Abstract
Lithium-ion batteries with conventional LiPF6 carbonate electrolytes are prone to failure at high temperature. In this work, the thermal stability of a dual-salt electrolyte of lithium bis(trifluoromethanesulfonyl)imide (LiTFSI) and lithium difluoro(oxalato)borate (LiODFB) in carbonate solvents was analyzed by accelerated rate calorimetry (ARC) and differential scanning calorimetry (DSC). LiTFSI-LiODFB dual-salt carbonate electrolyte decomposed when the temperature exceeded 138.5 °C in the DSC test and decomposed at 271.0 °C in the ARC test. The former is the onset decomposition temperature of the solvents in the electrolyte, and the latter is the LiTFSI-LiODFB dual salts. Flynn-Wall-Ozawa, Starink, and autocatalytic models were applied to determine pyrolysis kinetic parameters. The average apparent activation energy of the dual-salt electrolyte was 53.25 kJ/mol. According to the various model fitting, the thermal decomposition process of the dual-salt electrolyte followed the autocatalytic model. The results showed that the LiTFSI-LiODFB dual-salt electrolyte is significantly better than the LiPF6 electrolyte in terms of thermal stability.
1. Introduction
The development of high-energy-density, long-cycle-life, and high-safety secondary lithium-based batteries is essential to meet the emerging needs of the electronics and automotive industry, and various energy storage systems [1,2]. Developing high-voltage and high-capacity cathode materials is an indispensable requirement for promoting high- energy-density lithium-ion batteries (LIB). When the cathode materials are constant, increasing the charge cut-off voltage of the battery system can effectively increase its actual capacity [3]. Nevertheless, when the voltage exceeds 4.5 V, the traditional commercially available hexafluorophosphate (LiPF6) carbonate electrolyte is prone to oxidation and decomposition. Then the side reaction between the cathode and the electrolyte is intensified, and the transition metal ions are eluted, resulting in a significant decrease in the specific capacity of the battery [4,5].
Additionally, commercial electrolytes have high volatility and flammability, with an operating temperature range of –20 to 55 °C. Above 55 °C, LiPF6 decomposes and produces LiF and PF5. PF5 has firm acidity, causing the ring-opening reaction of cyclic carbonate in the solvent, and generating some linear carbonates, which corrodes the cathode structure material. LiPF6 is sensitive to moisture and will react with trace moisture impurities in the electrolyte to generate a small amount of hydrofluoric acid (HF), which will be more severe at high temperatures. These safety issues severely restrict the development of lithium-ion batteries [6,7]. Therefore, to meet the requirements of high energy density and high safety in lithium-ion batteries, it is desirable to improve the stability of the electrolyte under high pressure and high temperature.
The performance of the electrolyte mainly depends on the lithium salt in the electrolyte. The anion of the lithium salt plays a crucial role in electrolyte stability and the formation of the solid electrolyte mesophase (SEI) layer. Thus, developing a more stable lithium salt is undoubtedly a critical approach to improving lithium-ion battery electrolyte safety [8]. According to reports, LiTFSI has the advantages of sound thermal and chemical stability, high thermal decomposition temperature (360 °C), insensitivity to moisture, high ionic conductivity, and wide electrochemical window (glassy carbon as the working electrode, 5.0 V vs. Li+/Li) [9,10,11]. Moreover, LiTFSI has many applications in novel batteries, which can form a stable SEI film on the graphite anode, effectively improving the dendrite problem on the lithium anode; therefore, LiTFSI is expected to substitute LiPF6 [12,13]. However, LiTFSI will cause severe corrosion to the cathode current collector aluminum foil at a voltage above 3.7 V when used alone, limiting its use [14,15]. The lithium salt-based electrolyte of LiODFB has a wider electrochemical window for aluminum foil [16]. Due to the combination of Al3+ and B–O groups, a sound thermal stability, dense protective film can be formed on the surface of Al [17,18]. A stable passivation layer formed on the cathode has been reported after adding LiODFB to the lithium salt LiTFSI-based electrolyte, which can effectively inhibit the corrosion of the aluminum foil LiTFSI [19,20].
Recently, Qinglei Wang and his team have systematically explored the application of LiTFSI-LiODFB dual-salt in lithium-ion electrolytes. The study found that compared with high-voltage (5 V vs. Li+/Li) Li/LiNi0.5Mn1.5O4 cells using LiPF6 electrolytes, the cells with LiTFSI0.5-LiODFB0.5 dual-salt electrolyte had excellent cycling stability and rate performance [21]. When the cathode was LiFePO4 or LiCoO2, the cells with the best ratio of LiTFSI0.6-LiODFB0.4 (25 °C) and LiTFSI0.4-LiODFB0.6 (60 °C) dual-salt electrolytes in solvents ethylene carbonate (EC) and ethyl methyl carbonate (EMC), and both had excellent cycling stability and rate performance compared with using LiPF6 electrolyte [19,20]. Zhen Geng et al. found that Li/LiCoO2 cells have a high capacity (2.4 mAh/cm2) and excellent cycling performance at elevated temperature up to 80 °C, using 0.8 M LiTFSI-0.2 M LiODFB-0.01 M LiPF6 electrolytes in EC and propylene carbonate (PC) solvents [22]. Hongfa Xiang et al. demonstrated LiTFSI0.6-LiBOB0.4 dual-salt electrolytes in EC-EMC (4:6 by mass%) have an excellent charge ability and cycling stability of LiLiNi0.8Co0.15Al0.05O2 (NCA) cells. The NCA cells can deliver a discharge capacity of 131 mAh/g and capacity retention of 80% after 100 cycles at the charging current density of 1.50 mA/cm2 with the dual-salt electrolyte [23]. Studies have shown that whether used in lithium-ion batteries or lithium metal batteries, the LiTFSI-LiODFB dual-salt electrolyte is superior to LiPF6-based electrolytes in cycling stability and rate capability under specific proportions and specific conditions. It is crucial to improve the energy and safety of the battery. In addition, the conductivity of the LiTFSI-LiODFB dual-salt electrolyte decreases with the increase in the amount of LiODFB added, and the LiODFB-based electrolyte shows the maximum conductivity (8.58 mS/cm) in the EC and dimethyl carbonate (DMC) binary solvent mixture [24].
