The Optical Properties of Metal-Free Polymer Films with Self-Assembled Nanoparticles
Abstract
1. Introduction
2. Materials and Methods
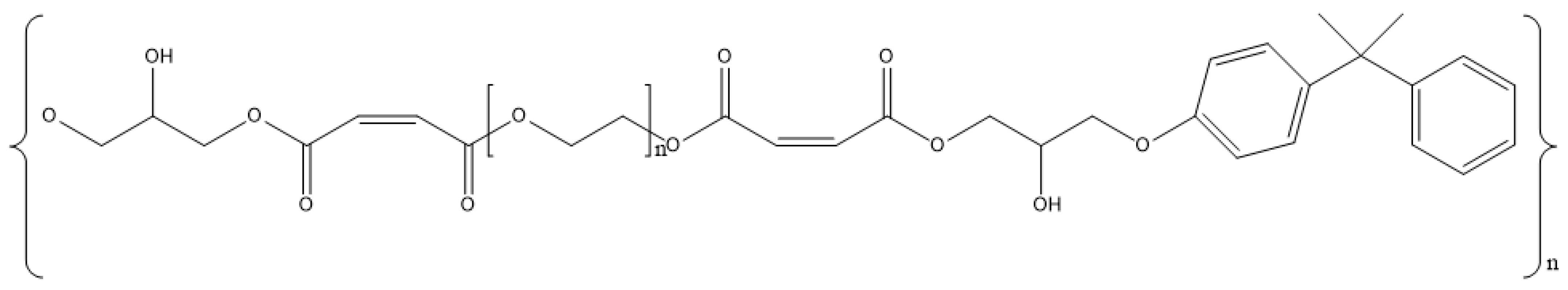
2.1. Synthesis of Polymer
2.2. Thin-Film Preparation
2.3. Characterization
3. Results and Discussion
4. Conclusions
Supplementary Materials
Author Contributions
Funding
Institutional Review Board Statement
Informed Consent Statement
Data Availability Statement
Conflicts of Interest
References
- Gomard, G.; Preinfalk, J.B.; Egel, A.; Lemmer, U. Photon management in solution-processed organic light-emitting diodes: A review of light outcoupling micro- and nanostructures. J. Photon. Energy 2016, 6, 030901. [Google Scholar] [CrossRef][Green Version]
- Gu, G.; Garbuzov, D.Z.; Burrows, P.E.; Venkatesh, S.; Forrest, S.R.; Thompson, M.E. High-external-quantum-efficiency organic light-emitting devices. Opt. Lett. 1997, 22, 396–398. [Google Scholar] [CrossRef]
- Park, S.H.; Roy, A.; Beaupré, S.; Cho, S.; Coates, N.; Moon, J.S.; Moses, D.; Leclerc, M.; Lee, K.; Heeger, A.J. Bulk heterojunction solar cells with internal quantum efficiency approaching 100%. Nat. Photon. 2009, 3, 297–302. [Google Scholar] [CrossRef]
- Zheo, J.; Wang, A.; Atermatt, P.; Green, M.A. Twenty-four percent efficient Silicon Solar Cells with Double Layer Antireflection Coatings and Reduced Resistance Loss. Appl. Phys. Lett. 1995, 66, 3636–3638. [Google Scholar] [CrossRef]
- Jiao, K.L.; Anderson, W.A. SiO2/TiO2 double-layer antireflective coating deposited at room temperature for metal/insulator/n-Si/p-Si solar cells. Sol. Cells 1987, 22, 229–236. [Google Scholar] [CrossRef]
- Lee, Y.-J.; Ruby, D.S.; Peters, D.W.; McKenzie, B.B.; Hsu, J.W.P. ZnO nanostructures as efficient antireflection layers in solar cells. Nano Lett. 2008, 8, 1501–1505. [Google Scholar] [CrossRef] [PubMed]
- Leem, J.W.; Kim, S.; Lee, S.H.; Rogers, J.A.; Kim, E.; Yu, J.S. Efficiency enhancement of organic solar cells using hydrophobic antireflective inverted moth-eye nanopatterned PDMS films. Adv. Energy Mater. 2014, 4, 1301315. [Google Scholar] [CrossRef]
- Rahman, A.; Ashraf, A.; Xin, H.; Tong, X.; Sutter, P.; Eisaman, M.D.; Black, C.T. Sub-50-nm self-assembled nanotextures for enhanced broadband antireflection in silicon solar cells. Nat. Commun. 2015, 6, 5963. [Google Scholar] [CrossRef] [PubMed]
- Kwon, Y.W.; Park, J.; Kim, T.; Kang, S.H.; Kim, H.; Shin, J.; Jeon, S.; Hong, S.W. Flexible near-field nanopatterning with ultrathin, conformal phase masks on nonplanar substrates for biomimetic hierarchical photonic structures. ACS Nano 2016, 10, 4609–4617. [Google Scholar] [CrossRef]
- Dudem, B.; Heo, J.H.; Leem, J.W.; Yu, J.S.; Im, S.H. CH3NH3PbI3 planar perovskite solar cells with antireflection and self-cleaning function layers. J. Mater. Chem. A 2016, 4, 7573–7579. [Google Scholar] [CrossRef]
- Kim, J.K.; Chhajed, S.; Schubert, M.F.; Schubert, E.F.; Fischer, A.J.; Crawford, M.H.; Cho, J.; Kim, H.; Sone, C. Light-extraction enhancement of GaInN light-emitting diodes by graded-refractive-index indium tin oxide anti-reflection contact. Adv. Mater. 2008, 20, 801–804. [Google Scholar] [CrossRef]
