Thermal Decomposition Mechanism of GIS Basin Insulator and Kinetic Parameters-Based Lifetime Prediction Methodology
Abstract
1. Introduction
2. Thermogravimetric Characteristics and Reaction Mechanism
2.1. Experimental Setup and Thermogravimetric Curves
2.2. Thermal Decomposition Mechanism and Reaction Mechanism Function
3. An Improved Solution Method for Thermal Kinetic Parameters
3.1. An Improved Method of Temperature Integral Analysis
3.2. An Improved Algorithm for Solving Activation Energy
3.3. Solution Method of Reaction Mechanism Function
4. Life Assessment
4.1. Life Calculation
4.2. Discussion
5. Conclusions
- (1)
- The temperature heating rate shows great influence on the thermogravimetric curve of GIS basin insulators. As the heating rate decreases, the TG curve of the GIS insulator shifts towards the low temperature. The corresponding initial temperature, termination temperature, maximum mass loss temperature and peak temperature also decrease accordingly.
- (2)
- Based on the differential expression of the reaction mechanism function, a universal integral expression of the reaction mechanism function is proposed, which shows better applicability and accuracy in a larger conversion rate range.
- (3)
- Based on the approximate treatment of temperature integral, the Arrhenius temperature integral transformation form is proposed, which shows better applicability and accuracy in the whole value range of u. On this basis, an improved calculation method of activation energy is presented, which can promote higher accuracy of the solution.
- (4)
- According to the pyrolysis kinetic equation of the material, a method for solving the pyrolysis reaction mechanism function of the insulating material is given. Based on this method, the pre-exponential factor can be obtained at the same time.
- (5)
- Based on the obtained activation energy, reaction mechanism function and pre-exponential factor, a residual life prediction method of GIS basin insulators using the pyrolysis kinetic state parameters is proposed. Further analysis shows that the service life of basin insulators is most affected by the operating temperature.
Author Contributions
Funding
Institutional Review Board Statement
Informed Consent Statement
Data Availability Statement
Conflicts of Interest
References
- Tian, H.; Hao, L.C.; Liu, S.J. Research of High-performance Epoxy Casting Material for GIS Insulating Part. Insul. Mater. 2013, 46, 9–13. [Google Scholar]
- Fei, L.F. Study on heat-resistant performance of epoxy resin casting workpiece for high voltage switchgear. Insul. Mater. 2004, 37, 27–29. [Google Scholar]
- Liu, S.; Jiang, P.; Peng, C.G.; Shao, X.J. Analysis on Breakdown Failure in Basin-type Insulator of 1100 kV GIS. Zhejiang Electr. Power 2016, 35, 36–39. [Google Scholar]
- Wang, Z.H.; Lu, W.X.; He, X.M. Analysis on the Fault of the Supporting Isolator for 750 kV GIS Equipment. Qinghai Electr. Power 2016, 35, 56–60. [Google Scholar]
- Zhang, K.; Hu, C.J.; Sun, Y.M. Case study of a post insulator fault in the 750 kV GIS substation. Electr. Meas. Inst. 2015, 52, 115–118. [Google Scholar]