Therefore, considering the conductivity, electro-chemical performance, and high- temperature performance of the dual-salt electrolyte, compared with other ratios of LiTFSI-LiODFB dual-salt carbonate electrolyte, the ratio of LiTFSI0.6-LiODFB0.4 double-salt electrolyte has a broader application prospect in EC and DMC solvents. However, studies have paid insufficient attention to the thermal behavior of electrolytes mixed with lithium salts at high temperatures [25,26], and the specific role of mixed lithium salts in improving the thermal stability of the electrolyte has yet to be analyzed [27,28,29]. Therefore, in this work, differential scanning calorimetry (DSC) and accelerated rate calorimetry (ARC) were utilized to compared thermal behaviors between the LiTFSI-LiODFB dual-salt electrolyte and the LiPF6 electrolyte in the solvent mixed by ethylene carbonate (EC) and dimethyl carbonate (DMC) [30]. Various thermokinetic models were adopted to calculate the kinetic parameters and simulate the thermal decomposition process of electrolytes based on LiTFSI-LiODFB dual-salt [31]. The findings of the current study could provide reference information on the thermal stability of dual-salt electrolytes.
2. Materials and Methods
2.1. Materials
Battery-grade EC and DMC solvents were purchased from Sigma-Aldrich (purity > 99%). Lithium salt LiPF6 was purchased from Aldrich (purity ≥ 99.99% trace metals basis). Battery-grade LiTFSI (purity > 98%) and LiODFB (purity > 99%) were purchased from Adamas. All untreated chemicals were stored in a glove box filled with purified argon during the preparation of electrolytes. The dual-salt electrolyte was composed of 0.6 M LiTFSI and 0.4 M LiODFB (or LiTFSI0.6-LiODFB0.4) in EC+DMC (2:3, v/v). For comparison, the control electrolyte composed of 1 M LiPF6 in the same EC+DMC (2:3, v/v) mixture was investigated as well. The physico-chemical properties of the above electrolyte lithium salts and solvents are listed in Table 1.
Table 1.
Physico-chemical properties of electrolyte lithium salts and solvents.
2.2. Differential Scanning Calorimetry (DSC) Measurement
The DSC can measure the temperature and heat flow of the electrolyte sample under different atmospheres and heating rates related to the material conversion [32,33]. The heat-flow DSC 3 (produced by Mettler Toledo Co., Greifensee, Switzerland) was used to acquire the thermodynamic behavior of the self-made electrolyte. The matching standard aluminum crucible (40 µL) was selected to seal the electrolyte sample in the glove box to prevent the sample from contact with air and moisture. The DSC sample crucible was weighed before and after loading the sample, and the net sample mass was controlled within 3.5–5.0 mg. For the dynamic experiments, N2 (90 mL/min) atmosphere was employed, and the heating range was from 40 to 350 °C. Ten sets of samples for two electrolytes were scanned at different heating rates (β, β = 1, 2, 4, 7, and 10 °C/min) to obtain the vital thermodynamic parameters such as the onset temperature (To), peak temperature (Tp), end temperature (Te), and heat of reaction (ΔH) in entire pyrosis process [34].
2.3. Accelerated Rate Calorimetry (ARC) Measurement
As is known, the DSC 3 is an external heat-flow instrument, so it cannot directly reflect the actual reaction process of the material in an adiabatic environment. It also lacks the ability to detect the crucible pressure, so the pressure change of the material during the thermal runaway process cannot be obtained. Due to these limitations, it is necessary to further employ an accelerated rate calorimeter (ARC 244 from Netzsch, Selb, Germany) to measure the temperature and pressure changes of the electrolyte under pseudo adiabatic conditions [35]. In an argon atmosphere glove box, the titanium bomb was filled with LiPF6 and LiTFSI-LiODFB electrolyte samples for ARC experiments. In the adiabatic experiment, the ARC Hastelloy ball was heated to 120 °C. The heat-wait-search mode was initiated, then stopped when the temperature reached 350 °C. A heat-wait-search procedure was applied for every 5.0 °C increment with a waiting time of 15 min before detecting an exothermal reaction. When the heat generation rate of the sample exceeded 0.02 °C/min, the exotherm will be created. If no exotherm was found, the temperature increased with a heating rate of 10 °C/min [36]. In addition to the temperature and the heating rate, the pressure can also be recorded, and the self-temperature and self-pressure will also be calculated.
2.4. Kinetic Analysis
In a multivariate kinetic reaction, the activation energy (Ea) is an apparent value related to temperature. The lower the Ea value, the more easily the reaction takes place. In this work, based on the thermodynamic parameters recorded from DSC experiments, model-free methods including Starink (the differential method) and Flynn-Wall-Ozawa (FWO, the integral method) were utilized to calculate the Ea of thermal decomposition of electrolytes [37,38].
