Mechanism Identification and Kinetics Analysis of Thermal Degradation for Carbon Fiber/Epoxy Resin
Abstract
1. Introduction
2. Materials and Methods
3. Results and Discussion
3.1. Thermal Degradation
3.2. Kinetic Model
3.2.1. Kissinger Method
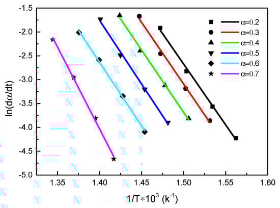
3.2.2. Friedman Method
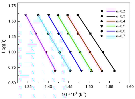
3.2.3. Ozawa Method
3.2.4. Coats–Redfern Method
3.3. Gas Phase Analysis
3.3.1. FTIR Analysis
3.3.2. MS Analysis
3.3.3. Effect of the Heating Rate on Gas Phase Products
4. Conclusions
Author Contributions
Funding
Institutional Review Board Statement
Informed Consent Statement
Data Availability Statement
Conflicts of Interest
References
- Al-Rubaye, M.; Manalo, A.; Alajarmeh, O.; Ferdous, W.; Lokuge, W.; Benmokrane, B.; Edoo, A. Flexural behaviour of concrete slabs reinforced with GFRP bars and hollow composite reinforcing systems. Compos. Struct. 2020, 236, 111836. [Google Scholar] [CrossRef]
- Mohammed, A.A.; Manalo, A.C.; Ferdous, W.; Zhuge, Y.; Vijay, P.V.; Pettigrew, J. Experimental and numerical evaluations on the behaviour of structures repaired using prefabricated FRP composites jacket. Eng. Struct. 2020, 210, 110358. [Google Scholar] [CrossRef]
- Composite Aircraft Structure; FAA AC 20-107B; Federal Aviation Administration: Washington, DC, USA, 2010.
- Stoliarov, S.I.; Crowley, S.; Walters, R.N.; Lyon, R.E. Prediction of the burning rates of charring polymers. Combust. Flame 2010, 157, 2024–2034. [Google Scholar] [CrossRef]
- Linteris, G.T.; Lyon, R.E.; Stoliarov, S.I. Prediction of the gasification rate of thermoplastic polymers in fire-like environments. Fire Saf. J. 2013, 60, 14–24. [Google Scholar] [CrossRef]
- Stoliarov, S.I.; Leventon, I.T.; Lyon, R.E. Two-dimensional model of burning for pyrolyzable solids. Fire Mater. 2014, 38, 391–408. [Google Scholar] [CrossRef]
- Mckinnon, M.B.; Ding, Y.; Stoliarov, S.I.; Crowley, S.; Lyon, R.E. Pyrolysis model for a carbon fiber/epoxy structural aerospace composite. J. Fire Sci. 2016, 35, 36–61. [Google Scholar] [CrossRef]
- Mouritz, A.P. Review of Smoke Toxicity of Fiber-Polymer Composites Used in Aircraft. J. Aircr. 2009, 46, 737–745. [Google Scholar] [CrossRef]
- Speitel, L.C. Toxicity Assessment of Combustion Gases and Development of a Survival Model; DOT/FAA/AR-95/5; Federal Aviation Administration: Washington, DC, USA, 1995. [Google Scholar]
- Speitel, L.C. Fractional effective dose model for post-crash aircraft survivability. Toxicology 1996, 115, 167–177. [Google Scholar] [CrossRef]
- Tranchard, P.; Samyn, F.; Duquesne, S.; Estèbe, B.; Bourbigot, S. Modelling Behaviour of a Carbon Epoxy Composite Exposed to Fire: Part II—Comparison with Experimental Results. Materials 2017, 10, 470. [Google Scholar] [CrossRef]
- Li, H.; Wang, N.; Han, X.; Fan, B.; Feng, Z.; Guo, S. Simulation of thermal behavior of glass fiber/phenolic composites exposed to heat flux on one side. Materials 2020, 13, 421. [Google Scholar] [CrossRef] [PubMed]
- Li, H.; Fan, B.; Wang, N.; Han, X.; Feng, Z.; Guo, S. Thermal response study of carbon epoxy laminates exposed to fire. Polym. Compos. 2020, 41, 4757–4770. [Google Scholar] [CrossRef]
- Quintiere, J.G.; Walters, R.N.; Crowley, S. Flammability Properties of Aircraft Carbon-Fiber Structural Composite; DOT/FAA/AR-07/57; Federal Aviation Administration: Washington, DC, USA, 2007. [Google Scholar]
- Tranchard, P.; Samyn, F.; Duquesne, S.; Estèbe, B.; Bourbigot, S. Modelling Behaviour of a Carbon Epoxy Composite Exposed to Fire: Part I—Characterisation of Thermophysical Properties. Materials 2017, 10, 494. [Google Scholar] [CrossRef] [PubMed]
