Biodegradable Poly(butylene adipate-co-terephthalate) Antibacterial Nanocomposites Reinforced with MgO Nanoparticles
Abstract
1. Introduction
2. Materials and Methods
2.1. Materials
2.2. Preparation of MgO@CTAB
2.3. Preparation of PBAT/MgO@CTAB Nanocomposites
2.4. Characterization
2.5. Antibacterial Properties
3. Results and Discussions
4. Conclusions
Author Contributions
Funding
Institutional Review Board Statement
Informed Consent Statement
Data Availability Statement
Conflicts of Interest
References
- Herrera, R.; Franco, L.; Rodriguez-Galan, A.; Puiggali, J. Characterization and degradation behavior of poly(butylene adipate-co-terephthalate)s. J. Polym. Sci. Part. A Polym. Chem. 2002, 40, 4141–4157. [Google Scholar] [CrossRef]
- Jiang, L.; Wolcott, M.P.; Zhang, J.W. Study of biodegradable polyactide/poly(butylene adipate-co-terephthalate) blends. Biomacromolecules 2006, 7, 199–207. [Google Scholar] [CrossRef]
- Shankar, S.; Rhim, J.W. Preparation of antibacterial poly(lactide)/poly(butylene adipate-co-terephthalate) composite films incorporated with grapefruit seed extract. Int. J. Biol. Macromol. 2018, 120, 846–852. [Google Scholar] [CrossRef]
- Liu, Y.T.; Yuan, Y.; Duan, S.Q.; Li, C.; Hu, B.; Liu, A.P.; Wu, D.T.; Cui, H.Y.; Lin, L.; He, J.L.; et al. Preparation and characterization of chitosan films with three kinds of molecular weight for food packaging. Int. J. Biol. Macromol. 2020, 155, 249–259. [Google Scholar] [CrossRef] [PubMed]
- Wu, W.; Liu, T.; He, H.B.; Wu, X.H.; Cao, X.W.; Jin, J.; Sun, Q.J.; Roy, V.A.L.; Li, R.K.Y. Rhelogical and antibacterial performance of sodium alginate/zinc oxide composite coating for cellulosic paper. Colloids Surf. B 2018, 167, 538–543. [Google Scholar] [CrossRef] [PubMed]
- Spiridon, I.; Anghel, N.C.; Darie-Nita, R.N.; Iwanczuk, A.; Ursu, R.G.; Spiridon, I.A. New composites based on starch/Ecoflex (R)/biomass wastes: Mechanical thermal, morphological and antimicrobial properties. Int. J. Biol. Macromol. 2020, 156, 1435–1444. [Google Scholar] [CrossRef]
- Shankar, S.; Rhim, J.W. Effect of types of zinc oxide nanoparticles on structural, mechanical and antibacterial properties of poly(lactide)/poly(butylene adipate-co-terephthalate) composite films. Food Packag. Shelf. 2019, 21, 100327. [Google Scholar] [CrossRef]
- Venkatesan, R.; Rajeswari, N.; Tamilselvi, A. Antimicrobial, mechanical, barrier, and thermal properties of bio-based poly (butylene adipate-co-terephthalate) (PBAT)/Ag2O nanocomposite films for packaging application. Polym. Advan. Technol. 2018, 29, 61–68. [Google Scholar] [CrossRef]
- Luo, S.L.; Zhang, P.; Gao, D. Preparation and properties of antimicrobial poly(butylene adipate-co-terephthalate)/TiO2 nanocomposites films. J. Macrom. Sci. B 2020, 59, 248–261. [Google Scholar] [CrossRef]
- Anicic, N.; Vukomanovic, M.; Koklic, T.; Suvorov, D. Fewer defects in the surface slows the hydrolysis rate, decreases the ROS generation potential, and improves the non-ROS antimicrobial activity of MgO. Small 2018, 14, 1800205. [Google Scholar] [CrossRef] [PubMed]
