Evaluation of the Sensitivity of Various Reinforcement Patterns for Structural Carbon Fibers to Open Holes during Tensile Tests
Abstract
:1. Introduction
2. Materials, Experiments and Methods
2.1. Material
2.2. Equipment
2.3. Study Methods
2.4. The Method of Using Contactless 3D Digital Optical Systems
3. Test Results and Discussion
4. Conclusions
Author Contributions
Funding
Institutional Review Board Statement
Informed Consent Statement
Data Availability Statement
Conflicts of Interest
References
- Khosravani, M.R.; Zolfagharian, A. Fracture and load-carrying capacity of 3D-printed cracked components. Extrem. Mech. Lett. 2020, 37, 100692. [Google Scholar] [CrossRef]
- Nasser, J.; Zhang, L.; Sodano, H. Sodano Laser induced graphene interlaminar reinforcement for tough carbon fiber/epoxy composites. Compos. Sci. Technol. 2021, 201, 108493. [Google Scholar] [CrossRef]
- Song, J.; Wen, W.; Cui, H.; Wang, Y.; Lu, Y.; Long, W.; Li, L. Warp direction fatigue behavior and damage mechanisms of centrally notched 2.5D woven composites at room and elevated temperatures. Compos. Sci. Technol. 2019, 182, 107769. [Google Scholar] [CrossRef]
- Zhang, Y.; Guo, Q.; Chen, X.; Xie, J.; Chen, L. Effect of apertures on tensile property of warp-reinforced 2.5D woven composites notched plates. Compos. Struct. 2020, 252, 112693. [Google Scholar] [CrossRef]
- Strungar, E.M.; Feklistova, E.V.; Babushkin, A.V.; Lobanov, D.S. Experimental studies of 3D woven composites interweaving types effect on the mechanical properties of a polymer composite material. Procedia Struct. Integr. 2019, 17, 965–970. [Google Scholar] [CrossRef]
- Hilov, P.A.; Babushkin, A.V.; Wildemann, V.E.; Lobanov, D.S.; Staroverov, O.A.; Strungar, E.M.; Krupennikov, V.A. Influence of the reinforcement scheme on mechanical properties of 2d, 3d polymer composites. IOP Conf. Ser. Mater. Sci. Eng. 2020, 953, 012095. [Google Scholar] [CrossRef]
- Strungar, E.M.; Lobanov, D.S.; Zubova, E.M.; Babushkin, A.V. Analysis of the mechanical behavior of spatially reinforced composites with open holes. IOP Conf. Ser. Mater. Sci. Eng. 2020, 953, 012094. [Google Scholar] [CrossRef]
- Pierron, F.; Green, B.; Wisnom, M.R.; Hallett, S.R. Full-field assessment of the damage process of laminated composite open-hole tensile specimens. Part I: Methodology. Compos. Part A Appl. Sci. Manuf. 2007, 38, 2307–2320. [Google Scholar] [CrossRef]
- Touchard-Lagattu, F.B.A.E.; Lafarie-Frenot, M.C. Damage and inelastic deformation mechanisms in notched thermoset and thermoplastic laminates. Compos. Sci. Technol. 1996, 56, 557–568. [Google Scholar] [CrossRef]