2.4.1. Starink Method
The Starink method is highly accurate and widespread, as offered in the following equation:
where Cs is a constant.
2.4.2. FWO Method
In the FWO method, Ea can be calculated directly without the reaction mechanism function, thereby virtually eliminating the errors caused by mechanism functions. The FWO kinetic equation is shown as follows [39]:
In the same conversion rate, temperature T was taken of each thermal analysis curve with different β, linearly fitting lgβ and 1/T. Then, the Ea was calculated from the slope of the straight line.
3. Results and Discussion
3.1. Thermal Analysis Technology
3.1.1. Thermal Decomposition Analysis by DSC
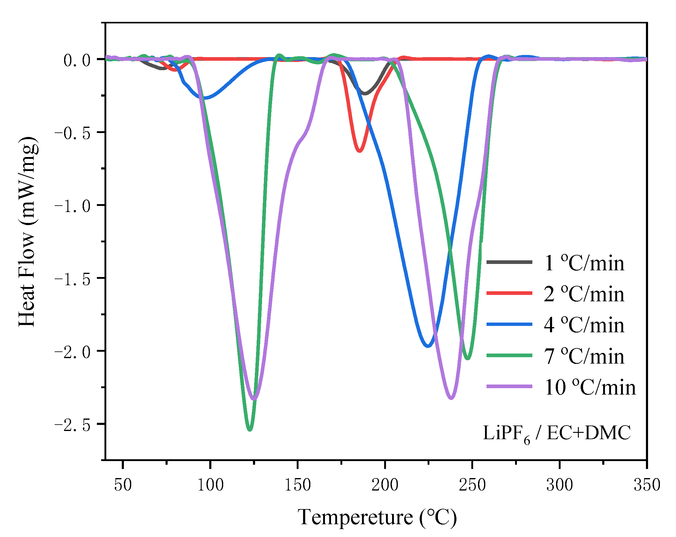
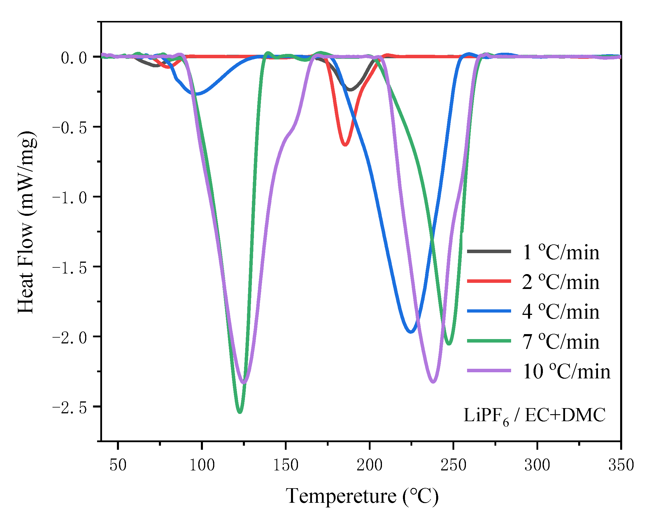
Figure 1 and Figure 2 respectively show the DSC curves of the 1 M LiPF6/EC + DMC (2:3, v/v) electrolyte and LiTFSI0.6-LiODFB0.4/EC + DMC (2:3, v/v) electrolyte at five different β. Table 2 summarizes the results of the To, Tp, and Te decomposition temperatures. It can be seen that when β increased from 1 to 10 °C/min, the three decomposition temperatures in three endothermic curves of two electrolytes curves also rose. As the heating rate increased, the initial reaction temperature also increased, and the heat absorbed by the reaction was also enhanced. When β value was high, the system temperature rose rapidly over time, so a higher temperature was required to start the reaction. Nevertheless, once the reaction started, it was much faster than that at low heating rates, so β could greatly affect the thermal stability electrolyte parameters [40].
Figure 1.
DSC curves of 1 M LiPF6/EC + DMC (2:3, v/v) at five different β.
Figure 2.
DSC curves of LiTFSI0.6-LiODFB0.4/EC + DMC (2:3, v/v) at five different β.
Table 2.
Characteristic temperature of electrolytes in the DSC experiment at different β.
The LiPF6 carbonate electrolyte DSC curves included two endothermic peaks at β of 10 °C/min; the first one occurred from 89.3 to 167.3 °C and the second from 206.7 to 265.3 °C. The first peak began at 89.3 °C, corresponding to the decomposition of LiPF6, as shown in Equation (3) [41], and the moisture in the electrolyte accelerated the decomposition reaction.
The strong PF5 Lewis acid promoted the ring-opening polymerization reaction of low volatile solvents, and the low volatile compounds may be oligomers of the polyether carbonate in the thermal reaction (as shown in Equation (4)) [42,43]. The decomposition products of LiPF6 reacted with organic solvents, and solvents decomposed when the temperature exceeded 206.7 °C, resulting in the second endothermic peak [27].
LiTFSI-LiODFB dual-salt carbonate electrolyte was stable at low temperature. When the temperature exceeded 138.5 °C, the solvents began to decompose, and then the lithium salts decomposed successively [34]. The above analysis results show that LiTFSI-LiODFB dual-salt carbonate electrolyte has better thermal stability and a significantly greater thermal decomposition temperature than LiPF6 electrolyte.
