From Anionic Ring-Opening Polymerization of β-Butyrolactone to Biodegradable Poly(hydroxyalkanoate)s: Our Contributions in This Field
Abstract
:1. Introduction
2. Our Contributions in This Field
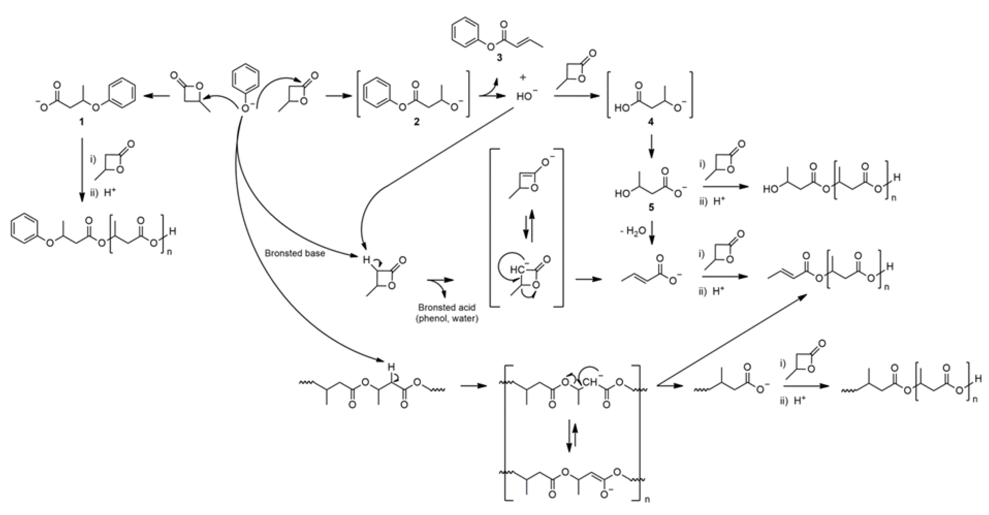
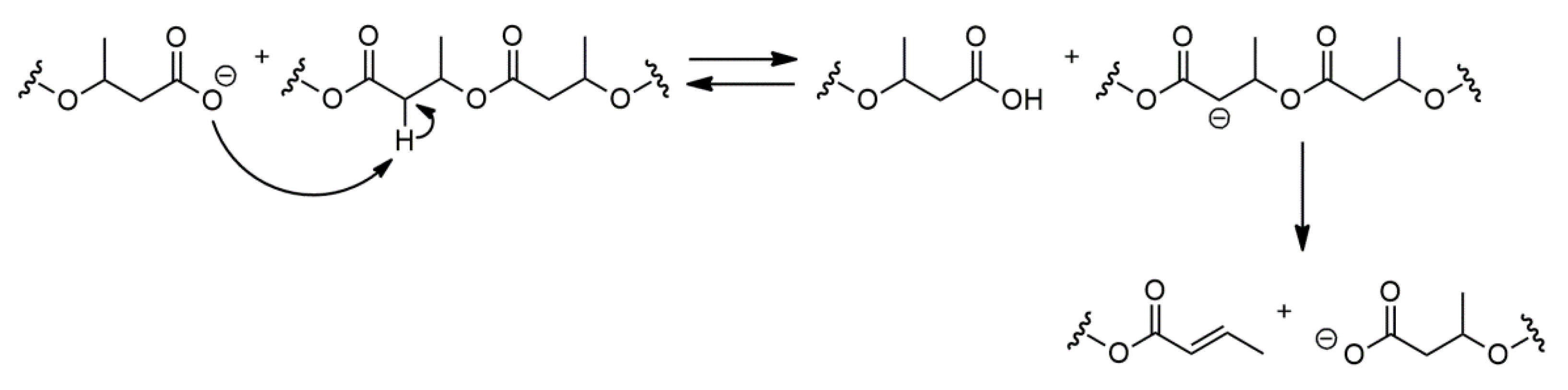
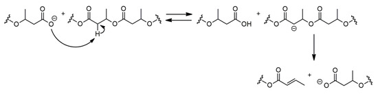
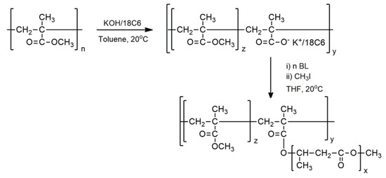
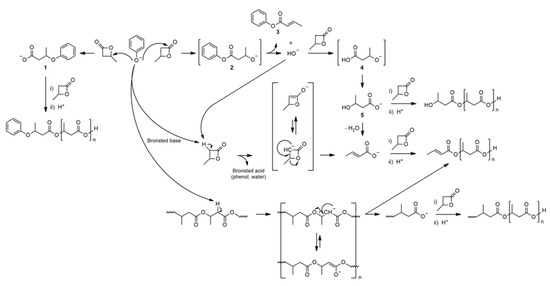
2.1. Homo- and Copolymerization of BBL with Anionic Initiators of Different Nucleophilicity
2.2. Studies on the Biodegradable Polymer Systems for Controlled Release of Bioactive Substances for Cosmetology
2.3. Studies on the Biodegradable Polymer Systems for Controlled Release of Bioactive Substances for Agriculture and Environmental Protection
- (i)
- (ii)
- homo- and (co)oligoesters containing an increased amount of bioactive substance connected to the oligomer chains as the end group and side groups along the polymer chain. The amount of pesticide molecules bonded to the chain of (co)oligoesters may be controlled by changing the composition of the β-lactone monomers used in the process of (co)oligomerization [27].
