Wrinkling on Stimuli-Responsive Functional Polymer Surfaces as a Promising Strategy for the Preparation of Effective Antibacterial/Antibiofouling Surfaces
Abstract
:1. Introduction
2. Materials, Equipment, and Methods
2.1. Materials
2.2. Equipment
2.3. Methods
2.3.1. Step 1. Substrate Functionalization
2.3.2. Step 2. Preparation of the Photosensitive Reaction Mixture
2.3.3. Step 3. Deposition and Irradiation
2.3.4. Step 4. Deswelling, UV Light Irradiation, and Plasma Exposure Processes
2.4. Evaluation Tests
2.4.1. Dye Adsorption/Desorption Tests
2.4.2. Antibacterial Evaluation
3. Results and Discussion
3.1. Preparation of the Wrinkled Functional Surfaces
3.2. Characterization of the Hydrogels before Film Deposition
3.3. Wrinkling on Solid Supports to Produce Stimuli-Responsive Microstructured Hydrogels
3.4. Evaluation of the pH Response of the Wrinkled Surfaces
3.5. Antibacterial Evaluation of the PAA Functionalized Hydrogel Wrinkled Films
4. Conclusions
Supplementary Materials
Author Contributions
Funding
Institutional Review Board Statement
Informed Consent Statement
Data Availability Statement
Conflicts of Interest
References
- Yang, P.; Zhu, F.; Zhang, Z.; Cheng, Y.; Wang, Z.; Li, Y. Stimuli-responsive polydopamine-based smart materials. Chem. Soc. Rev. 2021, 50, 8319–8343. [Google Scholar] [CrossRef] [PubMed]
- Mane, S.R.; Sathyan, A.; Shunmugam, R. Biomedical applications of pH-responsive amphiphilic polymer nanoassemblies. ACS Appl. Nano Mater. 2020, 3, 2104–2117. [Google Scholar] [CrossRef]
- Bhat, A.; Amanor-Boadu, J.M.; Guiseppi-Elie, A. Toward impedimetric measurement of acidosis with a pH-responsive hydrogel sensor. ACS Sens. 2020, 5, 500–509. [Google Scholar] [CrossRef] [PubMed]
- Liu, W.; Hu, R.; Li, Y.; Huang, Y.; Wang, Y.; Wei, Z.; Yu, E.; Guo, X. Cross-linking of poly(dimethylaminoethyl methacrylate) by phytic acid: pH-responsive adsorbent for high-efficiency removal of cationic and anionic dyes. RSC Adv. 2020, 10, 4232–4242. [Google Scholar] [CrossRef] [Green Version]
- Guo, Y.; Qian, S.; Wang, L.; Zeng, J.; Miao, R.; Meng, Y.; Jin, Y.; Chen, H.; Wang, B. Reversible antibiotic loading and pH-responsive release from polymer brushes on contact lenses for therapy and prevention of corneal infections. J. Mater. Chem. B 2020, 8, 10087–10092. [Google Scholar] [CrossRef]
- Ma, M.; Zhong, Y.; Jiang, X. Thermosensitive and pH-responsive tannin-containing hydroxypropyl chitin hydrogel with long-lasting antibacterial activity for wound healing. Carbohydr. Polym. 2020, 236, 116096. [Google Scholar] [CrossRef] [PubMed]
- Fu, Y.; Yang, L.; Zhang, J.; Hu, J.; Duan, G.; Liu, X.; Li, Y.; Gu, Z. Polydopamine antibacterial materials. Mater. Horizons 2021, 8, 1618–1633. [Google Scholar] [CrossRef] [PubMed]
- Li, X.; Wu, B.; Chen, H.; Nan, K.; Jin, Y.; Sun, L.; Wang, B. Recent developments in smart antibacterial surfaces to inhibit biofilm formation and bacterial infections. J. Mater. Chem. B 2018, 6, 4274–4292. [Google Scholar] [CrossRef] [PubMed]
- Ko, Y.; Jeong, H.Y.; Kwon, G.; Kim, D.; Lee, C.; You, J. pH-responsive polyaniline/polyethylene glycol composite arrays for colorimetric sensor application. Sens. Actuators B Chem. 2020, 305, 127447. [Google Scholar] [CrossRef]