- Makhluf, S.; Dror, R.; Nitzan, Y.; Abramovich, Y.; Jelinek, R.; Gedanken, A. Microwave-assisted synthesis of nanocrystalline MgO and its use as a bacteriocide. Adv. Funct. Mater. 2005, 15, 1708–1715. [Google Scholar] [CrossRef]
- El-Shaer, A.; Abdelfatah, M.; Mahmoud, K.R.; Momay, S.; Eraky, M.R. Correlation between photoluminescence and positron annihilation lifetime spectroscopy to characterize defects in calcined MgO nanoparticles as a first step to explain antibacterial activity. J. Alloys Compd. 2020, 817, 152799. [Google Scholar] [CrossRef]
- Wang, Y.; Cen, C.; Chen, J.; Fu, L. MgO/carboxymethyl chitosan nanocomposite improves thermal stability, waterproof and antibacterial performance for food packaging. Carbohyd. Polym. 2020, 236, 116078. [Google Scholar] [CrossRef]
- Swaroop, C.; Shukla, M. Nano-magnesium oxide reinforced polylactic acid biofilms for food packaging applications. Int. J. Biol. Macromol. 2018, 113, 729–736. [Google Scholar] [CrossRef] [PubMed]
- Swaroop, C.; Shukla, M. Development of blown polylactic acid-MgO nanocomposite films for food packaging. Compos. Part A Appl. S. 2019, 124, 105482. [Google Scholar] [CrossRef]
- Muhammad, S.; Siddiq, M.; Niazi, J.H.; Qureshi, A. Role of quaternary ammonium compound immobilized metallic graphene oxide in PMMA/PEG membrane for antibacterial, antifouling and selective gas permeability properties. Polym. Bull. 2018, 75, 5695–5712. [Google Scholar] [CrossRef]
- Chang, Z.M.; Wang, Z.; Lu, M.M.; Shao, D.; Yue, J.; Yang, D.; Li, M.Q.; Dong, W.F. Janus silver mesoporous silica nanobullets with synergistic antibacterial functions. Colloids Surf. B 2017, 157, 199–206. [Google Scholar] [CrossRef]
- Sasikumar, M.; Ganeshkumar, A.; Chandraprabha, M.N.; Rajaram, R.; Krishna, R.H.; Ananth, N.; Sivakumar, P. Investigation of antimicrobial activity of CTAB assisted hydrothermally derived nano BaTiO3. Mater. Res. Express. 2019, 6, 025408. [Google Scholar] [CrossRef]
- Bhattacharya, P.; Swain, S.; Giri, L.; Neogi, S. Fabrication of magnesium oxide nanoparticles by solvent alteration and their bactericidal applications. J. Mater. Chem. B 2019, 7, 4141–4152. [Google Scholar] [CrossRef]
- Venkatesan, R.; Rajeswari, N. ZnO/PBAT nanocomposite films: Investigation on the mechanical and biological activity for food packaging. Polym. Advan. Technol. 2017, 28, 20–27. [Google Scholar] [CrossRef]
- Li, M.; Zhou, S.Q.; Xu, M.Y. Graphene oxide supported magnesium oxide as an efficient cathode catalyst for power generation and wastewater treatment in single chamber microbial fuel cells. Chem. Eng. J. 2017, 328, 106–116. [Google Scholar] [CrossRef]
- Li, L.X.; Xu, D.; Li, X.Q.; Liu, W.C.; Jia, Y. Excellent fluoride removal properties of porous hollow MgO microspheres. New J. Chem. 2014, 38, 5445–5452. [Google Scholar] [CrossRef]