- Tranchard, P.; Duquesne, S.; Samyn, F.; Estèbe, B.; Bourbigot, S. Kinetic analysis of the thermal decomposition of a carbon fibre-reinforced epoxy resin laminate. J. Anal. Appl. Pyrolysis 2017, 126, 14–21. [Google Scholar] [CrossRef]
- Brown, M.E.; Maciejewski, M.; Vyazovkin, S.; Nomen, R.; Sempere, J.; Burnham, A.; Opfermann, J.; Strey, R.; Anderson, H.L.; Kemmler, A.; et al. Computational aspects of kinetic analysis: Part a: The ictac kinetics project-data, methods and results. Thermochim. Acta 2000, 355, 125–143. [Google Scholar] [CrossRef]
- Coats, A.W.; Redfern, J.P. Kinetic parameters from thermogravimetric data. Nature 1964, 201, 68–69. [Google Scholar] [CrossRef]
- Simon, P. The isoconversional method for determination of energy of activation at constant heating rates. J. Anal 1983, 27, 95–102. [Google Scholar]
- Friedman, H.L. Kinetics of thermal degradation of char-forming plastics from thermogravimetry: Application to a phenolic plastic. J. Polym. Sci. Part C Polym. Symp. 1964, 6, 183–195. [Google Scholar] [CrossRef]
- Opfermann, J.; Kaisersberger, E. An advantageous variant of the ozawa-flynn-wall analysis. Thermochim. Acta 1992, 203, 167–175. [Google Scholar] [CrossRef]
- Ozawa, T. A new method of analyzing thermogravimetric data. Bull. Chem. Soc. Jpn. 1965, 38, 1881–1886. [Google Scholar] [CrossRef]
- Šesták, J.; Berggren, G. Study of the kinetics of the mechanism of solid-state reactions at increasing temperatures. Thermochim. Acta 1971, 3, 1–12. [Google Scholar] [CrossRef]
- Burns, L.A.; Feih, S.; Mouritz, P.A. Fire-under-load Testing of Carbon Epoxy Composites. In Proceedings of the 47th AIAA Aerospace Sciences Meeting Including the New Horizons Forum and Aerospace Exposition, Orlando, FL, USA, 5–8 January 2009. [Google Scholar]
- Chippendale, R.D. Modelling of the Thermal Chemical Damage Caused to Carbon Fibre Composites. Ph.D. Thesis, University of Southampton, Southampton, UK, 2013. [Google Scholar]
- Deng, J.; Xu, L.; Liu, J.; Peng, J.; Han, Z.; Shen, Z.; Guo, S. Efficient method of recycling carbon fiber from the waste of carbon fiber reinforced polymer composites. Polym. Degrad. Stab. 2020, 182, 109419. [Google Scholar] [CrossRef]
- Wang, B.; Wang, X.; Xu, N.; Shen, Y.; Lu, F.; Liu, Y.; Huang, Y.; Hu, Z. Recycling of carbon fibers from unsaturated polyester composites via a hydrolysis-oxidation synergistic catalytic strategy. Compos. Sci. Technol. 2021, 203, 108589. [Google Scholar] [CrossRef]
- Ahamad, T.; Alshehri, S.M. Thermal degradation and evolved gas analysis: A polymeric blend of urea formaldehyde (UF) and epoxy (DGEBA) resin. Arab. J. Chem. 2013, 7, 1140–1147. [Google Scholar] [CrossRef]
- Li, G.; Wu, F. Flame-Retardant Mechanism of Epoxy Resin Treated with Amino Resinous Intumescent Flame Retardant. Plast. Sci. Technol. 2010, 15–18. [Google Scholar]
- Liu, Y.; Du, Z.; Zhang, C.; Li, H. Curing Reaction and Thermal Degradation of Bisphenol A Type Novolac Epoxy Resin with 4, 4′-Diaminodiphenyl Ether. Chin. J. Appl. Chem. 2007, 3, 256–260. [Google Scholar]
- Huang, N.; Liu, L.; Wang, X. Pyrolysis and Kinetics of Phenolic Resin by TG-MS Analysis. Aerosp. Mater. Technol. 2012, 2, 109–112. [Google Scholar]
- Thomas, A.; Moinuddin, K.; Tretsiakova-Mcnally, S.; Joseph, P. A Kinetic Analysis of the Thermal Degradation Behaviours of Some Bio-Based Substrates. Polymers 2020, 12, 1830. [Google Scholar] [CrossRef]