2.4. Varying Copolymer Composition Affords Copolyesters with Adjustable Properties
2.5. Stereochemistry of Anionic ROP of BBL to Poly(BBL) of Controlled Microstructure
2.6. (Bio)degradation of Synthetic Poly(BBL) and Its Blends
2.7. Natural PHAs as Precursors of Functionalized Oligomers
2.8. Synthesis of Natural PHA from Polyolefin Wastes
2.9. Mass Spectrometry Molecular Studies of PHA and Their Synthetic Analogues
3. Conclusions
4. Patents
- Kwiecień, I.; Kowalczuk, M.; Adamus, G.; Kowalski, W.J.; Rychter, P.; Siłowiecki, A. Biologically active substance with herbicidal activity and the method of its manufacturing. PL 236741 B1. Date of filing: 18 July 2013. Date of publication: 8 February 2021 WUP 03/21.
- Kowalczuk, M.; Adamus, G.; Kwiecień, I.; Maksymiak, M.; Jurczak, J.; Bałakier, T. New biodegradable (co)polyesters from beta-lactone monomers containing biologically active substances. PL 225906 B1. Date of filing: 15 September 2014. Date of publication: 30 June 2017 WUP 06/17.
- Michalak, M.; Marek, A.A.; Zawadiak, J.; Kurcok, P.; Kowalczuk, M.M. Method for the preparation of poly(3-hydroxyalkanoate) macromonomers. PL 224368 B1. Date of filing: 8 November 2011. Date of publication: 30 December 2016 WUP 12/16.
- Michalak, M.; Kurcok, P.; Kowalczuk, M.; Marek, A.A.; Zawadia, J. Functionalized polyhydroxyalkanoate macromonomers, method of their preparation and their application. PL 221 159 B1. Date of filing: 22 June 2012. Date of publication: 29 February 2016 WUP 02/16.
- Kowalczuk, M.; Adamus, G.; Maksymiak, M.; Zawadiak, J.; Kwiecień, M.; Kurcok, P. Oligomer conjugates, preferably those for providing the skin with protective substances and the method of their manufacturing. PL 219 683 B1. Date of filing: 9 February 2011. Date of publication: 30 June 2015 WUP 06/15.
- Kowalczuk, M.; Kurcok, P.; Adamus, G.; Kawalec, M.; Scandola, M.; Focarete, L.; Mazzocchetti, L. Process for controlled degradation of polyhydroxyalkanoates and products obtainable therefrom. EP 2 346 922 B1. Date of filing: 15 October 2008. Date of publication: 5 March 2014 Bulletin 2014/10.
- Kurcok, P.; Kowalczuk, M.; Kawalec, M.; Sobota, M.; Michalak, M. Method for purifying β-butyrolactone, especially for the synthesis of poly(3-hydroxybutyrate) and its copolymers. PL 216 552 B1. Date of filing: 27 January 2011. Date of publication: 30 April 2014 WUP 04/14.
- Kowalczuk, M.; Kurcok, P.; Adamus, G.; Kawalec, M.;Scandola, M.; Focarete, L.; Foltran, I. Method of controlling thermal degradation of anionically terminated polymers and materials obtained thereof. EP 1 999 189 B1. Date of filing: 20 March 2006. Date of publication: 11 November 2009 Bulletin 2009/46.
- Jedliński, Z.; Łuczyk-Juzwa, M.; Zawidlak-Węgrzyńska, B.; Kaczmarczyk B.; Bosek, I.; Wanic, A. Esters of non-steroid anti-inflammatory medicines and the methods of their preparation. EP 1679301 A1. Date of filing 30 August 2005. Date of publication: 12 July 2006 Bulletin 2006/28.
- Jedliński, Z.; Kurcok, P.; Kowalczuk, M. Method of obtaining amorphous poly([R,S]-3-hydroxy butyric acid). PL199104 B1. Date of filing: 19 April 2000. Date of publication: 29 August 2008 WUP 08/08.
- Jedliński, Z.; Kurcok, P. Method of obtaining poly([R]-3-hydroxy butyric acid), an analog of a natural polymer. Date of filing: 28 January 1998. Date of publication: 30 June 2005 WUP 06/05.
- Method of obtaining syndiotactic polybutyrolactone. PL 172 412 B1. Date of filing: 6 December 1993. Date of publication: 30 September 1997 WUP 09/97.
- Jedliński, Z.; Kurcok, P.; Kowalczuk, M. Method for the production of polyester macromonomers. PL 160092 B1. Date of filing: 15 May 1989. Date of publication: 26 February 1993 WUP 02/93.
- Jedliński, Z.; Kurcok, P.; Kowalczuk, M. Method of polyesters producing. PL 140 289. Date of filing: 12 April 1984. Date of publication: 30 February 1988.