- Lim, L.S.; Rosli, N.A.; Ahmad, I.; Mat Lazim, A.; Mohd Amin, M.C.I. Synthesis and swelling behavior of pH-sensitive semi-IPN superabsorbent hydrogels based on poly(acrylic acid) reinforced with cellulose nanocrystals. Nanomaterials 2017, 7, 399. [Google Scholar] [CrossRef] [Green Version]
- Chen, Y.; Sun, P. pH-sensitive polyampholyte microgels of poly(acrylic acid-co-vinylamine) as injectable hydrogel for controlled drug release. Polymers 2019, 11, 285. [Google Scholar] [CrossRef] [Green Version]
- Zeinali, E.; Haddadi-Asl, V.; Roghani-Mamaqani, H. Synthesis of dual thermo- and pH-sensitive poly(N-isopropylacrylamide-co-acrylic acid)-grafted cellulose nanocrystals by reversible addition-fragmentation chain transfer polymerization. J. Biomed. Mater. Res. Part A 2018, 106, 231–243. [Google Scholar] [CrossRef] [PubMed]
- Gupta, P.; Purwar, R. Electrospun pH responsive poly (acrylic acid-co- acrylamide) hydrogel nanofibrous mats for drug delivery. J. Polym. Res. 2020, 27, 296. [Google Scholar] [CrossRef]
- González-Henríquez, C.M.; Alfaro-Cerda, P.A.; Veliz-Silva, D.F.; Sarabia-Vallejos, M.A.; Terraza, C.A.; Rodriguez-Hernandez, J. Micro-wrinkled hydrogel patterned surfaces using pH-sensitive monomers. Appl. Surf. Sci. 2018, 457, 902–913. [Google Scholar] [CrossRef]
- Li, Q.; Zhang, P.; Yang, C.; Duan, H.; Hong, W. Switchable adhesion between hydrogels by wrinkling. Extreme Mech. Lett. 2021, 43, 101193. [Google Scholar] [CrossRef]
- Nguyen, D.H.K.; Bazaka, O.; Bazaka, K.; Crawford, R.J.; Ivanova, E.P. Three-dimensional hierarchical wrinkles on polymer films: From chaotic to ordered antimicrobial topographies. Trends Biotechnol. 2020, 38, 558–571. [Google Scholar] [CrossRef] [PubMed]
- Modaresifar, K.; Azizian, S.; Ganjian, M.; Fratila-Apachitei, L.E.; Zadpoor, A.A. Bactericidal effects of nanopatterns: A systematic review. Acta Biomater. 2019, 83, 29–36. [Google Scholar] [CrossRef] [Green Version]
- González-Henríquez, C.M.; Sarabia-Vallejos, M.A.; Terraza, C.A.; del Campo-García, A.; Lopez-Martinez, E.; Cortajarena, A.L.; Casado-Losada, I.; Martínez-Campos, E.; Rodríguez-Hernández, J. Design and fabrication of biocompatible wrinkled hydrogel films with selective antibiofouling properties. Mater. Sci. Eng. C 2019, 97, 803–812. [Google Scholar] [CrossRef]
- Gratzl, G.; Paulik, C.; Hild, S.; Guggenbichler, J.P.; Lackner, M. Antimicrobial activity of poly(acrylic acid) block copolymers. Mater. Sci. Eng. C 2014, 38, 94–100. [Google Scholar] [CrossRef]
- Vargas-Alfredo, N.; Martínez-Campos, E.; Santos-Coquillat, A.; Dorronsoro, A.; Cortajarena, A.L.; del Campo, A.; Rodríguez-Hernández, J. Fabrication of biocompatible and efficient antimicrobial porous polymer surfaces by the Breath Figures approach. J. Colloid Interface Sci. 2018, 513, 820–830. [Google Scholar] [CrossRef] [PubMed]
- Cosgrove, S.E.; Qi, Y.; Kaye, K.S.; Harbarth, S.; Karchmer, A.W.; Carmeli, Y. The Impact of Methicillin Resistance in Staphylococcus aureus Bacteremia on Patient Outcomes: Mortality, Length of Stay, and Hospital Charges. Infect. Control Hosp. Epidemiol. 2005, 26, 166–174. [Google Scholar] [CrossRef]