- Wu, X.; Fuller, J.D.; Longana, M.L.; Wisnom, M.R. Wisnom Reduced notch sensitivity in pseudo-ductile CFRP thin ply angle-ply laminates with central 0° plies. Compos. Part A Appl. Sci. Manuf. 2018, 111, 62–72. [Google Scholar] [CrossRef]
- Dai, S.; Cunningham, P.R.; Marshall, S.; Silva, C. Open hole quasi-static and fatigue characterisation of 3D woven composites. Compos. Struct. 2015, 131, 765–774. [Google Scholar] [CrossRef] [Green Version]
- Czél, G.; Jalalvand, M.; Fotouhi, M.; Longana, M.L.; Nixon-Pearson, O.J.; Wisnom, M.R. Wisnom Pseudo-ductility and reduced notch sensitivity in multi-directional all-carbon/epoxy thin-ply hybrid composites. Compos. Part A Appl. Sci. Manuf. 2018, 104, 151–164. [Google Scholar] [CrossRef] [Green Version]
- Awerbuch, J.; Madhukar, M.S. Notched Strength of Composite Laminates: Predictions and Experiments—A Review. J. Reinf. Plast. Compos. 1985, 4, 3–159. [Google Scholar] [CrossRef]
- Chen, P.; Shen, Z.; Wang, J.Y. Prediction of the strength of notched fiber-dominated composite laminates. Compos. Sci. Technol. 2001, 61, 1311–1321. [Google Scholar] [CrossRef]
- Nuismer, R.J.; Whitney, J.M. Uniaxial failure of composite laminates containing stress concentrations. In Fracture Mechanics of Composites; American Society for Testing and Materials: Philadelphia, PA, USA, 1975; pp. 117–142. [Google Scholar]
- Lagattu, F.; Lafarie-Frenot, M.C.; Lam, T.Q.; Brillaud, J. Experimental characterization of overstress accommodation in notched CFRP composite laminates. Compos. Struct. 2005, 67, 347–357. [Google Scholar] [CrossRef]
- Bao, H.; Liu, G. Progressive failure analysis on scaled open-hole tensile composite laminates. Compos. Struct. 2016, 150, 173–180. [Google Scholar] [CrossRef]
- Tashkinov, M.A. Modelling of fracture processes in laminate composite plates with embedded delamination. Frat. Integr. Strutt. 2016, 11, 248–262. [Google Scholar] [CrossRef] [Green Version]
- Shi, J.; Tong, M.; Zhou, C.; Ye, C.; Wang, X. Progressive Failure Analysis in Open-Hole Tensile Composite Laminates of Airplane Stringers Based on Tests and Simulations. Appl. Sci. 2020, 11, 185. [Google Scholar] [CrossRef]
- Sket, F.; Enfedaque, A.; López, C.D.; González, C.; Molina-Aldareguía, J.; LLorca, J. X-ray computed tomography analysis of damage evolution in open hole carbon fiber-reinforced laminates subjected to in-plane shear. Compos. Sci. Technol. 2016, 133, 40–50. [Google Scholar] [CrossRef]
- Gao, X.; Yu, G.; Xue, J.; Song, Y. Failure analysis of C/SiC composites plate with a hole by the PFA and DIC method. Ceram. Int. 2017, 43, 5255–5266. [Google Scholar] [CrossRef]