Author Contributions
Funding
Institutional Review Board Statement
Informed Consent Statement
Data Availability Statement
Conflicts of Interest
References
- Jedliński, Z.; Kurcok, P.; Kowalczuk, M.; Kasperczyk, J. Anionic Polymerization of 4-Methyl-2-Oxetanone. Makromol. Chem. 1986, 187, 1651–1656. [Google Scholar] [CrossRef]
- Jedliński, Z.; Kowalczuk, M.; Kurcok, P. Anionic Ring Opening Polymerization by Alkali Metal Solutions. Makromol. Chem. Macromol. Symp. 1986, 3, 277–293. [Google Scholar] [CrossRef]
- Jedliński, Z.; Kowalczuk, M.; Glowkowski, W.; Grobelny, J.; Szwarc, M. Novel polymerization of β-butyrolactone initiated by potassium naphthalenide in the presence of a crown ether or a cryptand. Macromolecules 1991, 24, 349–352. [Google Scholar] [CrossRef]
- Jedliński, Z.; Kowalczuk, M.; Kurcok, P. Polymerization of β-Lactones Initiated with Potassium Naphthalenide. A Convenient Route to Telechelic Polymers. J. Macromol. Sci. Pure Appl. Chem. 1992, A29, 1223–1230. [Google Scholar] [CrossRef]
- Kurcok, P.; Matuszowicz, A.; Jedliński, Z. Anionic Polymerization of β-Lactones Initiated with Potassium Hydride. A Convenient Route to Polyester Macromonomers. Macromol. Rapid Commun. 1995, 16, 201–206. [Google Scholar] [CrossRef]
- Jedliński, Z.; Kowalczuk, M.; Kurcok, P. What is the Real Mechanism of Anionic Polymerization of β-Lactones by Potassium Alkoxides? A Critical Approach. Macromolecules 1991, 24, 1218–1219. [Google Scholar] [CrossRef]
- Kurcok, P.; Kowalczuk, M.; Hennek, K.; Jedliński, Z. Anionic Polymerization of β-Lactones Initiated with Alkali-Metal Alkoxides: Reinvestigation of the Polymerization Mechanism. Macromolecules 1992, 25, 2017–2020. [Google Scholar] [CrossRef]
- Kurcok, P.; Jedliński, Z.; Kowalczuk, M. Reactions of β-Lactones with Potassium Alkoxides and Their Complexes with 18-Crown-6 in Aprotic Solvents. J. Org. Chem. 1993, 58, 4219–4220. [Google Scholar] [CrossRef]
- Kurcok, P.; Kowalczuk, M.; Jedliński, Z. Response to ‘On the Ambident Raectivity of β-Lactones in Their Reactions with Alcoholates Initiating Polymerization. Macromolecules 1994, 27, 4833–4835. [Google Scholar] [CrossRef]
- Kawalec, M.; Coulembier, O.; Gerbaux, P.; Sobota, M.; De Winter, J.; Dubois, P.; Kowalczuk, M.; Kurcok, P. Traces Do Matter—Purity of 4-Methyl-2-Oxetanone and Its Effect on Anionic Ring-Opening Polymerization as Evidenced by Phosphazene Superbase Catalysis. React. Funct. Polym. 2012, 72, 509–520. [Google Scholar] [CrossRef]
- Kawalec, M.; Śmiga-Matuszowicz, M.; Kurcok, P. Counterion and Solvent Effects on the Anionic Polymerization of β-Butyrolactone Initiated with Acetic Acid Salts. Eur. Polym. J. 2008, 44, 3556–3563. [Google Scholar] [CrossRef]
- Kurcok, P.; Śmiga, M.; Jedliński, Z. β-Butyrolactone Polymerization Initiated with Tetrabutylammonium Carboxylates. A Novel Approach to Biomimetic Polyesters Synthesis. J. Polym. Sci. Polym. Chem. 2002, 40, 2184–2189. [Google Scholar] [CrossRef]
- Domiński, A.; Konieczny, T.; Zięba, M.; Klim, M.; Kurcok, P. Anionic Polymerization of β-Butyrolactone Initiated with Sodium Phenoxides. The Effect of the Initiator Basicity/Nucleophilicity on the ROP Mechanism Polymers 2019, 11, 1221. [Google Scholar] [CrossRef] [Green Version]
- Peptu, C.; Kowalczuk, M. 8—Biomass-Derived Polyhydroxyalkanoates: Biomedical Applications in Biomass as Renewable Raw Material to Obtain Bioproducts of High-Tech Value; Elsevier: Amterdam, The Netherlands, 2018; pp. 271–313. [Google Scholar] [CrossRef]
- Piddubnyak, V.; Kurcok, P.; Matuszowicz, A.; Głowala, M.; Fiszer-Kierzkowska, A.; Jedliński, Z.; Juzwa, M.; Krawczyk, Z. Oligo-3-hydroxybutyrates as potential carriers for drug delivery. Biomaterials 2004, 25, 5271–5279. [Google Scholar] [CrossRef]
- Elustondo, P.A.; Angelova, P.R.; Kawalec, M.; Michalak, M.; Kurcok, P.; Abramov, A.Y.; Pavlov, E.V. Polyhydroxybutyrate Targets Mammalian Mitochondria and Increases Permeability of Plasmalemmal and Mitochondrial Membranes. PLoS ONE 2013, 8, e75812. [Google Scholar] [CrossRef]
- Adamus, G.; Kowalczuk, M. Electrospray multistep ion trap mass spectrometry for the structural characterisation of poly[(R,S)-3-hydroxybutanoic acid] containing a β-lactam end group. Rapid Commun. Mass Spectr. 2000, 14, 195–202. [Google Scholar] [CrossRef]