- Klapetek, P.; Valtr, M.; Nečas, D.; Salyk, O.; Dzik, P. Atomic force microscopy analysis of nanoparticles in non-ideal conditions. Nanoscale Res. Lett. 2011, 6, 514. [Google Scholar] [CrossRef] [Green Version]
- Nečas, D.; Klapetek, P. Gwyddion: An open-source software for SPM data analysis. Open Phys. 2012, 10, 181–188. [Google Scholar] [CrossRef]
- Nirasay, S.; Badia, A.; Leclair, G.; Claverie, J.; Marcotte, I. Polydopamine-Supported Lipid Bilayers. Materials 2012, 5, 2621–2636. [Google Scholar] [CrossRef] [Green Version]
- González-Henríquez, C.M.; Sarabia Vallejos, M.A.; Rodríguez-Hernández, J. Wrinkles obtained by frontal polymerization/vitrification. In Wrinkled Polymer Surfaces; Springer International Publishing: Cham, Switzerland, 2019; pp. 63–84. [Google Scholar]
- Yuan, Z.; Wang, J.; Wang, Y.; Liu, Q.; Zhong, Y.; Wang, Y.; Li, L.; Lincoln, S.F.; Guo, X. Preparation of a poly(acrylic acid) based hydrogel with fast adsorption rate and high adsorption capacity for the removal of cationic dyes. RSC Adv. 2019, 9, 21075–21085. [Google Scholar] [CrossRef] [Green Version]
- Bhuyan, M.M.; Chandra Dafader, N.; Hara, K.; Okabe, H.; Hidaka, Y.; Rahman, M.M.; Mizanur Rahman Khan, M.; Rahman, N. Synthesis of potato starch-acrylic-acid hydrogels by gamma radiation and their application in dye adsorption. Int. J. Polym. Sci. 2016, 2016, 1–11. [Google Scholar] [CrossRef]
- Tan, G.; Chen, R.; Ning, C.; Zhang, L.; Ruan, X.; Liao, J. Effects of argon plasma treatment on surface characteristic of photopolymerization PEGDA-HEMA hydrogels. J. Appl. Polym. Sci. 2012, 124, 459–465. [Google Scholar] [CrossRef]
- Shaik, M.; Kuniyil, M.; Khan, M.; Ahmad, N.; Al-Warthan, A.; Siddiqui, M.; Adil, S. Modified polyacrylic acid-zinc composites: Synthesis, characterization and biological activity. Molecules 2016, 21, 292. [Google Scholar] [CrossRef] [PubMed] [Green Version]
- Jeon, J.-O.; Baik, J.; An, S.-J.; Jeon, S.-I.; Lee, J.-Y.; Lim, Y.-M.; Park, J.-S. Development and characterization of cross-linked poly(acrylic acid) hydrogel containing drug by radiation-based techniques. Preprints 2018, 2018010028. [Google Scholar] [CrossRef]
- Song, P.; Zhang, Y.; Kuang, J. Preparation and characterization of hydrophobically modified polyacrylamide hydrogels by grafting glycidyl methacrylate. J. Mater. Sci. 2007, 42, 2775–2781. [Google Scholar] [CrossRef]
- Huang, Y.; Yu, H.; Xiao, C. pH-sensitive cationic guar gum/poly (acrylic acid) polyelectrolyte hydrogels: Swelling and in vitro drug release. Carbohydr. Polym. 2007, 69, 774–783. [Google Scholar] [CrossRef]
- Maurer, J.J.; Eustace, D.J.; Ratcliffe, C.T. Thermal characterization of poly(acrylic acid). Macromolecules 1987, 20, 196–202. [Google Scholar] [CrossRef]
- Keim, T.; Gall, K. Synthesis, characterization, and cyclic stress-influenced degradation of a poly(ethylene glycol)-based poly(beta-amino ester). J. Biomed. Mater. Res. Part A 2010, 92A, 702–711. [Google Scholar] [CrossRef] [PubMed]