- Balart, R.; Garcia-Sanoguera, D.; Quiles-Carrillo, L.; Montanes, N.; Torres-Giner, S. Kinetic Analysis of the Thermal Degradation of Recycled Acrylonitrile-Butadiene-Styrene by non-Isothermal Thermogravimetry. Polymers 2019, 11, 281. [Google Scholar] [CrossRef]
- Franco-Urquiza, E.A.; May-Crespo, J.F.; Escalante Velázquez, C.A.; Mora, R.P.; González García, P. Thermal Degradation Kinetics of ZnO/polyester Nanocomposites. Polymers 2020, 12, 1753. [Google Scholar] [CrossRef] [PubMed]
- Krawiec, P.; Wargula, L.; Małoziec, D.; Kaczmarzyk, P.; Dziechciarz, A.; Czarnecka-Komorowska, D. The Toxicological Testing and Thermal Decomposition of Drive and Transport Belts Made of Thermoplastic Multilayer Polymer Materials. Polymers 2020, 12, 2232. [Google Scholar] [CrossRef] [PubMed]
- Zhang, X.; Huang, R. Thermal Decomposition Kinetics of Basalt Fiber-Reinforced Wood Polymer Composites. Polymers 2020, 12, 2283. [Google Scholar] [CrossRef]
- GB/T 19267.12-2008. Physical and Chemical Examination of Trace Evidence in Forensic Sciences—Part 12: Thermoanalysis; China National Standardization Administration: Beijing, China, 14 August 2008. [Google Scholar]
- ASTM E2550-17. Standard Test Method for Thermal Stability by Thermogravimetry; ASTM International: West Conshohocken, PA, USA, 2017. [Google Scholar]
- GB/T 19267.1-2008. Physical and Chemical Examination of Trace Evidence in Forensic Sciences—Part 1: Infrared Absorption Spectrometry; China National Standardization Administration: Beijing, China, 14 August 2008. [Google Scholar]
- GB/T 19267.7-2008. Physical and Chemical Examination of Trace Evidence in Forensic Sciences—Part 7: Gas Chromatography/Mass Spectrometry; China National Standardization Administration: Beijing, China, 14 August 2008. [Google Scholar]
- Marker, T.R.; Speitel, L.C. Development of a Laboratory-Scale Test for Evaluating the Decomposition Products Generated Inside an Intact Fuselage during a Simulated Postcrash Fuel Fire; DOT/FAA/AR-TN07/15; Federal Aviation Administration: Washington, DC, USA, 2008. [Google Scholar]
- Shao, J.; Yan, R.; Chen, H.; Wang, B.; Lee, D.; Liang, D. Pyrolysis Characteristics and Kinetics of Sewage Sludge by Thermogravimetry Fourier Transform Infrared Analysis. Energy Fuels 2008, 2, 38–45. [Google Scholar] [CrossRef]
- Ding, H.; Zhang, J.; Cai, P. Thermal Degradation of DGEBA/EDA Epoxy Resin. Polym. Mater. Sci. Eng. 2011, 27, 83–85. [Google Scholar]
- Yang, X.; Chen, R. Study on curing kinetics of bisphenol a epoxy resin by pyrolysis gas chromatography (I)—Determination of epoxy value. China Adhes. 1987, 3, 24–25. [Google Scholar]
- Feih, S.; Mouritz, A.P. Tensile properties of carbon fibres and carbon fibre–polymer composites in fire. Compos. Part A 2012, 43, 765–772. [Google Scholar] [CrossRef]
- Xu, Y.; Yang, Y.; Zhang, Y.; Wang, Z. Pyrolysis characteristics of unidirectional carbon fiber/epoxy prepreg. Acta Mater. Compos. Sin. 2018, 35, 2442–2448. [Google Scholar]
- Kissinger, H.E. Reaction Kinetics in Differential Thermal Analysis. Anal. Chem. 1957, 29, 1702–1706. [Google Scholar] [CrossRef]
- Bai, Y. Material and Structural Performance of Fiber-Reinforced Polymer Composites at Elevated and High Temperatures. Ph.D. Thesis, School of Architecture, Civil and Environmental Engineering, Lausanne, Switzerland, 2009. [Google Scholar]
- Lee, J.Y.; Shim, M.J.; Kim, S.W. Thermal decomposition kinetics of an epoxy resin with rubber-modified curing agent. J. Appl. Polym. Sci. 2001, 81, 479–485. [Google Scholar] [CrossRef]













| Method | /min‒1 | ||
|---|---|---|---|
| Kissinger | 264.671 | 3.088 × 1024 | |
| 216.508 | 3.14 × 1013 | ||