- Schmidt, M.; Bast, L.K.; Lanfer, F.; Richter, L.; Hennes, E.; Seymen, R.; Krumm, C.; Tiller, J.C. Poly(2-oxazoline)–Antibiotic Conjugates with Penicillins. Bioconjugate Chem. 2017, 28, 2440–2451. [Google Scholar] [CrossRef] [PubMed]
- Juzwa, M.; Rusin, A.; Zawidlak-Wegrzyńska, B.; Krawczyk, Z.; Obara, I.; Jedliński, Z. Oligo(3-hydroxybutanoate) conjugates with acetylsalicylic acid and their antitumour activity. Eur. J. Med. Chem. 2008, 43, 1785–1790. [Google Scholar] [CrossRef]
- Zawidlak-Węgrzyńska, B.; Kawalec, M.; Bosek, I.; Łuczyk-Juzwa, M.; Adamus, G.; Rusin, A.; Filipczak, P.; Głowala-Kosińska, M.; Wolańska, K.; Krawczyk, Z.; et al. Synthesis and Anti-proliferative Properties of Ibuprofen-Oligo[(R,S)-3-hydroxybutyrate] Conjugates. Eur. J. Med. Chem. 2010, 45, 1833–1842. [Google Scholar] [CrossRef]
- Maksymiak, M.; Dębowska, R.; Jelonek, K.; Kowalczuk, M.; Adamus, G. Structural characterization of biocompatible lipoic acid—oligo(3-hydroxybutyrate) conjugates by ESI-mass spectrometry. Rapid Commun. Mass Spectr. 2013, 27, 773–783. [Google Scholar] [CrossRef]
- Maksymiak, M.; Dębowska, R.; Bazela, K.; Dźwigałowska, A.; Orchel, A.; Jelonek, K.; Dołęgowska, B.; Kowalczuk, M.; Adamus, G. Designing of biodegradable and biocompatible release and delivery systems of selected antioxidants used in cosmetology. Biomacromolecules 2015, 6, 3603–3612. [Google Scholar] [CrossRef] [PubMed]
- Bałakier, T.; Chaładaj, W.; Jurczak, J.; Adamus, G.; Kowalczuk, M. An effective protocol for the synthesis enantiomerically pure 4-substituted oxetane-2-ones. Tertahedreon 2013, 69, 4990–4993. [Google Scholar] [CrossRef]
- Maksymiak, M.; Bałakier, T.; Jurczak, J.; Kowalczuk, M.; Adamus, G. Bioactive (co)oligoesters with antioxidant properties—Synthesis and structural characterization at the molecular level. RSC Adv. 2016, 6, 7751–7761. [Google Scholar] [CrossRef] [Green Version]
- Kwiecień, I.; Adamus, G.; Kowalczuk, M. Electrospray ionisation mass spectrometry molecular-level structural characterisation of novel phenoxycarboxylic acid–oligo(3-hydroxybutyrate) conjugates with potential agricultural applications. Rapid Commun. Mass Spectr. 2012, 26, 2673–2682. [Google Scholar] [CrossRef]
- Kwiecień, I.; Adamus, G.; Bartkowiak, A.; Kowalczuk, M. Synthesis and structural characterization at the molecular level of oligo(3-hydroxybutyrate) conjugates with antimicrobial agents designed for food packaging materials. Des. Monomers Polym. 2014, 17, 311–321. [Google Scholar] [CrossRef] [Green Version]
- Kwiecień, I.; Bałakier, T.; Jurczak, J.; Kowalczuk, M.; Adamus, G. Molecular architecture of novel potentially bioactive (co)oligoesters containing pesticide moieties established by electrospray ionization multistage mass spectrometry. Rapid Commun. Mass Spectr. 2015, 29, 533–544. [Google Scholar] [CrossRef] [PubMed]
- Kowalski, W.J.; Glazek, M.; Silowiecki, A.; Kowalczuk, M.; Romanowska, I.; Wloka, D. Controlled Release of 2,4-D and Dicamba 3-hydroxybutyric Acid Oligomers. In Pesticide Formulation and Delivery Systems: 32nd Volume, Innovating Legacy Products for New Uses; Bernards, M., Devisetty, B., Eds.; ASTM International: West Conshohocken, PA, USA, 2013; pp. 15–30. [Google Scholar] [CrossRef]
- Kwiecień, I.; Radecka, I.; Kowalczuk, M.; Adamus, G. Transesterification of PHA to oligomers covalently bonded with (bio)active compounds containing either carboxyl or hydroxyl functionalities. PLoS ONE 2015, 10, e0120149. [Google Scholar] [CrossRef] [PubMed]
- Kwiecień, I.; Radecka, I.; Kwiecień, M.; Adamus, G. Synthesis and structural characterization of bioactive PHA and γ-PGA oligomers for potential applications as a delivery system. Materials 2016, 9, 307. [Google Scholar] [CrossRef] [Green Version]
- Jedliński, Z.; Kowalczuk, M.; Kurcok, P.; Brzoskowska, L.; Franek, J. Anionic Block Polymerization of β-Lactones Initiated by Potassium Solutions 1. Synthesis of Poly(4-methyl-2-oxetanone-block-2-oxetanone). Makromol. Chem. 1987, 188, 1575–1582. [Google Scholar] [CrossRef]