- de Barrosa, H.R.; Piovan, L.; Sassaki, G.L.; Sabry, D.D.; Mattoso, N.; Nunes, A.M.; Meneghetti, M.R.; Riegel-Vidotti, I.C. Surface interactions of gold nanorods and polysaccharides: From clusters to individual nanoparticles. Carbohydr. Polym. 2016, 152, 479–486. [Google Scholar] [CrossRef] [PubMed]
- Wu, W.; Zhao, W.J.; Sun, Q.J.; Yu, B.; Yin, X.M.; Cao, X.W.; Feng, Y.H.; Li, R.K.Y.; Qu, J.P. Surface treatment of two dimensional MXene for poly (vinylidene fluoride) nanocomposites with tunable dielectric permittivity. Compos. Commun. 2020, 100562. [Google Scholar] [CrossRef]
- Wu, W.; Wu, C.K.; Peng, H.Y.; Sun, Q.J.; Zhou, L.; Zhuang, J.Q.; Cao, X.W.; Roy, V.A.L.; Li, R.K.Y. Effect of nitrogen-doped graphene on morphology and properties of immiscible poly(butylene succinate)/polylactide blends. Compos. Part B Eng. 2017, 113, 300–307. [Google Scholar] [CrossRef]
- Moustafa, H.; Guizani, C.; Dupont, C.; Martin, V.; Jeguirim, M.; Dufresne, A. Utilization of torrefied coffee grounds as reinforcing agent to produce high-quality biodegradable PBAT composites for food packaging applications. ACS Sustain. Chem. Eng. 2017, 5, 1906–1916. [Google Scholar] [CrossRef]
- Zhang, J.; Cao, C.L.; Zheng, S.M.; Li, W.; Li, B.B.; Xie, X.L. Poly (butylene adipate-co-terephthalate)/magnesium oxide/silver ternary composite biofilms for food packaging application. Food Packag. Shelf. 2020, 24, 100487. [Google Scholar] [CrossRef]
- Xiang, S.; Feng, L.D.; Bian, X.C.; Li, G.; Chen, X.S. Evaluation of PLA content in PLA/PBAT blends using TGA. Polym. Test. 2020, 81, 106211. [Google Scholar] [CrossRef]
- Fourati, Y.; Tarres, Q.; Mutje, P.; Boufi, S. PBAT/thermoplastic starch blends: Effect of compatibilizers on the rheological, mechanical and morphological properties. Carbohydr. Polym. 2018, 199, 51–57. [Google Scholar] [CrossRef]
- Zhao, H.; She, W.; Shi, D.; Wu, W.; Zhang, Q.C.; Li, R.K.Y. Polyurethane/POSS nanocomposites for superior hydrophobicity and high ductility. Compos. Part B Eng. 2019, 177, 107441. [Google Scholar] [CrossRef]
- Nguyen, N.Y.T.; Grelling, N.; Wetteland, C.L.; Rosario, R.; Liu, H.N. Antimicrobial activities and mechanisms of magnesium oxide nanoparticles (nMgO) against pathogenic bacteria, yeasts, and biofilms. Sci. Rep. UK 2018, 8, 16260. [Google Scholar] [CrossRef] [PubMed]
- Baig, U.; Gondal, M.A.; Rehman, S.; Akhtar, S. Facile synthesis, characterization of nano-tungsten trioxide decorated with silver nanoparticles and their antibacterial activity against water-borne gram-negative pathogens. Appl. Nanosci. 2020, 10, 851–860. [Google Scholar] [CrossRef]
- Baig, U.; Gondal, M.A.; Ansari, M.A.; Dastageer, M.A.; Sajid, M.; Falath, W.S. Rapid synthesis and characterization of advanced ceramic-polymeric nanocomposites for efficient photocatalytic decontamination of hazardous organic pollutant under visible light and inhibition of microbial biofilm. Ceram. Int. 2020, 47, 4737–4748. [Google Scholar] [CrossRef]
