. Macromol. 2017, 97, 710–720. [Google Scholar] [CrossRef]
- Tan, G.-Y.A.; Chen, C.-L.; Li, L.; Ge, L.; Wang, L.; Razaad, I.M.N.; Li, Y.; Zhao, L.; Mo, Y.; Wang, J.-Y. Start a research on biopolymer polyhydroxyalkanoate (PHA): A review. Polymers 2014, 6, 706–754. [Google Scholar] [CrossRef]
- Choi, T.-R.; Jeon, J.-M.; Bhatia, S.K.; Gurav, R.; Han, Y.H.; Park, Y.L.; Park, J.-Y.; Song, H.-S.; Park, H.Y.; Yoon, J.-J. Production of Low Molecular Weight P (3HB-co-3HV) by Butyrateacetoacetate CoA-transferase (cftAB) in Escherichia coli. Biotechnol. Bioprocess Eng. 2020, 25, 279–286. [Google Scholar] [CrossRef]
- Jung, H.-R.; Jeon, J.-M.; Yi, D.-H.; Song, H.-S.; Yang, S.-Y.; Choi, T.-R.; Bhatia, S.K.; Yoon, J.-J.; Kim, Y.-G.; Brigham, C.J.; et al. Poly(3-hydroxybutyrate-co-3-hydroxyvalerate-co-3-hydroxyhexanoate) terpolymer production from volatile fatty acids using engineered Ralstonia eutropha. Int. J. Biol. Macromol. 2019, 138, 370–378. [Google Scholar] [CrossRef] [PubMed]
- Sharma, P.K.; Munir, R.I.; Blunt, W.; Dartiailh, C.; Cheng, J.; Charles, T.C.; Levin, D.B. Synthesis and physical properties of polyhydroxyalkanoate polymers with different monomer compositions by recombinant Pseudomonas putida LS46 expressing a novel PHA synthase (PhaC116) enzyme. Appl. Sci. 2017, 7, 242. [Google Scholar] [CrossRef]
- Kim, Y.B.; Lenz, R.W. Polyesters from microorganisms. In Biopolyesters; Springer: Berlin/Heidelberg, Germany, 2001; pp. 51–79. [Google Scholar]
- Yang, Y.-H.; Brigham, C.J.; Budde, C.F.; Boccazzi, P.; Willis, L.B.; Hassan, M.A.; Yusof, Z.A.M.; Rha, C.; Sinskey, A.J. Optimization of growth media components for polyhydroxyalkanoate (PHA) production from organic acids by Ralstonia eutropha. Appl. Microbiol. Biotechnol. 2010, 87, 2037–2045. [Google Scholar] [CrossRef] [PubMed]
- Rebocho, A.T.; Pereira, J.R.; Freitas, F.; Neves, L.A.; Alves, V.D.; Sevrin, C.; Grandfils, C.; Reis, M.A. Production of medium-chain length polyhydroxyalkanoates by Pseudomonas citronellolis grown in apple pulp waste. Appl. Food Biotechnol. 2019, 6, 71–82. [Google Scholar]
- Shishatskaya, E.; Volova, T.; Puzyr, A.; Mogilnaya, O.; Efremov, S. Tissue response to the implantation of biodegradable polyhydroxyalkanoate sutures. J. Mater. Sci. Mater. Med. 2004, 15, 719–728. [Google Scholar] [CrossRef] [PubMed]
- Shishatskaya, E.I. Biomedical Investigations of Biodegradable PHAs. Macromol. Symp. 2008, 269, 65–81. [Google Scholar] [CrossRef]
- Koller, M. Biodegradable and Biocompatible Polyhydroxy-alkanoates (PHA): Auspicious Microbial Macromolecules for Pharmaceutical and Therapeutic Applications. Molecules 2018, 23, 362. [Google Scholar] [CrossRef]
- Bhatia, S.K.; Wadhwa, P.; Hong, J.W.; Hong, Y.G.; Jeon, J.-M.; Lee, E.S.; Yang, Y.-H. Lipase mediated functionalization of poly(3-hydroxybutyrate-co-3-hydroxyvalerate) with ascorbic acid into an antioxidant active biomaterial. Int. J. Biol. Macromol. 2019, 123, 117–123. [Google Scholar] [CrossRef]