3.1.2. Thermal Decomposition Analysis by ARC
Figure 3 and Figure 4 respectively show the thermal behavior of the two electrolytes in the ARC test, including the curves of temperature and pressure versus time as well as the self-temperature rise rate and self-pressure rise rate versus temperature. The characteristic parameters of the electrolyte ARC experiment are listed in Table 3, including the sample quality (ms), initial exothermic temperature (To,s), end exothermic temperature (Te,s), maximum temperature rise rate (dT/dt)max, maximum pressure rise rate (dP/dt)max, and the temperature Ttm, Tpm when the maximum temperature and pressure rise rate was obtained [35].
Figure 3.
ARC curves of 1 M LiPF6/EC + DMC (2:3, v/v). (a) Pressure and temperature versus time curves; (b) Self-temperature rise rate and self-pressure rise rate versus temperature curves.
Figure 4.
ARC curves of LiTFSI0.6-LiODFB0.4/EC + DMC (2:3, v/v). (a) Pressure and temperature versus time curves; (b)Self-temperature rise rate and self-pressure rise rate versus temperature curves.
Table 3.
Characteristic parameters of electrolyte samples in the ARC experiment.
Figure 3 shows the pressure rise of the LiPF6-based electrolyte, which corresponds to two temperature ranges: 205.1–220.7 °C and 225.6–227.8 °C. The onset (205.1 °C) for an exothermic reaction was observed for the LiPF6 electrolyte. Figure 3b shows self-temperature rise rate with a maximum value of 0.155 °C/min and self-pressure rise rate with a maximum value of 0.65 bar/min. It is illustrated in Figure 1 that the exothermic reactions of LiPF6 started at 205.1 °C, which can be attributed not only to the release of PF5 from the PF6−(Equation (3)) but also the ring-opening polymerization reaction of EC and DMC (Equations (5) and (6)) [41,44]. The occurrence of this elimination explains the loss of condensed material during the reaction.
Figure 3a shows that the self-pressure rise rate reached the peak at 212.4 °C. However, the curve of self-temperature rise rate showed no peak before 212.5 °C. These results imply that most of the PF− still existed and was stable at temperatures below 212.5 °C. From self-temperature rise rate and self-pressure rise rate curves of the two electrolytes, it can be found that the (dT/dt)max and (dP/dt)max of the LiTFSI-LiODFB electrolyte were lower than that of the LiPF6 electrolyte. As diagramed in Figure 4a, the electrolyte pressure began to rise before the exotherm. This explains why the endothermic heat of solvent decomposition LiTFSI-LiODFB dual-salt did not begin to decompose until 271.0 °C. The decomposition temperature of the LiTFSI-LiODFB dual-salt carbonate electrolyte range was 271.0–292.7 °C (seen from Figure 4b). Therefore, DSC results correlated well with the ARC, showing higher thermal stability of LiTFSI-LiODFB dual-salt carbonate electrolyte than LiPF6 electrolyte.
3.2. Thermal Kinetic Analysis
3.2.1. Starink Method for Electrolyte Ea Calculation
Figure 5 illustrates the kinetic fitting curve of LiTFSI-LiODFB dual-salt carbonate electrolyte samplein the Starink method based on DSC experiments. It shows the lines obtained by fitting ln(1/T1.8) and 1000/T at different β (1, 2, 4, 7, and 10 °C/min). It can be calculated that dual-salt electrolyte Ea was 50.43 kJ/mol, and R2 was 0.9925.
Figure 5.
Ea plots of Starink model at different β in DSC experiments for the LiTFSI-LiODFB electrolyte.
3.2.2. FWO Method for Electrolyte Ea Calculation
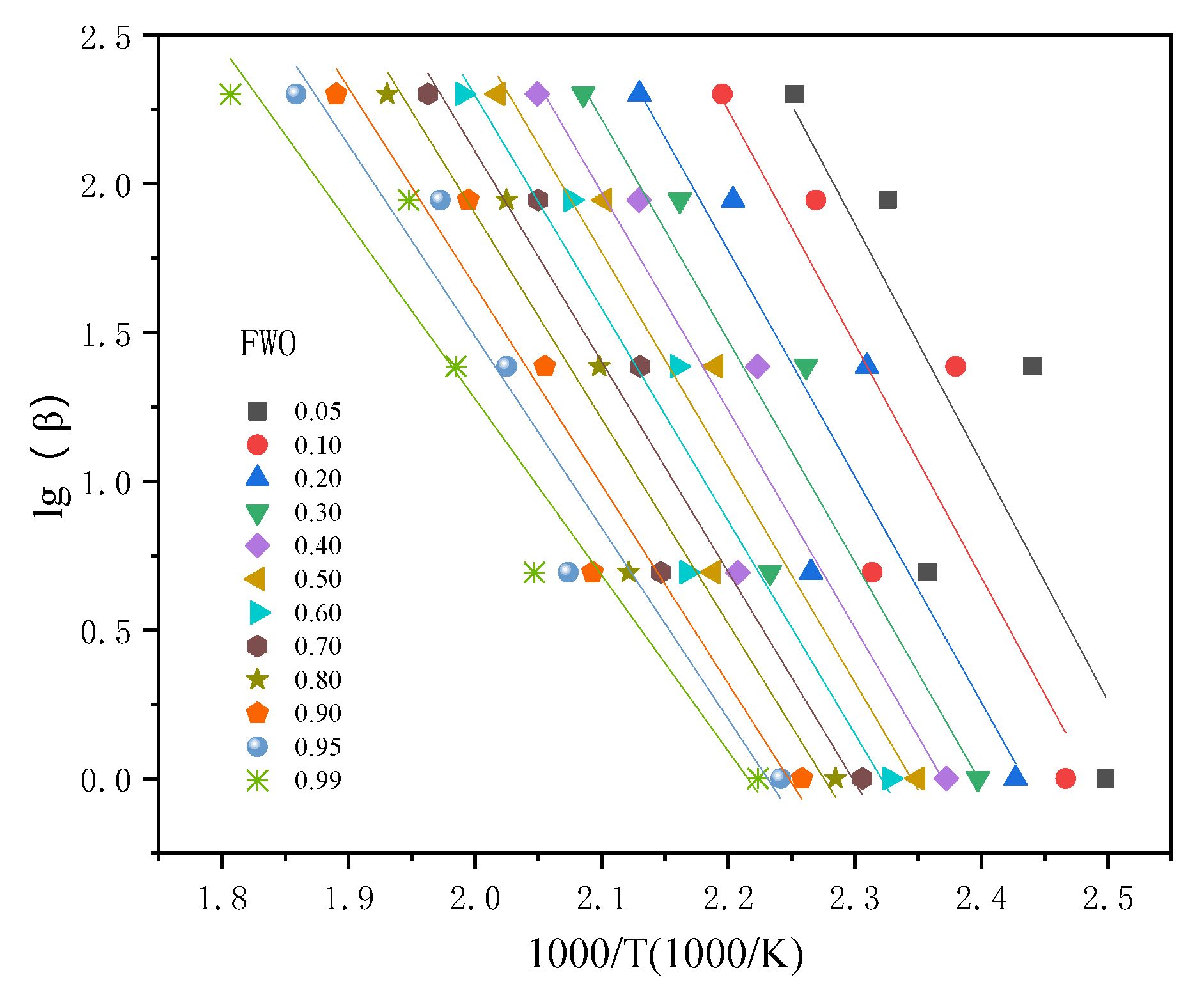