- Baig, U.; Ansari, M.A.; Gondal, M.A.; Akhtar, S.; Khan, F.A.; Falath, W.S. Single step production of high-purity copper oxide-titanium dioxide nanocomposites and their effective antibacterial and anti-biofilm activity against drug-resistant bacteria. Mater. Sci. Eng. C Mater. 2020, 113, 110992. [Google Scholar] [CrossRef]









| Samples | Tc (°C) | ΔHc (J/g) | Tp (℃) | ΔHm (J/g) | χ (%) |
|---|---|---|---|---|---|
| MgO@CTAB-0 | 97.0 | 8.1 | 125.3 | 9.2 | 8.1 |
| MgO@CTAB-1 | 87.3 | 10.3 | 125.1 | 10.5 | 9.3 |
| MgO@CTAB-3 | 89.0 | 11.1 | 124.5 | 11.0 | 9.9 |
| MgO@CTAB-5 | 89.2 | 10.8 | 123.6 | 10.5 | 9.7 |
| MgO@CTAB-7 | 90.8 | 9.9 | 122.5 | 10.0 | 9.4 |
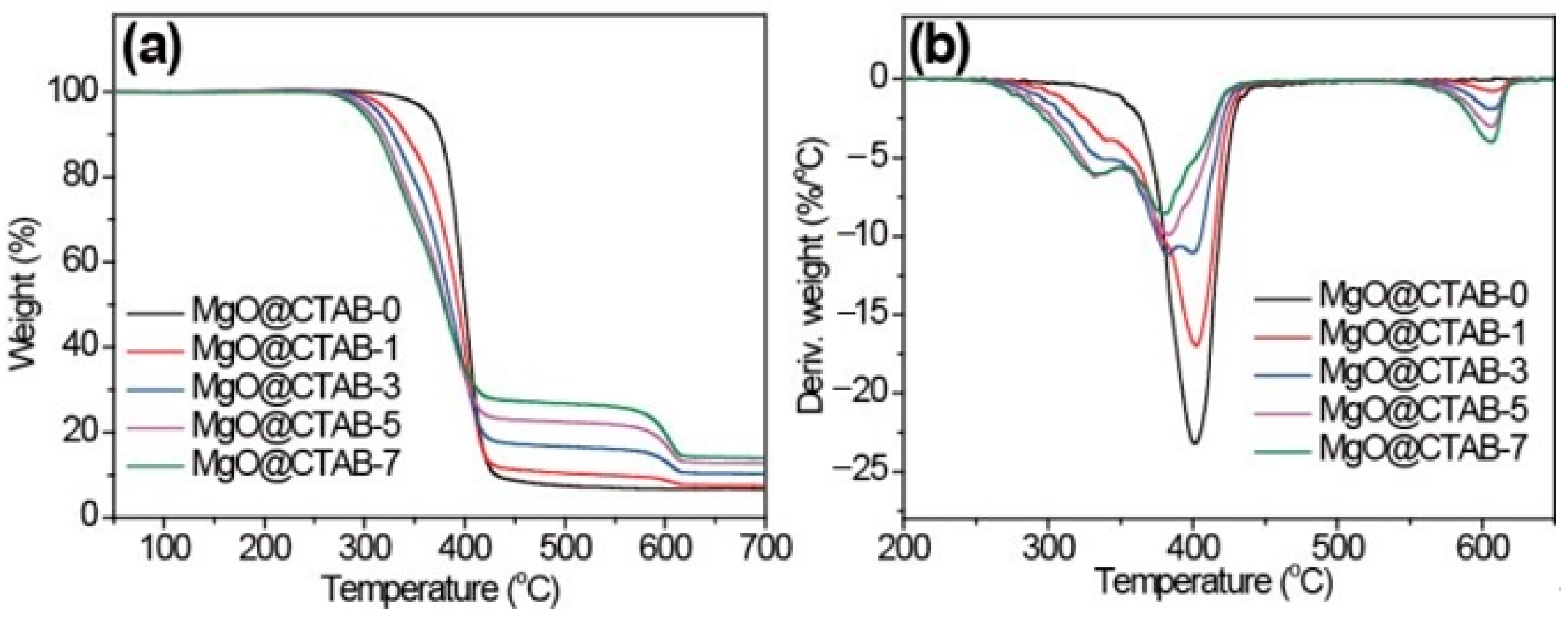
| Sample | T10 (°C) | Tp (°C) | Char Yield at 700 °C (wt%) |
|---|---|---|---|
| MgO@CTAB-0 | 375.2 | 400.7 | 6.67 |
| MgO@CTAB-1 | 340.8 | 402.3 | 7.48 |
| MgO@CTAB-3 | 328.3 | 399.9 | 10.32 |
| MgO@CTAB-5 | 319.1 | 382.9 | 12.71 |
| MgO@CTAB-7 | 313.7 | 381.2 | 14.02 |
| Sample | Tensile Stress (MPa) | Young’s Modulus (MPa) | Elongation at Break (%) |
|---|---|---|---|
| MgO@CTAB-0 | 26.66 ± 2.27 | 43.37 ± 3.85 | 1590.73 ± 169.68 |
| MgO@CTAB-1 | 27.06 ± 2.45 | 46.06 ± 2.49 | 1620.17 ± 107.53 |
| MgO@CTAB-3 | 29.90 ± 2.01 | 48.81 ± 3.15 | 1773.95 ± 111.32 |
| MgO@CTAB-5 | 25.03 ± 3.45 | 50.94 ± 2.15 | 1473.63 ± 116.27 |
| MgO@CTAB-7 | 24.14 ± 1.33 | 54.93 ± 5.24 | 1398.33 ± 85.53 |
| Sample | Bacterial Inhibition Zone (mm) | |
|---|---|---|
| S. aureus | E. coli | |
| MgO@CTAB-0 | 5 | 5 |
| MgO@CTAB-1 | 9.6 ± 0.6 | 5.9 ± 0.3 |
| MgO@CTAB-3 | 10.3 ± 0.3 | 6.8 ± 0.5 |
| MgO@CTAB-5 | 10.5 ± 0.3 | 7.1 ± 0.2 |
| MgO@CTAB-7 | 10.7 ± 0.4 | 7.3 ± 0.2 |
Publisher’s Note: MDPI stays neutral with regard to jurisdictional claims in published maps and institutional affiliations. |
© 2021 by the authors. Licensee MDPI, Basel, Switzerland. This article is an open access article distributed under the terms and conditions of the Creative Commons Attribution (CC BY) license (http://creativecommons.org/licenses/by/4.0/).
Share and Cite
Wang, X.; Cui, L.; Fan, S.; Li, X.; Liu, Y. Biodegradable Poly(butylene adipate-co-terephthalate) Antibacterial Nanocomposites Reinforced with MgO Nanoparticles. Polymers 2021, 13, 507. https://doi.org/10.3390/polym13040507
Wang X, Cui L, Fan S, Li X, Liu Y. Biodegradable Poly(butylene adipate-co-terephthalate) Antibacterial Nanocomposites Reinforced with MgO Nanoparticles. Polymers. 2021; 13(4):507. https://doi.org/10.3390/polym13040507
Chicago/Turabian StyleWang, Xionggang, Lingna Cui, Shuhong Fan, Xia Li, and Yuejun Liu. 2021. "Biodegradable Poly(butylene adipate-co-terephthalate) Antibacterial Nanocomposites Reinforced with MgO Nanoparticles" Polymers 13, no. 4: 507. https://doi.org/10.3390/polym13040507
APA StyleWang, X., Cui, L., Fan, S., Li, X., & Liu, Y. (2021). Biodegradable Poly(butylene adipate-co-terephthalate) Antibacterial Nanocomposites Reinforced with MgO Nanoparticles. Polymers, 13(4), 507. https://doi.org/10.3390/polym13040507