- Madison, L.L.; Huisman, G.W. Metabolic Engineering of Poly(3-Hydroxyalkanoates): From DNA to Plastic. Microbiol. Mol. Biol. Rev. 1999, 63, 21–53. [Google Scholar] [CrossRef] [PubMed]
- Im, D.-K.; Yun, S.H.; Jung, J.-Y.; Lee, J.; Oh, M.-K. Comparison of metabolite profiling of Ralstonia eutropha H16 phaBCA mutants grown on different carbon sources. Korean J. Chem. Eng. 2017, 34, 797–805. [Google Scholar] [CrossRef]
- Sharma, P.K.; Munir, R.I.; Plouffe, J.; Shah, N.; de Kievit, T.; Levin, D.B. Polyhydroxyalkanoate (PHA) Polymer Accumulation and pha Gene Expression in Phenazine (phz-) and Pyrrolnitrin (prn-) Defective Mutants of Pseudomonas chlororaphis PA23. Polymers 2018, 10, 1203. [Google Scholar] [CrossRef] [PubMed]
- Bhubalan, K.; Rathi, D.-N.; Abe, H.; Iwata, T.; Sudesh, K. Improved synthesis of P (3HB-co-3HV-co-3HHx) terpolymers by mutant Cupriavidus necator using the PHA synthase gene of Chromobacterium sp. USM2 with high affinity towards 3HV. Polym. Degrad. Stab. 2010, 95, 1436–1442. [Google Scholar] [CrossRef]
- Budde, C.F.; Riedel, S.L.; Willis, L.B.; Rha, C.; Sinskey, A.J. Production of Poly(3-Hydroxybutyrate-co-3-Hydroxyhexanoate) from Plant Oil by Engineered Ralstonia eutropha Strains. Appl. Environ. Microbiol. 2011, 77, 2847–2854. [Google Scholar] [CrossRef]
- Bhatia, S.K.; Kim, J.-H.; Kim, M.-S.; Kim, J.; Hong, J.W.; Hong, Y.G.; Kim, H.-J.; Jeon, J.-M.; Kim, S.-H.; Ahn, J.; et al. Production of (3-hydroxybutyrate-co-3-hydroxyhexanoate) copolymer from coffee waste oil using engineered Ralstonia eutropha. Bioprocess Biosyst. Eng. 2017, 41, 229–235. [Google Scholar] [CrossRef]
- Hong, Y.-G.; Moon, Y.-M.; Hong, J.-W.; Choi, T.-R.; Jung, H.-R.; Yang, S.-Y.; Jang, D.-W.; Park, Y.-R.; Brigham, C.J.; Kim, J.-S. Discarded egg yolk as an alternate source of poly (3-hydroxybutyrate-co-3-hydroxyhexanoate). J. Microbiol. Biotechnol. 2019, 29, 382–391. [Google Scholar] [CrossRef]
- Budde, C.F.; Riedel, S.L.; Hübner, F.; Risch, S.; Popović, M.K.; Rha, C.; Sinskey, A.J. Growth and polyhydroxybutyrate production by Ralstonia eutropha in emulsified plant oil medium. Appl. Microbiol. Biotechnol. 2011, 89, 1611–1619. [Google Scholar] [CrossRef]
- Radecka, I.; Irorere, V.; Jiang, G.; Hill, D.; Williams, C.; Adamus, G.; Kwiecień, M.; Marek, A.A.; Zawadiak, J.; Johnston, B. Oxidized polyethylene wax as a potential carbon source for PHA production. Materials 2016, 9, 367. [Google Scholar] [CrossRef]
- Jeon, J.-M.; Brigham, C.J.; Kim, Y.-H.; Kim, H.-J.; Yi, D.-H.; Kim, H.; Rha, C.; Sinskey, A.J.; Yang, Y.-H. Biosynthesis of poly(3-hydroxybutyrate-co-3-hydroxyhexanoate) (P(HB-co-HHx)) from butyrate using engineered Ralstonia eutropha. Appl. Microbiol. Biotechnol. 2014, 98, 5461–5469. [Google Scholar] [CrossRef]
- Bhatia, S.K.; Gurav, R.; Choi, T.-R.; Jung, H.-R.; Yang, S.-Y.; Song, H.-S.; Jeon, J.-M.; Kim, J.-S.; Lee, Y.-K.; Yang, Y.-H. Poly (3-hydroxybutyrate-co-3-hydroxyhexanoate) production from engineered Ralstonia eutropha using synthetic and anaerobically digested food waste derived volatile fatty acids. Int. J. Biol. Macromol. 2019, 133, 1–10. [Google Scholar] [CrossRef]