The FWO model was adopted to further verify the Ea. The fitting results of LiTFSI-LiODFB electrolyte in different conversion intervals ( 0.05, 0.1, 0.2, 0.3, 0.4, 0.5, 0.6, 0.7, 0.8, 0.9, 0.95, and 0.99) are shown in Figure 6. The Ea for all the samples was calculated from the slope of the lines within the conversion range of 0.05–0.99. Among them, the fitting degree was lower, and the calculated Ea values were relatively higher than others in (0.05, 0.1, 0.2, 0.3, and 0.4), which could be attributed to the unstable premier reaction of pyrolysis. These fitted parallel straight-line plots indicated a slight change in the Ea values (46.8–63.4 kJ/mol) through the degradation processes. The average apparent activation energy () value was 56.39 kJ/mol, and R2 was 0.879, which is listed in Table 4.
Figure 6.
Ea fitting curves of the LiTFSI-LiODFB electrolyte by FWO method for conversion degree from 0.10 to 0.95.
Table 4.
Thermokinetic parameters of LiTFSI-LiODFB dual-salt electrolyte calculated by different kinetic methods and simulation.
3.2.3. Thermokinetic Parameters Determined by Autocatalytic Model
According to the DSC curves of the LiTFSI-LiODFB electrolyte (Figure 2), the curves of the initial stage of the endothermic process did not overlap, and the entire spectrum was biased toward the high-temperature side. According to the empirical judgment method of the spectrum, it was preliminarily obtained that the endothermic process of the LiTFSI-LiODFB electrolyte was autocatalytic. The following reaction scheme was considered in Equations ((7)–(9)) [45]:
This type of reaction generally accelerates as the reactant is consumed, and an autocatalytic substance is produced. The autocatalysis model is shown in Equation (10),
where n1 and n2 respectively represent the first and second stages of the reaction, and z is the autocatalytic factor.
At different β (1, 2, 4, 7, and 10 °C/min), the relationship between heat release and time as well as the relationship between heat release rate and time are shown in Figure 7 and Figure 8, where sim and exp represent the simulation and the experimental data, respectively. It can be seen from the figure that the fitting results of the autocatalytic model and the DSC experimental data were mostly completely scattered on the same line, and the simulation results had ideal consistency. The calculation results of the dynamic parameters are listed in Table 4. The Ea obtained by the autocatalysis model fitting was 52.93 kJ/mol. The comparison shows that the kinetic parameters simulated by the autocatalysis model were roughly the same as those calculated by the isoconversional method.
Figure 7.
Evolution of heating production of LiTFSI-LiODFB electrolyte thermal decomposition reaction with time in experiment and simulation.
Figure 8.
Evolution of heating production rate of LiTFSI-LiODFB electrolyte thermal decomposition reaction with time in experiment and simulation.
4. Conclusions
- The thermal behavior tests of the LiPF6 and LiTFSI-LiODFB dual-salt carbonate electrolyte by ARC and DSC indicated that the latter had better thermal stability. At 89.3 °C, the LiPF6 carbonate electrolyte conductive salt and moisture undergo an endothermic decomposition reaction to generate strong Lewis acids PF5, LiF, and trace moisture, accelerating the decomposition reaction. When the temperature exceeded 206.7 °C, the strong PF5 Lewis acid promoted the ring-opening polymerization reaction of low-volatility solvents, and the decomposition products of LiPF6 reacted with organic solvents. While LiTFSI-LiODFB dual-salt carbonate electrolyte was stable below 138.5 °C, the solvents began to decompose. The lithium salts decomposed successively when the temperature exceeded 271.0 °C.