- Wu, D.G.; Peng, X.; Li, H.Y. Analysis of a 500 kV GIL Insulator Burst Fault. Insul. Surge Arresters 2016, 269, 48–51. [Google Scholar]
- Fan, X.H.; Du, C.Y.; Mou, M.Q. Appearance Quality Analysis of Epoxy Resin Vacuum Casting Product. Insul. Mater. 2014, 47, 106–109. [Google Scholar]
- Wu, H.J. Resin Vacuum Cast Process and Its Points for Attention. Transformer 2000, 37, 33–36. [Google Scholar]
- Yu, X.X.; Yu, Z.Q.; Lu, H.Y. Epoxy Electrical Insulating Material; Chemical Industry Press: Beijing, China, 2007. [Google Scholar]
- Shen, W.W.; Song, W.; Wang, G.L. Influence of Corona Discharge on Aging Characteristics of HTV Silicone Rubber Material. High Volt. Appar. 2013, 49, 1–3. [Google Scholar]
- Yang, R. Status and Challenge in Aging Research of Polymer Composites. Polym. Mater. Sci. Eng. 2015, 31, 181–184. [Google Scholar]
- Li, G.; Wang, C.J.; Li, R.F. Identification Research of Insulators Discharge Based on Correlation Dimension of Acoustic Emission Wave. High Volt. Appar. 2013, 49, 79–82. [Google Scholar]
- Xu, J.S.; Zhang, Z.P.; Wang, S.Q. Research on the Prediction for the Operating State of Insulators Using BP Network Based on GNBR Algorithm. Power. Syst. Cle. 2013, 29, 6–9. [Google Scholar]
- Zhang, X.; Li, G.Y.; Huang, R.H. Statistical Analysis of Defects and Maintenance Advice for GIS in Different Operating Years Above 110 kV. High Volt. Appar. 2016, 52, 184–188. [Google Scholar]
- Li, J.; Zhang, X.; Han, X. A partial discharge detection method for SF6 insulated inverted current transformers adopting inner shield case as UHF sensor. IEEE Trans. Power Deliv. 2018, 33, 3237–3239. [Google Scholar] [CrossRef]
- Liao, X.Z.; Wang, H.M.; Ding, D.W. GIS Basin Insulator Defect Analysis Based on Ultra-high Frequency Time-frequency Analysis. High Volt. Appar. 2019, 55, 47–53. [Google Scholar]
- Zhou, Y.H.; Ye, R.X.; Dong, M. Research on SF6 gas decomposition detection method based on electrochemical sensors. Chin. J. Sci. Instrum. 2016, 37, 2133–2139. [Google Scholar]
- Wang, Y.; Ning, W.; Ji, S. Study on SF6 gas decomposition products of typical GIS defect models by infrared detection. In Proceedings of the 1st International Conference on Electric Power Equipment—Switching Technology, Xi’an, China, 23–27 October 2011. [Google Scholar]
- Song, D.B.; Qin, S.R.; Chen, F. Detection and Analysis of Several Partial Discharge Defects of Insulation in GIS. High Volt. Appar. 2018, 54, 153–159. [Google Scholar]
- Liang, B.Y.; Gao, J.; Liu, H.L. Fault Detection and Location of Gas Insulated Switchgear Based on Vibration Characteristic Estimation. Sci. Tech. Eng. 2020, 20, 12836–12842. [Google Scholar]
- Wu, X.T.; Li, X.G.; Li, J.H. PD Characteristics Over Oil/Paper Interface Stressed by AC and DC Composite Voltage. High Volt. Appar. 2016, 52, 128–131. [Google Scholar]
- Liao, R.J.; Zhang, S.; Yang, L.J. Comparative Analyses of Thermal Aging and Power Frequency Breakdown Characteristics Between Natural Ester-paper Insulation and Mineral Oil-paper Insulation. High Volt. Eng. 2012, 38, 769–775. [Google Scholar]
- Liu, R.; Li, J.S.; Tian, W.J. Measurement and Analysis of Partial Discharge on Typical Defects in XLPE Power Cable. High Volt. Appar. 2015, 51, 44–50. [Google Scholar]