- Yin, J.; Yagüe, J.L.; Eggenspieler, D.; Gleason, K.K.; Boyce, M.C. Deterministic order in surface micro-topologies through sequential wrinkling. Adv. Mater. 2012, 24, 5441–5446. [Google Scholar] [CrossRef]
- Peng, S.; Li, W.; Zhang, J. Diffraction-pattern based on spontaneous wrinkled thin films. Mater. Trans. 2017, 58, 1–5. [Google Scholar] [CrossRef] [Green Version]
- Park, H.-G.; Jeong, H.-C.; Jung, Y.H.; Seo, D.-S. Control of the wrinkle structure on surface-reformed poly(dimethylsiloxane) via ion-beam bombardment. Sci. Rep. 2015, 5, 12356. [Google Scholar] [CrossRef] [PubMed] [Green Version]
- Jeong, H.-C.C.; Park, H.-G.G.; Lee, J.H.; Seo, D.-S.S. Localized ion-beam irradiation-induced wrinkle patterns. ACS Appl. Mater. Interfaces 2015, 7, 23216–23222. [Google Scholar] [CrossRef]
- Takei, A.; Jin, L.; Hutchinson, J.W.; Fujita, H. Ridge localizations and networks in thin films compressed by the incremental release of a large equi-biaxial pre-stretch in the substrate. Adv. Mater. 2014, 26, 4061–4067. [Google Scholar] [CrossRef] [Green Version]
- Huang, X.; Li, B.; Hong, W.; Cao, Y.-P.; Feng, X.-Q. Effects of tension–compression asymmetry on the surface wrinkling of film–substrate systems. J. Mech. Phys. Solids 2016, 94, 88–104. [Google Scholar] [CrossRef]
- Wang, Q.; Zhao, X. A three-dimensional phase diagram of growth-induced surface instabilities. Sci. Rep. 2015, 5, 8887. [Google Scholar] [CrossRef]
- Guvendiren, M.; Burdick, J.A. Stem cell response to spatially and temporally displayed and reversible surface topography. Adv. Healthc. Mater. 2013, 2, 155–164. [Google Scholar] [CrossRef]
- Viswanathan, P.; Guvendiren, M.; Chua, W.; Telerman, S.B.; Liakath-Ali, K.; Burdick, J.A.; Watt, F.M. Mimicking the topography of the epidermal-dermal interface with elastomer substrates. Integr. Biol. 2016, 8, 21–29. [Google Scholar] [CrossRef] [PubMed] [Green Version]
- Guvendiren, M.; Burdick, J.A. The control of stem cell morphology and differentiation by hydrogel surface wrinkles. Biomaterials 2010, 31, 6511–6518. [Google Scholar] [CrossRef] [PubMed]
- González-Henríquez, C.M.; Rodriguez-Umanzor, F.E.; Almagro-Correa, J.; Sarabia-Vallejos, M.A.; Martínez-Campos, E.; Esteban-Lucía, M.; del Campo-García, A.; Rodríguez-Hernández, J. Biocompatible fluorinated wrinkled hydrogel films with antimicrobial activity. Mater. Sci. Eng. C 2020, 114, 111031. [Google Scholar] [CrossRef] [PubMed]
- González-Henríquez, C.M.; Galleguillos-Guzmán, S.C.; Sarabia-Vallejos, M.A.; Santos-Coquillat, A.; Martínez-Campos, E.; Rodríguez-Hernández, J. Microwrinkled pH-sensitive hydrogel films and their role on the cell adhesion/proliferation. Mater. Sci. Eng. C 2019, 103, 109872. [Google Scholar] [CrossRef]
- Quan, C.-Y.; Wei, H.; Sun, Y.-X.; Cheng, S.-X.; Shen, K.; Gu, Z.-W.; Zhang, X.-Z.; Zhuo, R.-X. Polyethyleneimine modified biocompatible poly(N-isopropylacrylamide)-based nanogels for drug delivery. J. Nanosci. Nanotechnol. 2008, 8, 2377–2384. [Google Scholar] [CrossRef]
- Katchalsky, A.; Eisenberg, H. Molecular weight of polyacrylic and polymethacrylic acid. J. Polym. Sci. 1951, 6, 145–154. [Google Scholar] [CrossRef]