| Friedman | 0.2 | 211.957 | 1.343 × 1014 |
| 0.3 | 215.000 | ||
| 0.4 | 217.153 | ||
| 0.5 | 222.009 | ||
| 0.6 | 221.851 | ||
| 0.7 | 285.503 | ||
| Ozawa | 0.2 | 181.670 | 1.775 × 1014 |
| 0.3 | 194.279 | 9.12 × 1014 | |
| 0.4 | 198.611 | 5.1 × 1014 | |
| 0.5 | 202.817 | 2.89 × 1014 | |
| 0.6 | 208.223 | 1.56 × 1014 | |
| 0.7 | 225.263 | 7.54 × 1013 |
| Reactions | Step 1 | Step 2 | |||
|---|---|---|---|---|---|
| Atmosphere | Ar | Air | Ar | Air | |
| Activation energy | EA/(kJ·mol−1) | 264.671 | 301.884 | 216.508 | 313.307 |
| Pre-exponential factor | A/min−1 | 3.088 × 1024 | 1.96 × 1028 | 3.14 × 1013 | 1.75 × 1021 |
| Order | n | 0.94 | 0.93 | 0.96 | 0.945 |
| Mechanism | Reaction Mechanism | |
|---|---|---|
| F1 | One-dimensional random nuclear reaction | |
| F2 | Two-dimensional random nucleation reaction | |
| F3 | Three-dimensional random nuclear reaction | |
| Fn | nth order | |
| A2 | Avrami random nucleation n = 2 | |
| A3 | Avrami random nucleation n = 3 | |
| A4 | Avrami random nucleation n = 4 | |
| R2 | Phase boundary reaction, cylindrical symmetry | |
| R3 | Phase boundary reaction, spherical symmetry | |
| D1 | One-dimensional diffusion | |
| D2 | Two-dimensional diffusion, cylindrical symmetry, (Valensi equation) | |
| D3 | Three-dimensional diffusion, spherical symmetry Jander equation | |
| D4 | Three-dimensional diffusion, spherical symmetry, Ginstling–Brounshtein equation |
| Activation Energy (kJ/mol) | β = 5 °C/min | β = 10 °C/min | β = 20 °C/min | β = 40 °C/min | R |
|---|---|---|---|---|---|
| F1 | 85.9009 | 90.2059 | 93.7321 | 97.1478 | −0.98982 |
| F2 | 46.0787 | 48.1592 | 50.0159 | 52.5525 | −0.98913 |
| F3 | 103.327 | 107.678 | 111.615 | 116.918 | −0.99107 |
| F4 | 199.137 | 207.792 | 215.374 | 224.461 | −0.99922 |
| A2 | 37.3654 | 39.4233 | 41.0745 | 42.6674 | −0.98643 |
| A3 | 21.1869 | 22.4958 | 23.52189 | 24.5073 | −0.98121 |
| A4 | 13.0976 | 14.0320 | 14.7456 | 15.4273 | −0.97261 |
| R2 | 72.4191 | 76.1849 | 79.2192 | 81.9901 | −0.98259 |
| R3 | 76.7291 | 80.6684 | 83.8604 | 86.8359 | −0.98531 |
| D1 | 132.311 | 139.064 | 144.484 | 149.150 | −0.97677 |
| D2 | 147.134 | 154.499 | 160.467 | 165.816 | −0.98217 |
| D3 | 164.628 | 172.696 | 179.304 | 185.485 | −0.98728 |
| D4 | 152.932 | 160.530 | 166.711 | 172.335 | −0.98407 |
Publisher’s Note: MDPI stays neutral with regard to jurisdictional claims in published maps and institutional affiliations. |
© 2021 by the authors. Licensee MDPI, Basel, Switzerland. This article is an open access article distributed under the terms and conditions of the Creative Commons Attribution (CC BY) license (http://creativecommons.org/licenses/by/4.0/).
Share and Cite
Li, H.; Wang, N.; Han, X.; Yuan, H.; Xie, J. Mechanism Identification and Kinetics Analysis of Thermal Degradation for Carbon Fiber/Epoxy Resin. Polymers 2021, 13, 569. https://doi.org/10.3390/polym13040569
Li H, Wang N, Han X, Yuan H, Xie J. Mechanism Identification and Kinetics Analysis of Thermal Degradation for Carbon Fiber/Epoxy Resin. Polymers. 2021; 13(4):569. https://doi.org/10.3390/polym13040569
Chicago/Turabian StyleLi, Han, Nasidan Wang, Xuefei Han, Haoran Yuan, and Jiang Xie. 2021. "Mechanism Identification and Kinetics Analysis of Thermal Degradation for Carbon Fiber/Epoxy Resin" Polymers 13, no. 4: 569. https://doi.org/10.3390/polym13040569
APA StyleLi, H., Wang, N., Han, X., Yuan, H., & Xie, J. (2021). Mechanism Identification and Kinetics Analysis of Thermal Degradation for Carbon Fiber/Epoxy Resin. Polymers, 13(4), 569. https://doi.org/10.3390/polym13040569