- Caminero, M.A.; Lopez-Pedrosa, M.; Pinna, C.; Soutis, C. Damage monitoring and analysis of composite laminates with an open hole and adhesively bonded repairs using digital image correlation. Compos. Part B Eng. 2013, 53, 76–91. [Google Scholar] [CrossRef]
- Mohammadi, R.; Najafabadi, M.A.; Saeedifar, M.; Yousefi, J.; Minak, G. Correlation of acoustic emission with finite element predicted damages in open-hole tensile laminated composites. Compos. Part B Eng. 2017, 108, 427–435. [Google Scholar] [CrossRef]
- Schreier, H.; Orteu, J.J.; Sutton, M.A. Image Correlation for Shape, Motion and Deformation Measurements; University of South Carolina: Columbia, SC, USA, 2009; 364p. [Google Scholar]
- Strungar, E.M.; Yankin, A.; Zubova, E.; Babushkin, A.V.; Dushko, A.N. Experimental study of shear properties of 3D woven composite using digital image correlation and acoustic emission. Acta Mech. Sin. 2019, 36, 448–459. [Google Scholar] [CrossRef]
- Xian, G.; Guo, R.; Li, C.; Hong, B. Effects of rod size and fiber hybrid mode on the interface shear strength of carbon/glass fiber composite rods exposed to freezing-thawing and outdoor environments. J. Mater. Res. Technol. 2021, 14, 2812–2831. [Google Scholar] [CrossRef]
- Gui-Hong, X.; Dong, F.; Zhen-Nan, L. Fatigue performance of composite concrete structure specimen (CCS) in flexure. Mech. Adv. Mater. Struct. 2019, 27, 539–550. [Google Scholar] [CrossRef]
- Lobanov, D.S.; Strungar, E.M.; Zubova, E.M.; Wildemann, V.E. Studying the Development of a Technological Defect in Complex Stressed Construction CFRP Using Digital Image Correlation and Acoustic Emission Methods. Russ. J. Nondestruct. Test. 2019, 55, 631–638. [Google Scholar] [CrossRef]
- Tretyakova, T.V.; Dushko, A.N.; Strungar, E.M.; Zubova, E.M.; Lobanov, D.S. Comprehensive analysis of mechanical behavior and fracture processes of specimens of three-dimensional reinforced carbon fiber in tensile tests. PNRPU Mech. Bull. 2019, 175–185. [Google Scholar] [CrossRef]
- Lobanov, D.; Strungar, E. Mathematical data processing according to digital image correlation method for polymer composites. Frat. Integr. Strutt. 2020, 14, 56–65. [Google Scholar] [CrossRef]
- Guo, R.; Xian, G.; Li, C.; Huang, X.; Xin, M. Effect of fiber hybridization types on the mechanical properties of carbon/glass fiber reinforced polymer composite rod. Mech. Adv. Mater. Struct. 2021, 1–13. [Google Scholar] [CrossRef]
- Strungar, E.; Wildemann, V. Inelastic deformation and destruction of fiber-laminated polymer composites in stress concentration zones. Frat. Integr. Strutt. 2020, 14, 406–416. [Google Scholar] [CrossRef]