- Swift, T.; Paul, N.; Swanson, L.; Katsikogianni, M.; Rimmer, S. Förster resonance energy transfer across interpolymer complexes of poly(acrylic acid) and poly(acrylamide). Polymer 2017, 123, 10–20. [Google Scholar] [CrossRef] [Green Version]
- Michaels, A.S.; Morelos, O. Polyelectrolyte adsorption by kaolinite. Ind. Eng. Chem. 1955, 47, 1801–1809. [Google Scholar] [CrossRef]
- Borozenko, O.; Ou, C.; Skene, W.G.; Giasson, S. Polystyrene-block-poly(acrylic acid) brushes grafted from silica surfaces: pH- and salt-dependent switching studies. Polym. Chem. 2014, 5, 2242. [Google Scholar] [CrossRef]
- Wiśniewska, M.; Chibowski, S. Influence of temperature and purity of polyacrylic acid on its adsorption and surface structures at the ZrO2/polymer solution interface. Adsorpt. Sci. Technol. 2005, 23, 655–667. [Google Scholar] [CrossRef]
- Aureau, D.; Ozanam, F.; Allongue, P.; Chazalviel, J.-N. The titration of carboxyl-terminated monolayers revisited: In situ calibrated fourier transform infrared study of well-defined monolayers on silicon. Langmuir 2008, 24, 9440–9448. [Google Scholar] [CrossRef]
- Aulich, D.; Hoy, O.; Luzinov, I.; Brücher, M.; Hergenröder, R.; Bittrich, E.; Eichhorn, K.-J.; Uhlmann, P.; Stamm, M.; Esser, N.; et al. In situ studies on the switching behavior of ultrathin poly(acrylic acid) polyelectrolyte brushes in different aqueous environments. Langmuir 2010, 26, 12926–12932. [Google Scholar] [CrossRef]
- Palacios-Cuesta, M.; Cortajarena, A.L.; García, O.; Rodríguez-Hernández, J. Fabrication of functional wrinkled interfaces from polymer blends: Role of the surface functionality on the bacterial adhesion. Polymers 2014, 6, 2845–2861. [Google Scholar] [CrossRef] [Green Version]
- Richter, R.P.; Brisson, A.R. Following the formation of supported lipid bilayers on mica: A study combining AFM, QCM-D, and ellipsometry. Biophys. J. 2005, 88, 3422–3433. [Google Scholar] [CrossRef] [PubMed] [Green Version]
- Borisova, O.V.; Billon, L.; Richter, R.P.; Reimhult, E.; Borisov, O.V. PH- and electro-responsive properties of poly(acrylic acid) and poly(acrylic acid)-block-poly(acrylic acid-grad-styrene) brushes studied by quartz crystal microbalance with dissipation monitoring. Langmuir 2015, 31, 7684–7694. [Google Scholar] [CrossRef] [PubMed]
- Biesalski, M.; Johannsmann, D.; Rühe, J. Synthesis and swelling behavior of a weak polyacid brush. J. Chem. Phys. 2002, 117, 4988–4994. [Google Scholar] [CrossRef]
- Bahram, M.; Mohseni, N.; Moghtader, M. An introduction to hydrogels and some recent applications. In Emerging Concepts in Analysis and Applications of Hydrogels; InTech: London, UK, 2016. [Google Scholar]
- Lv, Q.; Shen, Y.; Qiu, Y.; Wu, M.; Wang, L. Poly(acrylic acid)/poly(acrylamide) hydrogel adsorbent for removing methylene blue. J. Appl. Polym. Sci. 2020, 137, 49322. [Google Scholar] [CrossRef]
- Jana, S.; Ray, J.; Mondal, B.; Pradhan, S.S.; Tripathy, T. pH responsive adsorption/desorption studies of organic dyes from their aqueous solutions by katira gum-cl-poly(acrylic acid-co-N-vinyl imidazole) hydrogel. Colloids Surf. A Physicochem. Eng. Asp. 2018, 553, 472–486. [Google Scholar] [CrossRef]