- Riedel, S.L.S.; Bader, J.; Brigham, C.J.; Budde, C.F.; Yusof, Z.A.M.; Rha, C.; Sinskey, A.J. Production of poly(3-hydroxybutyrate-co-3-hydroxyhexanoate) by Ralstonia eutropha in high cell density palm oil fermentations. Biotechnol. Bioeng. 2011, 109, 74–83. [Google Scholar] [CrossRef]
- Choi, T.-R.; Song, H.-S.; Han, Y.-H.; Park, Y.-L.; Park, J.Y.; Yang, S.-Y.; Bhatia, S.K.; Gurav, R.; Kim, H.J.; Lee, Y.K. Enhanced tolerance to inhibitors of Escherichia coli by heterologous expression of cyclopropane-fatty acid-acyl-phospholipid synthase (cfa) from Halomonas socia. Bioprocess Biosyst. Eng. 2020, 43, 909–918. [Google Scholar] [CrossRef] [PubMed]
- YMoon, Y.-M.; Gurav, R.; Kim, J.; Hong, Y.-G.; Bhatia, S.K.; Jung, H.-R.; Hong, J.-W.; Choi, T.R.; Yang, S.Y.; Park, H.Y.; et al. Whole-cell Immobilization of Engineered Escherichia coli JY001 with Barium-alginate for Itaconic Acid Production. Biotechnol. Bioprocess Eng. 2018, 23, 442–447. [Google Scholar]
- Park, Y.-L.; Bhatia, S.K.; Gurav, R.; Choi, T.-R.; Kim, H.J.; Song, H.-S.; Park, J.-Y.; Han, Y.-H.; Lee, S.M.; Park, S.L.; et al. Fructose based hyper production of poly-3-hydroxybutyrate from Halomonas sp. YLGW01 and impact of carbon sources on bacteria morphologies. Int. J. Biol. Macromol. 2020, 154, 929–936. [Google Scholar] [CrossRef]
- Jeon, J.-M.; Choi, T.-R.; Lee, B.-R.; Seo, J.-H.; Song, H.-S.; Jung, H.-R.; Yang, S.-Y.; Park, J.Y.; Kim, E.-J.; Kim, B.-G. Decreased growth and antibiotic production in Streptomyces coelicolor A3 (2) by deletion of a highly conserved DeoR family regulator, SCO1463. Biotechnol. Bioprocess Eng. 2019, 24, 613–621. [Google Scholar] [CrossRef]
- Liu, T.; Zhou, K.; Yin, S.; Liu, S.; Zhu, Y.; Yang, Y.; Wang, C. Purification and characterization of an exopolysaccharide produced by Lactobacillus plantarum HY isolated from home-made Sichuan Pickle. Int. J. Biol. Macromol. 2019, 134, 516–526. [Google Scholar] [CrossRef] [PubMed]
- Shehzadi, N.; Hussain, K.; Khan, M.; Bukhari, N.; Islam, M.; Salman, M.; Qamar, S.; Iqbal, A.; Siddiqui, S.; Rehman, A. Radical Scavenging and Endogenous Defence System Inducing Activities of 5-[(4-Chlorophenoxy) methyl]-1, 3, 4-oxadiazole-2-thiol: A Novel Antioxidant. Indian J. Pharm. Sci. 2018, 80, 1125–1135. [Google Scholar] [CrossRef]
- Grossmann, M.E.; Mizuno, N.K.; Dammen, M.L.; Schuster, T.; Ray, A.; Cleary, M.P. Eleostearic acid inhibits breast cancer proliferation by means of an oxidation-dependent mechanism. Cancer Prev. Res. 2009, 2, 879–886. [Google Scholar] [CrossRef]
- Moon, H.S.; Guo, D.D.; Lee, G.; Choi, J.; Kang, S.; Jo, K.; Eom, J.M.; Yun, C.H.; Cho, C.S. Alpha-eleostearic acid suppresses proliferation of MCF-7 breast cancer cells via activation of PPARγ and inhibition of ERK ½. Cancer Sci. 2010, 101, 396–402. [Google Scholar] [CrossRef] [PubMed]