- Scandola, M.; Focarete, L.; Gazzano, M.; Matuszowicz, A.; Sikorska, W.; Adamus, G.; Kurcok, P.; Kowalczuk, M.; Jedliński, Z. Crystallinity-Induced Biodegradation of Novel [(R,S)-β-Butyrolactone]-b-Pivalolactone Copolymers. Macromolecules 1997, 30, 7743–7748. [Google Scholar] [CrossRef]
- Adamus, G. Molecular Level Structure of (R,S)-3-Hydroxybutyrate/(R,S)-3-Hydroxy-4-ethoxybutyrate Copolyesters with Dissimilar Architecture. Macromolecules 2009, 42, 4547–4557. [Google Scholar] [CrossRef]
- Adamus, G.; Sikorska, W.; Janeczek, H.; Kwiecień, M.; Sobota, M.; Kowalczuk, M. Novel block copolymers of atactic PHB with natural PHA for cardiovascular engineering: Synthesis and characterization. Eur. Polym. J. 2012, 48, 621–631. [Google Scholar] [CrossRef]
- Kurcok, P.; Dubois, P.; Sikorska, W.; Jedliński, Z.; Jérôme, R. Macromolecular Engineering. 24. Controlled Synthesis of β-Butyrolactone-b-ε-Caprolactone Block Copolymers by Anionic and Coordination-Polymerization. Macromolecules 1997, 30, 5591–5595. [Google Scholar] [CrossRef]
- Kawalec, M.; Kurcok, P.; Adamus, G.; Kowalczuk, M. Synthesis of Poly[(R,S)-3-hydroxybutyrate-block-ethylene glycol-block-(R,S)-3-hydroxybutyrate] via anionic ROP. Macromol. Symp. 2007, 253, 59–64. [Google Scholar] [CrossRef]
- Koseva, N.S.; Kurcok, P.; Adamus, G.; Troev, K.D.; Kowalczuk, M. Polyester-based Copolymers for Biomaterials Fabrication. Macromol. Symp. 2007, 253, 24–32. [Google Scholar] [CrossRef]
- Koseva, N.S.; Novakov, C.P.; Rydz, J.; Kurcok, P.; Kowalczuk, M. Synthesis and Characterization of PHB-PEG Brush Copolymer through ATRP in a Macroinitiator-Macromonomer Feed System. Design. Monomers Polym. 2010, 13, 579–595. [Google Scholar] [CrossRef] [Green Version]
- Neugebauer, D.; Rydz, J.; Goebel, I.; Dacko, P.; Kowalczuk, M. Synthesis of Graft Copolymers Containing Biodegradable Poly(3-hydroxybutyrate) Chains. Macromolecules 2007, 40, 1767–1773. [Google Scholar] [CrossRef]
- Kowalczuk, M.; Adamus, G.; Jedlinski, Z. Synthesis of new graft polymers via anionic grafting of beta.-butyrolactone on poly(methyl methacrylate). Macromolecules 1994, 27, 572–575. [Google Scholar] [CrossRef]
- Ceccurulli, G.; Scandola, M.; Adamus, G. Compatibilizing effect of a graft copolymer on bacterial poly(3-hydroxybutyrate)/poly(methyl methacrylate) blends. J. Polym. Sci. Part B Polym. Phys. 2002, 40, 1390–1399. [Google Scholar] [CrossRef]
- Domagała, A.; Maksymiak, M.; Janeczek, H.; Musioł, M.; Turczyn, R.; Ledwon, P.; Kaczmarczyk, B.; Kurcok, P.; Adamus, G.; Kowalczuk, M.; et al. Oligo-3-hydroxybutyrate functionalized pyrroles for preparation of biodegradable conductive polymers. J. Mater. Sci. 2014, 49, 5227–5236. [Google Scholar] [CrossRef]
- Domagała, A.; Domagała, W.; Ledwoń, P.; Musiol, M.; Janeczek, H.; Stolarczyk, A.; Kurcok, P.; Adamus, G.; Łapkowski, M. N-oligo (3-hydroxybutyrate) derivatized polypyrroles—Towards bioerodible conducting copolymers. Polym. Int. 2016, 65, 1395–1404. [Google Scholar] [CrossRef]
- Reusch, R.N.; Sadoff, H.L. Putative structure and functions of a poly-beta-hydroxybutyrate/calcium polyphosphate channel in bacterial plasma membranes. Proc. Natl. Acad. Sci. USA 1988, 85, 4176–4180. [Google Scholar] [CrossRef] [PubMed] [Green Version]
- Jedliński, Z.; Kowalczuk, M.; Kurcok, P.; Adamus, G.; Matuszowicz, A.; Sikorska, W.; Gross, R.A.; Xu, J.; Lenz, R.W. Stereochemical Control in the Anionic Polymerization of β-Butyrolactone Initiated with Alkali Metal Alkoxides. Macromolecules 1996, 29, 3773–3777. [Google Scholar] [CrossRef]
- Jedliński, Z.; Kurcok, P.; Lenz, R.W. First Facile Synthesis of Biomimetic Poly (R)-3-hydroxybutyric Acid via Regioselective Anionic Polymerization of (S) β-Butyrolactone. Macromolecules 1998, 31, 6718–6720. [Google Scholar] [CrossRef]
- Das, S.; Kurcok, P.; Jedliński, Z.; Reusch, R.N. Ion Channels Formed by Biomimetic Oligo- (R) -3-Hydroxybutyrates and Inorganic Polyphosphates in Planar Lipid Bilayers. Macromolecules 1999, 32, 8781–8785. [Google Scholar] [CrossRef]
- Kurcok, P.; Kowalczuk, M.; Adamus, G.; Jedliński, Z.; Lenz, R.W. Degradability of PHB. Correlation with Chemical Microstructure. J. Macromol. Sci. Pure Appl. Chem. 1995, A32, 875–880. [Google Scholar] [CrossRef]