- Starink, FWO kinetic models, and autocatalytic methods were used to calculate the Ea values of LiTFSI-LiODFB dual-salt electrolyte. The results showed that the values determined by the three methods were similar, with an average value of 53.25 kJ/mol. According to the simulation results, the mixed salt is considered to follow the autocatalytic model. The findings can provide a reference for the future application of dual-salt in different types of new lithium-ion batteries.
Author Contributions
Conceptualization, Y.-P.Y. and A.-C.H.; methodology, A.-C.H. and Y.T.; validation, Z.-H.W.; formal analysis, Y.-C.L., H.-L.Z., and Z.-P.L.; resources, Y.T.; writing—original draft preparation, Y.-P.Y.; writing—review and editing, A.-C.H., Y.T., and C.-M.S.; project administration, J.-C.J. and Z.-X.X.; funding acquisition, J.-C.J. and Z.-X.X. All authors have read and agreed to the published version of the manuscript.
Funding
This research was funded by the National Nature Science Foundation of China, grant number 21927815 and 51574046, and the National Key Research Development Program of China, grant number 2019YFC0810701.
Institutional Review Board Statement
Not applicable.
Informed Consent Statement
Not applicable.
Data Availability Statement
The data presented in this study are available on request from the corresponding author.
Acknowledgments
Authors thank the experimental and technical support given by Xi-Lin Dong.
Conflicts of Interest
The authors declare no conflict of interest.
References
- Brutti, S.; Simonetti, E.; De Francesco, M.; Sarra, A.; Paolone, A.; Palumbo, O.; Fantini, S.; Lin, R.; Falgayrat, A.; Choi, H.; et al. Ionic liquid electrolytes for high-voltage, lithium-ion batteries. J. Power Sources 2020, 479, 228791. [Google Scholar] [CrossRef]
- Pham, H.Q.; Lee, H.Y.; Hwang, E.H.; Kwon, Y.G.; Song, S.W. Non-flammable Organic Liquid Electrolyte for High-Safety and High-Energy Density Li-ion Batteries. J. Power Sources 2018, 404, 13–19. [Google Scholar] [CrossRef]
- Li, W.; Liu, X.; Xie, Q.; You, Y.; Chi, M.; Manthiram, A. Long-Term Cyclability of NCM-811 at High Voltages in Lithium-Ion Batteries: An In-Depth Diagnostic Study. Chem. Mater. 2020, 32, 7796–7804. [Google Scholar] [CrossRef]
- Chen, S.; Wen, K.; Fan, J.; Bando, Y.; Golberg, D. Progress and future prospects of high-voltage and high-safety electrolytes in advanced lithium batteries: From liquid to solid electrolytes. J. Mater. Chem. A 2018, 6, 11631–11663. [Google Scholar] [CrossRef]
- Gaulupeau, B.; Delobel, B.; Cahen, S.; Fontana, S.; Hérold, C. Real-time mass spectroscopy analysis of Li-ion battery electrolyte degradation under abusive thermal conditions. J. Power Sources 2017, 342, 808–815. [Google Scholar] [CrossRef]
- Wang, Q.; Jiang, L.; Yu, Y.; Sun, J. Progress of enhancing the safety of lithium ion battery from the electrolyte aspect. Nano Energy 2019, 55, 93–114. [Google Scholar] [CrossRef]
- Ren, D.; Liu, X.; Feng, X.; Lu, L.; Ouyang, M.; Li, J.; He, X. Model-based thermal runaway prediction of lithium-ion batteries from kinetics analysis of cell components. Appl. Energy 2018, 228, 633–644. [Google Scholar] [CrossRef]
- Wang, Q.; Yao, Z.; Zhao, C.; Verhallen, T.; Tabor, D.P.; Liu, M.; Ooms, F.; Kang, F.; Aspuru-Guzik, A.; Hu, Y.-S.; et al. Interface chemistry of an amide electrolyte for highly reversible lithium metal batteries. Nat. Commun. 2020, 11. [Google Scholar] [CrossRef]
- Naoi, K.; Mori, M.; Naruoka, Y.; Lamanna, W.M.; Atanasoski, R. The Surface Film Formed on a Lithium Metal Electrode in a New Imide Electrolyte, Lithium Bis(perfluoroethylsulfonylimide) [LiN(C2F5SO2)2]. J. Electrochem. Soc. 1999, 146, 462–469. [Google Scholar] [CrossRef]
- Dahbi, M.; Ghamouss, F.; Tran-Van, F.; Lemordant, D.; Anouti, M. Comparative study of EC/DMC LiTFSI and LiPF6 electrolytes for electrochemical storage. J. Power Sources 2011, 196, 9743–9750. [Google Scholar] [CrossRef]
- Dahbi, M.; Ghamouss, F.; Tran-Van, F.O.; Lemordant, D.; Anouti, M. Ester based electrolyte with lithium bis(trifluoromethane sulfonyl) imide salt for electrochemical storage devices: Physicochemical and electrochemical characterization. Electrochim. Acta 2012, 86, 287–293. [Google Scholar] [CrossRef]