| Mole Composition Ratio | AAc (g) | PEGDA575 (g) | Irgacure 2959 * (μL) | MilliQ Water (μL) |
|---|---|---|---|---|
| 0:1 | 0 | 0.5 | 6.63 | 41.7 |
| 1:1 | 0.063 | 13.3 | 83.4 | |
| 5:1 | 0.313 | 40.0 | 250.0 | |
| 10:1 | 0.626 | 72.9 | 458.3 | |
| 15:1 | 0.939 | 106.0 | 666.0 |
| Mole Ratio (Expected Composition) | Conversion Degree of Each Monomer within the Wrinkled Hydrogel Formed | Real Composition | |
|---|---|---|---|
| AAc | PEGDA575 | ||
| 0:1 | 0% | 81.4% | 0:1 |
| 1:1 | 98.7% | 94.2% | 1.0:0.95 |
| 5:1 | 91.3% | 95.0% | 4.72:0.95 |
| 10:1 | 99.7% | 92.3% | 9.93:0.92 |
| 15:1 | 94.3% | 89.3% | 14.1:0.95 |
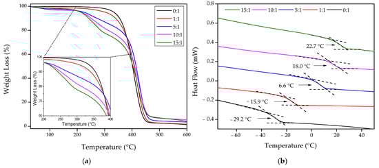
| Samples | TGA | |||
|---|---|---|---|---|
| (Weight Loss) | DSC | |||
| 260 °C | 340 °C | Residual Mass, 460 °C | Tg (°C) | |
| 0:1 | 0.80% | 6.00% | 3.30% | −29.2 |
| 1:1 | 2.70% | 10.00% | 4.20% | −15.9 |
| 5:1 | 8.60% | 17.50% | 6.90% | 6.6 |
| 10:1 | 11.50% | 23.60% | 9.20% | 18 |
| 15:1 | 14.00% | 27.20% | 9.10% | 22.7 |
Publisher’s Note: MDPI stays neutral with regard to jurisdictional claims in published maps and institutional affiliations. |
© 2021 by the authors. Licensee MDPI, Basel, Switzerland. This article is an open access article distributed under the terms and conditions of the Creative Commons Attribution (CC BY) license (https://creativecommons.org/licenses/by/4.0/).
Share and Cite
González-Henríquez, C.M.; Rodríguez-Umanzor, F.E.; Alegría-Gómez, M.N.; Terraza-Inostroza, C.A.; Martínez-Campos, E.; Cue-López, R.; Sarabia-Vallejos, M.A.; García-Herrera, C.; Rodríguez-Hernández, J. Wrinkling on Stimuli-Responsive Functional Polymer Surfaces as a Promising Strategy for the Preparation of Effective Antibacterial/Antibiofouling Surfaces. Polymers 2021, 13, 4262. https://doi.org/10.3390/polym13234262
González-Henríquez CM, Rodríguez-Umanzor FE, Alegría-Gómez MN, Terraza-Inostroza CA, Martínez-Campos E, Cue-López R, Sarabia-Vallejos MA, García-Herrera C, Rodríguez-Hernández J. Wrinkling on Stimuli-Responsive Functional Polymer Surfaces as a Promising Strategy for the Preparation of Effective Antibacterial/Antibiofouling Surfaces. Polymers. 2021; 13(23):4262. https://doi.org/10.3390/polym13234262
Chicago/Turabian StyleGonzález-Henríquez, Carmen M., Fernando E. Rodríguez-Umanzor, Matías N. Alegría-Gómez, Claudio A. Terraza-Inostroza, Enrique Martínez-Campos, Raquel Cue-López, Mauricio A. Sarabia-Vallejos, Claudio García-Herrera, and Juan Rodríguez-Hernández. 2021. "Wrinkling on Stimuli-Responsive Functional Polymer Surfaces as a Promising Strategy for the Preparation of Effective Antibacterial/Antibiofouling Surfaces" Polymers 13, no. 23: 4262. https://doi.org/10.3390/polym13234262
APA StyleGonzález-Henríquez, C. M., Rodríguez-Umanzor, F. E., Alegría-Gómez, M. N., Terraza-Inostroza, C. A., Martínez-Campos, E., Cue-López, R., Sarabia-Vallejos, M. A., García-Herrera, C., & Rodríguez-Hernández, J. (2021). Wrinkling on Stimuli-Responsive Functional Polymer Surfaces as a Promising Strategy for the Preparation of Effective Antibacterial/Antibiofouling Surfaces. Polymers, 13(23), 4262. https://doi.org/10.3390/polym13234262