- Scandola, M.; Focarete, M.L.; Adamus, G.; Sikorska, W.; Baranowska, I.; Świerczek, S.; Gnatowski, M.; Kowalczuk, M.; Jedliński, Z. Polymer Blends of Natural Poly(3-hydroxybutyrate-co-3-hydroxyvalerate) and a Synthetic Atactic Poly(3-hydroxybutyrate). Characterization and Biodegradation Studies. Macromolecules 1997, 30, 2568–2574. [Google Scholar] [CrossRef]
- Focarete, M.L.; Scandola, M.; Jendrossek, D.; Adamus, G.; Sikorska, W.; Kowalczuk, M. Bioassimilation of Atactic Poly[(R,S)-3-hydroxybutyrate] Oligomers by Selected Bacterial Strains. Macromolecules 1999, 32, 4814–4818. [Google Scholar] [CrossRef]
- Handrick, R.; Reinhardt, S.; Focarete, M.L.; Scandola, M.; Adamus, G.; Kowalczuk, M.; Jendrossek, D. A new type of thermoalkalophilic hydrolase of Paucimonas lemoignei with high specificity for amorphous polyesters of short chain-length hydroxyalkanoic acids. J. Biol. Chem. 2001, 276, 36215–36224. [Google Scholar] [CrossRef] [Green Version]
- Kawalec, M.; Adamus, G.; Kurcok, P.; Kowalczuk, M.; Foltran, I.; Focarete, L.; Scandola, M. Carboxylate induced degradation of poly(3-hydroxybutyrate)s. Biomacromolecules 2007, 8, 1053–1058. [Google Scholar] [CrossRef]
- Kwiecień, M.; Kawalec, M.; Kurcok, P.; Kowalczuk, M.; Adamus, G. Selective carboxylate induced thermal degradation of bacterial poly(3-hydroxybutyrate-co-4-hydroxybutyrate)—Source of linear uniform 3HB4HB oligomers. Polym. Degrad. Stab. 2014, 110, 71–79. [Google Scholar] [CrossRef]
- Kawalec, M.; Janeczek, H.; Adamus, G.; Kurcok, P.; Kowalczuk, M.; Scandola, M. The Study of Kinetics of Poly(R,S)-3-hydroxybutyrate Degradation Induced by Carboxylate. Macromol. Symp. 2008, 272, 63–69. [Google Scholar] [CrossRef]
- Kawalec, M.; Sobota, M.; Scandola, M.; Kowalczuk, M.; Kurcok, P. A convenient route to PHB macromonomers via anionically controlled moderate-temperature degradation of PHB. J. Polym. Sci. Part. A Polym. Chem. 2010, 48, 5490–5497. [Google Scholar] [CrossRef]
- Michalak, M.; Kawalec, M.; Kurcok, P. Reactive mono- and di-epoxy-functionalized poly(3-hydroxybutyrate)s. Synthesis and characterization. Polym. Degrad. Stab. 2012, 97, 1861–1870. [Google Scholar] [CrossRef]
- Michalak, M.; Marek, A.A.; Zawadiak, J.; Kawalec, M.; Kurcok, P. Synthesis of PHB-based carrier for drug delivery systems with pH-controlled release. Eur. Polym. J. 2013, 49, 4149–4156. [Google Scholar] [CrossRef]
- Michalak, M.; Kwiecień, M.; Kawalec, M.; Kurcok, P. Oxidative degradation of poly(3-hydroxybutyrate). The new method of synthesis for the malic acid copolymers. RCS Adv. 2016, 6, 12809–12818. [Google Scholar] [CrossRef]
- Domiński, A.; Krawczyk, M.; Konieczny, T.; Kasprów, M.; Foryś, A.; Pastuch-Gawołek, G.; Kurcok, P. Biodegradable pH-responsive micelles loaded with 8-hydroxyquinoline glycoconjugates for Warburg effect based tumor targeting. Eur. J. Pharm. Biopharm. 2020, 154, 317–329. [Google Scholar] [CrossRef] [PubMed]
- Chaber, P.; Kwiecień, M.; Zięba, M.; Sobota, M.; Adamus, G. The heterogeneous selective reduction of PHB as a useful method for preparation of oligodiols and surface modification. RSC Adv. 2017, 7, 35096. [Google Scholar] [CrossRef] [Green Version]
- Kwiecień, M.; Adamus, G.; Kowalczuk, M. Selective reduction of PHA biopolyesters and their synthetic analogues to corresponding PHA oligodiols proved by structural studies. Biomacromolecules 2013, 14, 1181–1188. [Google Scholar] [CrossRef]
- Jiang, G.; Hill, D.; Kowalczuk, M.; Johnston, B.; Adamus, G.; Irorere, V.; Radecka, I. Carbon sources for polyhydroxyalkanoates and an integrated biorefinery. Int. J. Mol. Sci. 2016, 17, 1157. [Google Scholar] [CrossRef] [PubMed] [Green Version]
- Radecka, I.; Irorere, V.; Jiang, G.; Hill, D.; Williams, C.; Adamus, G.; Kwiecien, M.; Marek, A.A.; Zawadiak, J.; Johnston, B.; et al. Oxidised polyethylene wax as a potential carbon source for PHA. production. Materials 2016, 9, 367. [Google Scholar] [CrossRef] [Green Version]
- Johnston, B.; Jiang, G.; Hill, D.; Adamus, G.; Kwiecień, I.; Zięba, M.; Sikorska, W.; Green, M.; Kowalczuk, M.; Radecka, I. The molecular level characterization of biodegradable polymers originated from polyethylene using non-oxygenated polyethylene wax as a carbon source for polyhydroxyalkanoate production. Bioengineering 2017, 4, 73. [Google Scholar] [CrossRef] [Green Version]