- Bolloli, M.; Alloin, F.; Kalhoff, J.; Bresser, D.; Passerini, S.; Judeinstein, P.; Leprêtre, J.-C.; Sanchez, J.-Y. Effect of carbonates fluorination on the properties of LiTFSI-based electrolytes for Li-ion batteries. Electrochim. Acta 2015, 161, 159–170. [Google Scholar] [CrossRef]
- Meng, N.; Zhang, H.; Lianli, S.; Lian, F. Salt-with-Salt, a novel strategy to design the flexible solid electrolyte membrane for highly safe lithium metal batteries. J. Membr. Sci. 2020, 597, 117768. [Google Scholar] [CrossRef]
- Matsumoto, K.; Inoue, K.; Nakahara, K.; Yuge, R.; Noguchi, T.; Utsugi, K. Suppression of aluminum corrosion by using high concentration LiTFSI electrolyte. J. Power Sources 2013, 231, 234–238. [Google Scholar] [CrossRef]
- Yang, H.; Kwon, K.; Devine, T.M.; Evans, J.W. Aluminum Corrosion in Lithium Batteries An Investigation Using the Electrochemical Quartz Crystal Microbalance. J. Electrochem. Soc 2000, 147, 4399–4407. [Google Scholar] [CrossRef]
- Li, J.; Xie, K.; Lai, Y.; Zhang, Z.A.; Li, F.; Hao, X.; Chen, X.; Liu, Y. Lithium oxalyldifluoroborate/carbonate electrolytes for LiFePO 4/artificial graphite lithium-ion cells. J. Power Sources 2010, 195, 5344–5350. [Google Scholar] [CrossRef]
- Zhang, S.S. An unique lithium salt for the improved electrolyte of Li-ion battery. Electrochem. Commun. 2006, 8, 1423–1428. [Google Scholar]
- Zhou, H.; Fang, Z.; Li, J. LiPF6 and lithium difluoro(oxalato)borate/ethylene carbonate + dimethyl carbonate + ethyl(methyl)carbonate electrolyte for Li4Ti5O12 anode. J. Power Sources 2013, 230, 148–154. [Google Scholar] [CrossRef]
- Li, F.; Gong, Y.; Jia, G.; Wang, Q.; Peng, Z.; Fan, W.; Bai, B. A novel dual-salts of LiTFSI and LiODFB in LiFePO4-based batteries for suppressing aluminum corrosion and improving cycling stability. J. Power Sources 2015, 295, 47–54. [Google Scholar] [CrossRef]
- Shangguan, X.; Jia, G.; Li, F.; Wang, Q.; Bai, B. Mixed Salts of LiFSI and LiODFB for Stable LiCoO2-Based Batteries. J. Electrochem. Soc 2016, 163, A2797–A2802. [Google Scholar] [CrossRef]
- Li, F.; Shangguan, X.; Jia, G.; Wang, Q.; Gong, Y.; Bai, B.; Fan, W. Dual-salts of LiTFSI and LiODFB for high voltage cathode LiNi 0.5 Mn 1.5 O 4. J. Solid State Electrochem. 2016, 20, 3491–3498. [Google Scholar] [CrossRef]
- Geng, Z.; Lu, J.; Li, Q.; Qiu, J.; Wang, Y.; Peng, J.; Huang, J.; Li, W.; Yu, X.; Li, H. Lithium metal batteries capable of stable operation at elevated temperature. Energy Storage Mater. 2019. [Google Scholar] [CrossRef]
- B, H.X.A.; B, P.S.; A, P.B.; A, X.C.; C, D.M.; D, M.E.B.; A, J.Z.; A, J.G.Z.; A, W.X. Enhanced charging capability of lithium metal batteries based on lithium bis(trifluoromethanesulfonyl)imide-lithium bis(oxalato)borate dual-salt electrolytes. J. Power Sources 2016, 318, 170–177. [Google Scholar]
- Zhang, L.; Ma, Y.; Cheng, X.; Zuo, P.; Cui, Y.; Guan, T.; Du, C.; Gao, Y.; Yin, G. Enhancement of high voltage cycling performance and thermal stability of LiNi1/3Co1/3Mn1/3O2 cathode by use of boron-based additives. Solid State Ionics 2014, 263, 146–151. [Google Scholar] [CrossRef]
- Liu, J.; Li, J.; Wang, J. In-depth analysis on thermal hazards related research trends about lithium-ion batteries: A bibliometric study. J. Storage Mater. 2021, 35, 102253. [Google Scholar] [CrossRef]
- Masoud, E.M.; Hassan, M.E.; Wahdaan, S.E.; Elsayed, S.R.; Elsayed, S.A. Gel P (VdF/HFP) / PVAc / lithium hexafluorophosphate composite electrolyte containing nano ZnO filler for lithium ion batteries application: Effect of nano filler concentration on structure, thermal stability and transport properties. Polym. Test. 2016, 56, 277–286. [Google Scholar] [CrossRef]
- Sloop, S.E.; Pugh, J.K.; Wang, S.; Kerr, J.B.; Kinoshita, K. Chemical Reactivity of PF5 and LiPF6 in Ethylene Carbonate/Dimethyl Carbonate Solutions. Electrochem. Solid-State Lett. 2001, 4, 357–364. [Google Scholar] [CrossRef]
- Masoud, E.M.; Emad, M. Citrated porous gel copolymer electrolyte composite for lithium ion batteries application: An investigation of ionic conduction in an optimized crystalline and porous structure. Journal of Alloys and Compounds: An Interdisciplinary. J. Mater. Sci. Solid-State Chem. Phys. 2015, 651, 157–163. [Google Scholar]
- ElBellihi, A.A.; Bayoumy, W.A.; Masoud, E.M.; Mousa, M.A. Preparation, Characterizations and Conductivity of Composite Polymer ElectrolytesBased on PEO-LiCIO4 and Nano ZnO Filler. Bull. Korean Chem. Soc 2012, 33, 2949–2954. [Google Scholar] [CrossRef]