- Zhang, G.J.; Zhao, L.; Zhou, R. Review on Aging Characterization and Evaluation of Silicon Rubber Composite Insulator. High Volt. Appar. 2016, 52, 1–15. [Google Scholar]
- Chang, W.Z.; Yan, C.Y.; Li, C.R. Assessment of Creeping Discharge Initiated by Metal Particles on the Silicone Rubber/XLPE Interface in Cable Joints. Trans. China Electr. Soc. 2015, 30, 245–254. [Google Scholar] [CrossRef]
- Blanco, I. Lifetime Prediction of Polymers: To Bet, or Not to Bet—Is This the Question? Materials 2018, 11, 1383. [Google Scholar] [CrossRef]
- Plota, A.; Masek, A. Lifetime Prediction Methods for Degradable Polymeric Materials—A Short Review. Materials 2020, 13, 4507. [Google Scholar] [CrossRef]
- Dakin, T.W. Electrical insulation deterioration treated as a chemical rate phenomenon. Trans. Am. Inst. Electr. Eng. 1948, 67, 113–122. [Google Scholar] [CrossRef]
- Dixon, R.R. Thermal aging predictions from an Arrhenius plot with only one data point. IEEE Trans. Electr. Insul. 1980, 15, 33–37. [Google Scholar]
- Wise, J.; Gillen, K.T.; Clough, R.L. An ultrasensitive technique for testing the Arrhenius extrapolation assumption for thermally aged elastomers. Polym. Degrad. Stabil. 1948, 49, 403–418. [Google Scholar] [CrossRef]
- Blanco, I. End-life prediction of commercial PLA used for food packaging through short term TGA experiments: Real chance or low reliability? Chin. J. Polym. Sci. 2014, 32, 681–689. [Google Scholar] [CrossRef]
- Simon, P. Induction periods. J. Therm. Anal. Calorim. 2006, 84, 263–270. [Google Scholar] [CrossRef]
- Simon, P.; Kolman, L. DSC Study of Oxidation Induction Periods. J. Therm. Anal. Calorim. 2001, 64, 813–820. [Google Scholar] [CrossRef]
- Ji, C.H. Study on Thermal Decomposition Mechanism and Kinetics of RE2O3. Master’s Thesis, Jiangxi University of Science and Technology, Ganzhou, China, 2017. [Google Scholar]
- Hu, R.Z. Thermal Kinetics, 2nd ed.; Science Press: Beijing, China, 2016. [Google Scholar]
- Mamleev, V.; Bourbigot, S.; Le, B.M. Modelling of nonisothermal kinetics in thermogravimetry. Phys. Chem. Chem. Phys. 2000, 2, 4708–4716. [Google Scholar] [CrossRef]
- Khawam, A.; Flanagan, D.R. Solid-State Kinetic Models: Basics and Mathematical Fundamentals. J. Phys. Chem. B 2006, 37, 17315–17328. [Google Scholar] [CrossRef]
- Tanaka, H. Thermal analysis and kinetics of solid state reactions. Thermochim. Acta 1995, 267, 29–44. [Google Scholar] [CrossRef]
- Koga, N.; Malek, J.; Sestak, J. Data treatment in nonisothermal kinetics and diagnostic limits of phenomenological models. Netsu Sokutei 1993, 20, 210–223. [Google Scholar]
- Koga, N.; Tanaka, H. Accommodation of the actual solid-state process in the kinetic model function. J. Therm. Anal. Calorim. 1994, 41, 455–469. [Google Scholar] [CrossRef]
- Ortega, A. Some successes and failures of the methods based on several experiments. Thermochim. Acta 1996, 284, 379–387. [Google Scholar] [CrossRef]
- Šesták, J.; Berggren, G. Study of the kinetics of the mechanism of solid-state reactions at increasing temperatures. Thermochim. Acta 1971, 3, 1–12. [Google Scholar] [CrossRef]
- Chang, W.L. Decomposition behavior of polyurethanes via mathematical simulation. J. Appl. Polym. Sci. 1994, 53, 1759–1769. [Google Scholar] [CrossRef]