- Johnston, B.; Radecka, I.; Hill, D.; Chiellini, E.; Ilieva, V.; Sikorska, W.; Musioł, M.; Zięba, M.; Marek, A.; Keddie, D.; et al. The microbial production of polyhydroxyalkanoates from waste polystyrene fragments attained using oxidative degradation. Polymers 2018, 10, 957. [Google Scholar] [CrossRef] [Green Version]
- Johnston, B.; Radecka, I.; Chiellini, E.; Barsi, D.; Ilieva, V.I.; Sikorska, W.; Musioł, M.; Zięba, M.; Chaber, P.; Marek, A.A.; et al. Mass Spectrometry Reveals Molecular Structure of Polyhydroxyalkanoates Attained by Bioconversion of Oxidized Polypropylene Waste Fragments. Polymers 2019, 11, 1580. [Google Scholar] [CrossRef] [Green Version]
- Ekere, A.I.; Johnston, B.; Zięba, M.; Chaber, P.; Adamus, G.; Tchuenbou-Magaia, F.; Barsi, D.; Amaro, L.P.; Chiellini, E.; Radecka, I.; et al. Environmental cleaning mission. Chim. Oggi Chem. Today 2019, 37, 6. [Google Scholar]
- Adamus, G.; Sikorska, W.; Montaudo, M.; Scandola, M.; Kowalczuk, M. Sequence distribution and fragmentation studies of bacterial copolymer—Characterisation of PHBV macroinitiator by Electrospray Ion-Trap Multistep Mass Spectrometry. Macromolecules 2000, 33, 5797–5802. [Google Scholar] [CrossRef]
- Adamus, G.; Sikorska, W.; Kowalczuk, M.; Noda, I.; Satkowski, M.M. Electrospray Ion-Trap Multistage Mass Spectrometry for characterization of co-monomer compositional distribution of bacterial poly(3-hydroxybutyrate-co-3-hydroxyhexanoate) at the molecular level. Rapid Commun. Mass Spectrom. 2003, 17, 2260–2266. [Google Scholar] [CrossRef] [PubMed]
- Adamus, G. Aliphatic polyesters for advanced technologies—Structural characterization of biopolyesters with the aid of Mass Spectrometry. Macromol. Symp. 2006, 239, 77–83. [Google Scholar] [CrossRef]
- Montaudo, M.S.; Adamus, G.; Kowalczuk, M. Bivariate distribution in copolymers: A new model. J. Polym. Sci. Part A Polym. Chem. 2002, 40, 2442–2448. [Google Scholar] [CrossRef]
- Zagar, E.; Krzan, A.; Adamus, G.; Kowalczuk, M. Sequence distribution in microbial poly(3-hydroxybutyrate-co-3-hydroxyvalerate) co-polyesters determined by NMR and MS. Biomacromolecules 2006, 7, 2220. [Google Scholar] [CrossRef]
- Muhr, A.; Rechberger, E.M.; Salerno, A.; Reiterer, A.; Schiller, M.; Kwiecień, M.; Adamus, G.; Kowalczuk, M.; Strohmeier, K.; Schober, S.; et al. Biodegradable latexes from animal-derived waste: Biosynthesis and characterization of mcl-PHA accumulated by Ps. Citronellolis. React. Funct. Polym. 2013, 73, 1391–1398. [Google Scholar] [CrossRef]
- Jedliński, Z.; Adamus, G.; Kowalczuk, M.; Schubert, R.; Szewczuk, Z.; Stefanowicz, P. Electrospray Tandem Mass Spectrometry of poly(3-hydroxybutanoic acid)-end groups analysis and fragmentation mechanism. Rapid Commun. Mass Spectrom. 1998, 12, 357–360. [Google Scholar] [CrossRef]
- Bednarski, H.; Sohlberg, K.; Domański, M.; Weszka, J.; Adamus, G.; Kowalczuk, M.; Cozan, V. A combined theoretical and experimental study of mechanisms of fragmentation active for PHB oligomers in negative-ion mode multistage mass spectrometry. Int. J. Mass Spectrom. 2011, 304, 15–24. [Google Scholar] [CrossRef]
- Arslan, H.; Adamus, G.; Hazer, B.; Kowalczuk, M. Electrospray Ionization Tandem Mass Spectrometry of poly[(R,S)-3-hydroxybutanoic acid] telechelics containing primary hydroxyl end groups. Rapid Commun. Mass Spectr. 1999, 13, 2433–2438. [Google Scholar]
- Jedliński, Z.; Kowalczuk, M.; Adamus, G.; Sikorska, W.; Rydz, J. Novel synthesis of functionalised poly(3-hydroxybutanoic acid) and its copolymers. Int. J. Biol. Macromol. 1999, 25, 247–253. [Google Scholar] [CrossRef]
- Arkin, A.H.; Hazer, B.; Adamus, G.; Kowalczuk, M.; Jedliński, Z.; Lenz, R.W. Synthesis of poly(2-methyl-3-hydroxyoctanoate) via anionic polymerization of α-methyl-β-pentyl-β-propiolactone. Biomacromolecules 2001, 2, 623–627. [Google Scholar] [CrossRef] [PubMed]
- Adamus, G.; Kowalczuk, M. Anionic ring-opening polymerization of β-alkoxymethyl substituted β-lactones. Biomacromolecules 2008, 9, 696–703. [Google Scholar] [CrossRef]
- Adamus, G.; Kowalczuk, M. Elucidation of reaction mechanisms. In Mass Spectrometry in Polymer Chemistry; Barner-Kowollik, C., Gründling, T., Falkenhagen, J., Weidner, S., Eds.; Wiley-VCH Verlag & Co. KGaA: Weinheim, Germany, 2012; ISBN 978-3-527-32924-3. [Google Scholar]