- Feng, X.; Zheng, S.; Ren, D.; He, X.; Wang, L.; Cui, H.; Liu, X.; Jin, C.; Zhang, F.; Xu, C.; et al. Investigating the thermal runaway mechanisms of lithium-ion batteries based on thermal analysis database. Appl. Energy 2019, 246, 53–64. [Google Scholar] [CrossRef]
- Yeh, F.M.; Volli, V.; Laiwang, B.; Tung, P.H.; Shu, C.M. Oxidative stability and thermal performance of ester based lube oil with lithium salt additives. Appl. Therm. Eng. 2019, 150, 1328–1336. [Google Scholar] [CrossRef]
- Yazdani, A.; Sanghadasa, M.; Botte, G.G. Ionic conductivity and thermal stability of lithium salt / potassium bifluoride electrolytes for thermal batteries. J. Power Sources 2020, 453, 227854. [Google Scholar] [CrossRef]
- Ryou, M.-H.; Lee, J.-N.; Lee, D.J.; Kim, W.-K.; Jeong, Y.K.; Choi, J.W.; Park, J.-K.; Lee, Y.M. Effects of lithium salts on thermal stabilities of lithium alkyl carbonates in SEI layer. Electrochim. Acta 2012, 83, 259–263. [Google Scholar] [CrossRef]
- Lu, Z.; Yang, L.; Guo, Y. Thermal behavior and decomposition kinetics of six electrolyte salts by thermal analysis. J. Power Sources 2006, 156, 555–559. [Google Scholar] [CrossRef]
- Rder, P.; Baba, N.; Friedrich, K.A.; Wiemhfer, H.D. Impact of delithiated Li0FePO4 on the decomposition of LiPF6-based electrolyte studied by accelerating rate calorimetry. J. Power Sources 2013, 236, 151–157. [Google Scholar] [CrossRef]
- Röder, P.; Baba, N.; Wiemhöfer, H.D. A detailed thermal study of a Li[Ni0.33Co0.33Mn0.33]O2/LiMn2O4-based lithium ion cell by accelerating rate and differential scanning calorimetry. J. Power Sources 2014, 248, 978–987. [Google Scholar] [CrossRef]
- Parajó, J.J.; Teijeira, T.; Fernández, J.; Salgado, J.; Villanueva, M. Thermal stability of some imidazolium [NTf2] ionic liquids: Isothermal and dynamic kinetic study through thermogravimetric procedures. J. Chem. Thermodyn. 2017, 112, 105–113. [Google Scholar]
- Lin, C.P.; Tseng, J.M.; Chang, Y.M.; Cheng, Y.C.; Lin, H.Y.; Chien, C.Y. Green thermal analysis for predicting thermal hazard of storage and transportation safety for tert-butyl peroxybenzoate. J. Loss Prev. Process Ind 2012, 25, 1–7. [Google Scholar] [CrossRef]
- Zhang, Z.; Wang, C.; Huang, G.; Liu, H.; Yang, S.; Zhang, A. Thermal degradation behaviors and reaction mechanism of carbon fibre-epoxy composite from hydrogen tank by TG-FTIR. J. Hazard. Mater. 2018, 357, 73–80. [Google Scholar] [CrossRef] [PubMed]
- Botte, G.G.; White, R.E.; Zhang, Z. Thermal stability of LiPF6–EC:EMC electrolyte for lithium ion batteries. J. Power Sources 2001, 97–98, 570–575. [Google Scholar] [CrossRef]
- Kawamura, T.; Kimura, A.; Egashira, M.; Okada, S.; Yamaki, J.I. Thermal stability of alkyl carbonate mixed-solvent electrolytes for lithium ion cells. J. Power Sources 2002, 104, 260–264. [Google Scholar] [CrossRef]
- Vogdanis, L.; Heitz, W. Carbon dioxide as a monomer, 3. The polymerization of ethylene carbonate. Macromol. Rapid Commun. 1986, 7, 543–547. [Google Scholar]
- Haba, O.; Furuichi, N.; Akashika, Y. Anionic Ring-Opening Copolymerization of L-Lactide with a Five-Membered Cyclic Carbonate Having a Glucopyranoside Structure. Polym. J. 2009, 41, 702–708. [Google Scholar] [CrossRef]
- Gnanaraj, J.S.; Zinigrad, E.; Asraf, L.; Gottlieb, H.E.; Sprecher, M.; Aurbach, D.; Schmidt, M. The use of accelerating rate calorimetry (ARC) for the study of the thermal reactions of Li-ion battery electrolyte solutions. J. Power Sources 2003, 119, 794–798. [Google Scholar] [CrossRef]
- Cao, C.R.; Liu, S.H.; Das, M.; Shu, C.M. Evaluation for the thermokinetics of the autocatalytic reaction of cumene hydroperoxide mixed with phenol through isothermal approaches and simulations. Trans. Inst. Chem. Eng. Process Saf. Environ. Protect. Part B 2018, 117, 426–438. [Google Scholar] [CrossRef]
Publisher’s Note: MDPI stays neutral with regard to jurisdictional claims in published maps and institutional affiliations. |
© 2021 by the authors. Licensee MDPI, Basel, Switzerland. This article is an open access article distributed under the terms and conditions of the Creative Commons Attribution (CC BY) license (http://creativecommons.org/licenses/by/4.0/).