- Caballero, J.; Conesa, J. Mathematical considerations for nonisothermal kinetics in thermal decomposition. J. Therm. Anal. Calorim. 2005, 73, 85–100. [Google Scholar]
- Doyle, C.D. Estimating Isothermal Life from Thermogravimetric Data. J. Appl. Polym. Sci. 1962, 6, 639–642. [Google Scholar] [CrossRef]
- Starink, M.J. A new method for the derivation of activation energies from experiments performed at constant heating rate. Thermochim. Acta 1996, 288, 97–104. [Google Scholar] [CrossRef]
- Starink, M.J. The Determination of Activation Energy from Linear Heating Rate Experiments: A Comparison of the Accuracy of Isoconversion Methods. Thermochim. Acta 2003, 404, 163–176. [Google Scholar] [CrossRef]
- Madhusudanan, P.M.; Krishnan, K.; Ninan, K.N. New approximation for the p(x) function in the evaluation of non-isothermal kinetic data. Thermochim. Acta 1986, 97, 189–201. [Google Scholar] [CrossRef]
- Madhusudanan, P.M.; Krishnan, K.; Ninan, K.N. New equations for kinetic analysis of non-isothermal reactions. Thermochim. Acta 1993, 221, 13–21. [Google Scholar] [CrossRef]
- Ozawa, T. A new method of analyzing thermogravimetric data. B. Chem. Soc. Jpn. 1965, 38, 1881–1886. [Google Scholar] [CrossRef]
- Flynn, J.H.; Wall, L.A. A quick, direct method for the determination of activation energy from thermograv–imetric data. J. Polym. Sci. B Polym. Lett. 1966, 4, 323–328. [Google Scholar] [CrossRef]
- Hao, Y.; Huang, Z.; Ye, Q.Q. A comparison study on non-isothermal decomposition kinetics of chitosan with different analysis methods. J. Therm. Anal. Calorim. 2016, 128, 1077–1091. [Google Scholar] [CrossRef]
- Barral, L.; Díez, F.J.; García-Garabal, S. Thermodegradation kinetics of a hybrid inorganic–organic epoxy system. Eur. Polym. J. 2005, 41, 1662–1666. [Google Scholar] [CrossRef]
- Preetha, P.; Thomas, M.J. Life estimation of electrothermally stressed epoxy nanocomposites. IEEE Trans. Electr. Insul. 2014, 21, 1154–1160. [Google Scholar] [CrossRef]
- Zhuang, Q.; Morshuis, P.H.F.; Chen, X. Life prediction for epoxy resin insulated transformer windings through accelerated aging tests. In Proceedings of the 10th IEEE International Conference on Solid Dielectrics, Potsdam, Germany, 4–9 July 2010. [Google Scholar]
- Stutz, H. Lifetime assessment of epoxies by the kinetics of thermal degradation. J. Appl. Polym. Sci. 2004, 91, 1881–1886. [Google Scholar] [CrossRef]








| No | Model | Differential Form
f (α) = 1/k dα/dt | Integral Form G (α) = kt |
|---|---|---|---|
| Nucleation models | |||
| 1 | Avrami-Erofeev, m = 4 (S shape) | 4(1 − α)(−ln(1 − α))3/4 | (−ln(1 − α))1/4 |
| 2 | Avrami-Erofeev, m = 3 (S shape) | 3(1 − α)(−ln(1 − α))2/3 | (−ln(1 − α))1/3 |
| 3 | Avrami-Erofeev, m = 2 (S shape) | 2(1 − α)(−ln(1 − α))1/2 | (−ln(1 − α))1/2 |
| 4 | Avrami-Erofeev, m = 1.5 (S shape) | 3/2(1 − α)(−ln(1 − α))1/3 | (−ln(1 − α))2/3 |
| 5 | Power law, n = 1/4 (Acceleration model) | 4α3/4 | α1/4 |
| 6 | Power law, n = 1/3 (Acceleration model) | 3α2/3 | α1/3 |
| 7 | Power law, n = 1/2 (Acceleration model) | 2α1/2 | α1/2 |
| 8 | Power law, n = 3/2 (Acceleration model) | 2/3α−1/2 | α3/2 |