- Kowalczuk, M.; Adamus, G. Mass spectrometry for the elucidation of the subtle molecular structure of biodegradable polymers and their degradation products. Mass Spectrom. Rev. 2016, 35, 188–198. [Google Scholar] [CrossRef]
- Buruiana, E.C.; Kowalczuk, M.; Adamus, G.; Jedliński, Z. Designing of dipeptide- based oligoconjugates as potential carrier for drug delivery. Pyroglutamil-S-glutamic acid bis oligo-3-hydroxybutyrates. J. Polym. Sci. Part A Polym. Chem. 2008, 46, 4103–4111. [Google Scholar] [CrossRef]
- Maksymiak, M.; Kowalczuk, M.; Adamus, G. Electrospray tandem mass spectrometry for the structural characterization of p-coumaric acid-oligo(3-hydroxybutyrate) conjugates. Int. J. Mass Spectrom. 2014, 359, 6–11. [Google Scholar] [CrossRef]
- Martinka-Maksymiak, M.; Zięba, M.; Orchel, A.; Musiał-Kulik, M.; Kowalczuk, M.; Adamus, G. Bioactive (co)oligoesters as potential delivery systems of p-anisic acid for cosmetic purposes. Materials 2020, 13, 4153. [Google Scholar] [CrossRef] [PubMed]
- Adamus, G.; Montaudo, M.S.; Montaudo, G.; Kowalczuk, M. Molecular architecture of poly[(R,S)-3-hydroxybutyrate-co-6-hydroxyhexanoate] and poly[(R,S)-3-hydroxybutyrate-co(R,S)-2-hydroxyhexanoate] oligomers investigated by electrospray ionisation ion-trap multistage mass spectrometry. Rapid Commun. Mass Spectr. 2004, 18, 1436–1448. [Google Scholar] [CrossRef] [PubMed]
- Adamus, G. Structural analysis of poly[(R,S)-3-hydroxybutyrate-co-L-lactide] copolyesters by electrospray ionisation ion trap mass spectrometry. Rapid Commun. Mass Spectr. 2007, 21, 2477–2490. [Google Scholar] [CrossRef]
- Adamus, G.; Kwiecień, I.; Maksymiak, M.; Bałakier, T.; Jurczak, J.; Kowalczuk, M. Molecular level structure of novel synthetic analogues of aliphatic biopolyesters as revealed by multistage mass spectrometry. Anal. Chim. Acta 2014, 808, 104–114. [Google Scholar] [CrossRef]
- Kwiecień, I.; Radecka, I.; Kowalczuk, M.; Jelonek, K.; Orchel, A.; Adamus, G. The synthesis and structural characterization of graft copolymers composed of γ-PGA backbone and oligoesters pendant chains. J. Am. Soc. Mass Spectr. 2017, 28, 2223–2234. [Google Scholar] [CrossRef] [Green Version]
- Khalil, A.; Cammas-Marion, S.; Coulembier, O. Organocatalysis Applied to the Ring-Opening Polymerization of β-Lactones: A Brief Overview. J. Polym. Sci. Part A 2019, 57, 657–672. [Google Scholar] [CrossRef]
- Carteny, C.C.; Blust, R. Not Only Diamonds Are Forever: Degradation of Plastic Films in a Simulated Marine Environment Front. Environ. Sci. 2021, 9, 662844. [Google Scholar] [CrossRef]








Publisher’s Note: MDPI stays neutral with regard to jurisdictional claims in published maps and institutional affiliations. |
© 2021 by the authors. Licensee MDPI, Basel, Switzerland. This article is an open access article distributed under the terms and conditions of the Creative Commons Attribution (CC BY) license (https://creativecommons.org/licenses/by/4.0/).
Share and Cite
Adamus, G.; Domiński, A.; Kowalczuk, M.; Kurcok, P.; Radecka, I. From Anionic Ring-Opening Polymerization of β-Butyrolactone to Biodegradable Poly(hydroxyalkanoate)s: Our Contributions in This Field. Polymers 2021, 13, 4365. https://doi.org/10.3390/polym13244365
Adamus G, Domiński A, Kowalczuk M, Kurcok P, Radecka I. From Anionic Ring-Opening Polymerization of β-Butyrolactone to Biodegradable Poly(hydroxyalkanoate)s: Our Contributions in This Field. Polymers. 2021; 13(24):4365. https://doi.org/10.3390/polym13244365
Chicago/Turabian StyleAdamus, Grażyna, Adrian Domiński, Marek Kowalczuk, Piotr Kurcok, and Iza Radecka. 2021. "From Anionic Ring-Opening Polymerization of β-Butyrolactone to Biodegradable Poly(hydroxyalkanoate)s: Our Contributions in This Field" Polymers 13, no. 24: 4365. https://doi.org/10.3390/polym13244365
APA StyleAdamus, G., Domiński, A., Kowalczuk, M., Kurcok, P., & Radecka, I. (2021). From Anionic Ring-Opening Polymerization of β-Butyrolactone to Biodegradable Poly(hydroxyalkanoate)s: Our Contributions in This Field. Polymers, 13(24), 4365. https://doi.org/10.3390/polym13244365