- De Sousa, R.S.; de Moraes Nogueira, A.O.; Marques, V.G.; Clementin, R.M.; de Lima, V.R. Effects of α-eleostearic acid on asolectin liposomes dynamics: Relevance to its antioxidant activity. Bioorganic Chem. 2013, 51, 8–15. [Google Scholar] [CrossRef] [PubMed]
- Thompson, L.; Cockayne, A.; Spiller, R.C. Inhibitory effect of polyunsaturated fatty acids on the growth of Helicobacter pylori: A possible explanation of the effect of diet on peptic ulceration. Gut 1994, 35, 1557–1561. [Google Scholar] [CrossRef] [PubMed]







| Fatty Acid Composition (%) | |||
|---|---|---|---|
| Fatty Acid | Before | After | |
| C16:0 | Palmitic acid | 2.09 | 1.83 |
| C18:1 | Oleic acid | 7.69 | 3.6 |
| C18:2 | Linoleic acid | 6.25 | 35.36 |
| C18:3 | α-eleostearic acid | 83.97 | 59.21 |
| Sum | 100 | 100 | |
| Polymer | Mn (103) | Mw (103) | PDI |
|---|---|---|---|
| P(99.3 mol% 3HB-co-0.7 mol% 3HV) | 2.68 | ||
| P(53 mol% 3HB-co-2 mol% 3HV-co-45 mol% HHx) | 1.82 |
Publisher’s Note: MDPI stays neutral with regard to jurisdictional claims in published maps and institutional affiliations. |
© 2021 by the authors. Licensee MDPI, Basel, Switzerland. This article is an open access article distributed under the terms and conditions of the Creative Commons Attribution (CC BY) license (https://creativecommons.org/licenses/by/4.0/).
Share and Cite
Lee, H.S.; Lee, S.M.; Park, S.L.; Choi, T.-R.; Song, H.-S.; Kim, H.-J.; Bhatia, S.K.; Gurav, R.; Kim, Y.-G.; Kim, J.-H.; et al. Tung Oil-Based Production of High 3-Hydroxyhexanoate-Containing Terpolymer Poly(3-Hydroxybutyrate-co-3-Hydroxyvalerate-co-3-Hydroxyhexanoate) Using Engineered Ralstonia eutropha. Polymers 2021, 13, 1084. https://doi.org/10.3390/polym13071084
Lee HS, Lee SM, Park SL, Choi T-R, Song H-S, Kim H-J, Bhatia SK, Gurav R, Kim Y-G, Kim J-H, et al. Tung Oil-Based Production of High 3-Hydroxyhexanoate-Containing Terpolymer Poly(3-Hydroxybutyrate-co-3-Hydroxyvalerate-co-3-Hydroxyhexanoate) Using Engineered Ralstonia eutropha. Polymers. 2021; 13(7):1084. https://doi.org/10.3390/polym13071084
Chicago/Turabian StyleLee, Hye Soo, Sun Mi Lee, Sol Lee Park, Tae-Rim Choi, Hun-Suk Song, Hyun-Joong Kim, Shashi Kant Bhatia, Ranjit Gurav, Yun-Gon Kim, June-Hyung Kim, and et al. 2021. "Tung Oil-Based Production of High 3-Hydroxyhexanoate-Containing Terpolymer Poly(3-Hydroxybutyrate-co-3-Hydroxyvalerate-co-3-Hydroxyhexanoate) Using Engineered Ralstonia eutropha" Polymers 13, no. 7: 1084. https://doi.org/10.3390/polym13071084
APA StyleLee, H. S., Lee, S. M., Park, S. L., Choi, T.-R., Song, H.-S., Kim, H.-J., Bhatia, S. K., Gurav, R., Kim, Y.-G., Kim, J.-H., Choi, K.-Y., & Yang, Y.-H. (2021). Tung Oil-Based Production of High 3-Hydroxyhexanoate-Containing Terpolymer Poly(3-Hydroxybutyrate-co-3-Hydroxyvalerate-co-3-Hydroxyhexanoate) Using Engineered Ralstonia eutropha. Polymers, 13(7), 1084. https://doi.org/10.3390/polym13071084