| Geometrical contraction models | |||
| 9 | Phase boundary, n = 2 (Deceleration model) | 2 (1 − α)1/2 | 1 − (1 − α)1/2 |
| 10 | Phase boundary, n = 3 (Deceleration model) | (1 − α)2/3 | 1 − (1 − α)1/3 |
| Diffusion models | |||
| 11 | One-dimensional diffusion (Deceleration model) | α−1 | 1/2α2 |
| 12 | Two-dimensional diffusion (Deceleration model) | 2(1 − α)1/2(1 − (1 − α)1/2)1/2 | 1/2(1 − (1 − α)1/2)1/2 |
| 13 | Three-dimensional diffusion (Deceleration model) | 3/2((1 − α)1/2 − 1)−1 | 1−2/3α − (1− α)1/2 |
| 14 | Jader’s type diffusion (Deceleration model) | 3/2(1 − α)2/3((1 − α)1/3 − 1)−1 | (1 − (1 − α)1/3)2 |
| Reaction-order models | |||
| 15 | Phase boundary, n = 1 (Linear model) | 1 | α |
| 16 | 1st order(Deceleration model) | 1 − α | −ln(1 − α) |
| 17 | 2nd order (Deceleration model) | (1 − α)2 | (1 − α)−1 − 1 |
| 18 | 3rd order (Deceleration model) | (1 − α)3 | 1/2((1 − α)−2 − 1) |
| Approximate Name | Expression |
|---|---|
| Doyle | |
| Starink | (I) (II) |
| MKN | (I) (II) (III) |
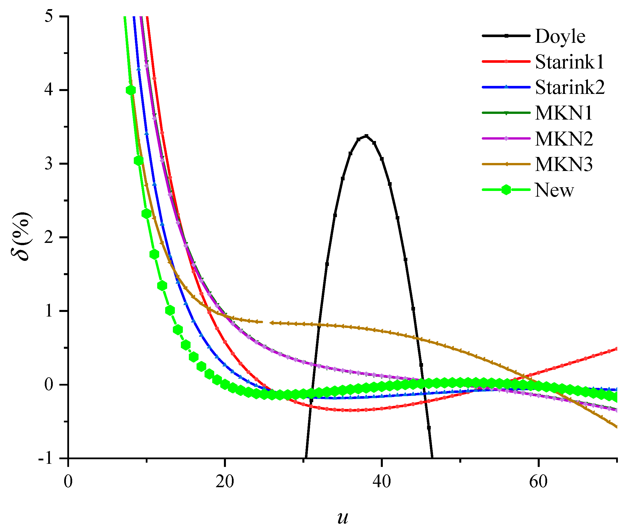
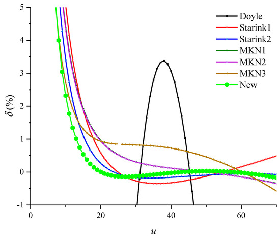
| Approximate Name | Typical Percentage Deviation/% | ||
|---|---|---|---|
| δ < 0.1 | δ < 0.5 | δ < 1.0 | |
| Doyle | — | u = 31,45 | 31 ≤ u ≤ 32, 45 ≤ u ≤46 |
| Starink 1 | 24 ≤ u ≤ 26,52 ≤ u ≤ 58 | 21 ≤ u ≤ 66 | ≥18 |
| Starink 2 | ≥49 | ≥19 | ≥16 |
| MKN l | 42 ≤ u ≤ 57 | ≥22 | ≥20 |
| MKN 2 | 42 ≤ u ≤ 56 | ≥26 | ≥20 |
| MKN 3 | 59 ≤ u ≤ 62 | 49 ≤ u ≤ 68 | ≥19 |
| New | 19 ≤ u ≤ 66 | ≥16 | ≥14 |
| T/℃ | kT | Service Life/Year |
|---|---|---|
| 50 | 9.34 × 10−13 | 9819.88 |
| 60 | 3.88 × 10−12 | 2366.80 |
| 70 | 1.49 × 10−11 | 619.47 |
| 80 | 5.25 × 10−11 | 174.85 |
| 90 | 1.73 × 10−10 | 52.80 |
| 100 | 5.38 × 10−10 | 17.05 |
| 105 | 9.26 × 10−10 | 9.90 |
| 110 | 1.57 × 10−9 | 5.83 |
| 120 | 4.36 × 10−9 | 2.11 |
Publisher’s Note: MDPI stays neutral with regard to jurisdictional claims in published maps and institutional affiliations. |
© 2021 by the authors. Licensee MDPI, Basel, Switzerland. This article is an open access article distributed under the terms and conditions of the Creative Commons Attribution (CC BY) license (http://creativecommons.org/licenses/by/4.0/).
Share and Cite
Ren, P.; Li, Q.; Liu, H.; Li, Y.; Peng, P.; Xue, N. Thermal Decomposition Mechanism of GIS Basin Insulator and Kinetic Parameters-Based Lifetime Prediction Methodology. Polymers 2021, 13, 653. https://doi.org/10.3390/polym13040653
Ren P, Li Q, Liu H, Li Y, Peng P, Xue N. Thermal Decomposition Mechanism of GIS Basin Insulator and Kinetic Parameters-Based Lifetime Prediction Methodology. Polymers. 2021; 13(4):653. https://doi.org/10.3390/polym13040653
Chicago/Turabian StyleRen, Peng, Qingmin Li, Honglei Liu, Yunpeng Li, Peng Peng, and Naifan Xue. 2021. "Thermal Decomposition Mechanism of GIS Basin Insulator and Kinetic Parameters-Based Lifetime Prediction Methodology" Polymers 13, no. 4: 653. https://doi.org/10.3390/polym13040653
APA StyleRen, P., Li, Q., Liu, H., Li, Y., Peng, P., & Xue, N. (2021). Thermal Decomposition Mechanism of GIS Basin Insulator and Kinetic Parameters-Based Lifetime Prediction Methodology. Polymers, 13(4), 653. https://doi.org/10.3390/polym13040653