| Reinforcement Types | Χ, Pixel | ΔΧ, Pixel | N | δ, mm | s, mm |
|---|---|---|---|---|---|
| Type 1 | 43 | 3 | 20,383 | 2 × 3 | 0.083 |
| Type 2 | 47 | 3 | 21,985 | 2 × 3 | 0.076 |
| Type 3 | 55 | 5 | 13,650 | 3 × 4 | 0.076 |
| Type 4 | 51 | 5 | 19,529 | 2 × 10 | 0.084 |
| Type 5 | 55 | 3 | 18,500 | 3 × 3 | 0.081 |
| Reinforcement Types | σb, MPa | CV, % | FOHTu, MPa | CV, % |
|---|---|---|---|---|
| Type 1 | 940 ± 65 | 6.91 | 929 ± 50 | 5.38 |
| Type 2 | 922 ± 119 | 12.91 | 1129 ± 51 | 4.52 |
| Type 3 | 599 ± 39 | 6.51 | 419 ± 22 | 5.25 |
| Type 4 | 758 ± 60 | 7.92 | 649 ± 38 | 5.85 |
| Type 5 | 317 ± 54 | 17.03 | 358 ± 11 | 3.07 |
| Reinforcement Types | εyy, max, % | l, mm |
|---|---|---|
| Type 2 | 1.20 | 4.13 |
| Type 3 | 0.95 | 2.97 |
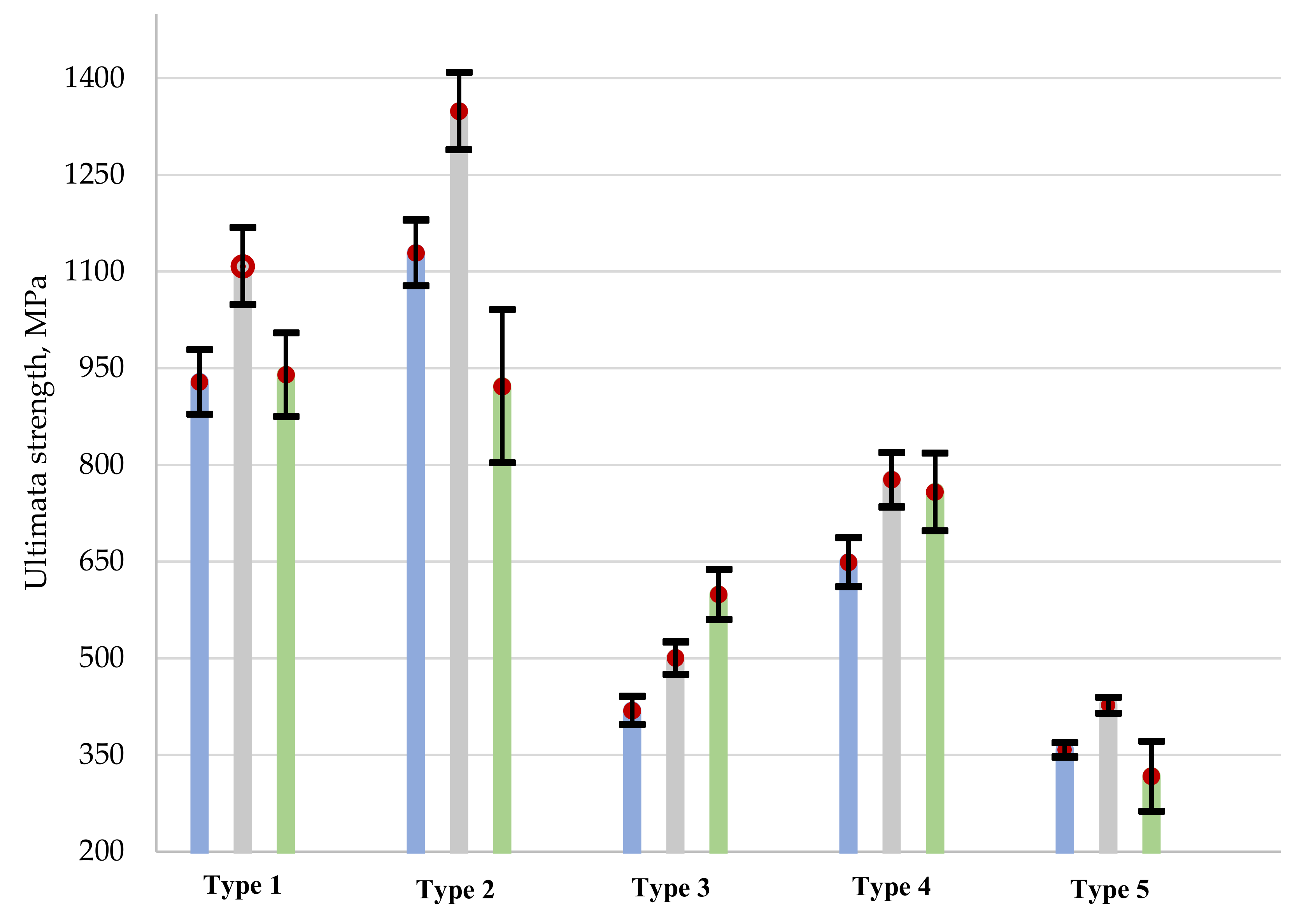
| Reinforcement Types | σb, MPa | FOHTu, MPa (by ASTM) | F′OHTu, MPa | K | K′ (by ASTM) |
|---|---|---|---|---|---|
| Type 1 | 940 ± 65 | 929 ± 50 | 1108 ± 60 | 1.18 | 0.99 |
| Type 2 | 922 ± 119 | 1129 ± 51 | 1349 ± 60 | 1.46 | 1.22 |
| Type 3 | 599 ± 39 | 419 ± 22 | 500 ± 25 | 0.83 | 0.70 |
| Type 4 | 758 ± 60 | 649 ± 38 | 777 ± 42 | 1.02 | 0.86 |
| Type 5 | 317 ± 54 | 358 ± 11 | 427 ± 12 | 1.35 | 1.13 |
Publisher’s Note: MDPI stays neutral with regard to jurisdictional claims in published maps and institutional affiliations. |
© 2021 by the authors. Licensee MDPI, Basel, Switzerland. This article is an open access article distributed under the terms and conditions of the Creative Commons Attribution (CC BY) license (https://creativecommons.org/licenses/by/4.0/).
Share and Cite
Strungar, E.; Lobanov, D.; Wildemann, V. Evaluation of the Sensitivity of Various Reinforcement Patterns for Structural Carbon Fibers to Open Holes during Tensile Tests. Polymers 2021, 13, 4287. https://doi.org/10.3390/polym13244287
Strungar E, Lobanov D, Wildemann V. Evaluation of the Sensitivity of Various Reinforcement Patterns for Structural Carbon Fibers to Open Holes during Tensile Tests. Polymers. 2021; 13(24):4287. https://doi.org/10.3390/polym13244287
Chicago/Turabian StyleStrungar, Elena, Dmitrii Lobanov, and Valery Wildemann. 2021. "Evaluation of the Sensitivity of Various Reinforcement Patterns for Structural Carbon Fibers to Open Holes during Tensile Tests" Polymers 13, no. 24: 4287. https://doi.org/10.3390/polym13244287
APA StyleStrungar, E., Lobanov, D., & Wildemann, V. (2021). Evaluation of the Sensitivity of Various Reinforcement Patterns for Structural Carbon Fibers to Open Holes during Tensile Tests. Polymers, 13(24), 4287. https://doi.org/10.3390/polym13244287