- Song, Y.M.; Choi, E.S.; Park, G.C.; Park, C.Y.; Jang, S.J.; Lee, Y.T. Disordered antireflective nanostructures on GaN-based light emitting diodes using Ag nanoparticles for improved light extraction efficiency. Appl. Phys. Lett. 2010, 97, 093110. [Google Scholar] [CrossRef]
- Sung, Y.; Malay, R.E.; Wen, X.; Bezama, C.N.; Soman, V.V.; Huang, M.-H.; Garner, S.M.; Poliks, M.D.; Klotzkin, D. Anti-reflective coating with a conductive indium tin oxide layer on flexible glass substrates. Appl. Opt. 2018, 57, 2202–2207. [Google Scholar] [CrossRef] [PubMed]
- Kanamori, Y.; Ishimori, M.; Hane, K. High efficient light-emitting diodes with antireflection subwavelength gratings. IEEE Photon. Technol. Lett. 2002, 14, 1064–1066. [Google Scholar] [CrossRef]
- Song, Y.M.; Choi, E.S.; Yu, J.S.; Lee, Y.T. Light-extraction enhancement of red AlGaInP light-emitting diodes with antireflective subwavelength structures. Opt. Express 2009, 17, 20991–20997. [Google Scholar] [CrossRef]
- Chen, D.; Yan, Y.; Westenberg, E.; Niebauer, D.; Sakaitani, N.; Chaudhuri, S.; Sato, Y.; Takamatsu, M. Development of anti-reflection (AR) coating on plastic panels for display applications. J. Sol-Gel Sci. Technol. 2000, 19, 77–82. [Google Scholar] [CrossRef]
- Ho, Y.-H.; Ting, K.-H.; Chen, K.-Y.; Liu, S.-W.; Tian, W.-C.; Wei, P.-K. Omnidirectional antireflection polymer films nanoimprinted by density-graded nanoporous silicon and image improvement in display panel. Opt. Express 2013, 21, 29827–29835. [Google Scholar] [CrossRef] [PubMed]
- Leem, J.W.; Song, Y.M.; Yu, J.S. Biomimetic artificial Si compound eye surface structures with broadband and wide-angle antireflection properties for Si-based optoelectronic applications. Nanoscale 2013, 5, 10455–10460. [Google Scholar] [CrossRef]
- He, Y.; Zhang, W.; Zhang, S.; Kang, X.; Peng, W.; Xu, Y. Study of the photoconductive ZnO UV detector based on the electrically floated nanowire array. Sens. Actuators A 2012, 181, 6–12. [Google Scholar] [CrossRef]
- Lee, J.; Tanaka, T.; Uchiyama, S.; Tsuchiya, M.; Kamiya, T. Broadband double-layer antireflection coatings for semiconductor laser amplifiers. Jpn. J. Appl. Phys. 1997, 36, L52. [Google Scholar] [CrossRef]
- Braun, D.; Jungerman, R. Broadband multilayer antireflection coating for semiconductor laser facets. Opt. Lett. 1995, 20, 1154–1156. [Google Scholar] [CrossRef]
- Wang, Y.; Zeng, Z.; Li, J.; Chi, L.; Guo, X.; Lu, N. Biomimetic Antireflective Silicon Nanocones Array for Small Molecules Analysis. J. Am. Soc. Mass Spectrom. 2013, 24, 66–73. [Google Scholar] [CrossRef] [PubMed]
- Zhang, H.; Hu, X.; Sun, Y.; Zheng, Y.; Yan, L.; Jiang, B.; Chen, H.; Zhang, X. Design and sol-gel preparation of six-layer tri-wavelength ORMOSIL antireflective coating for high power laser system. RSC Adv. 2016, 6, 31769–31774. [Google Scholar] [CrossRef]
- Bacal, D.M.; Lal, N.N.; Jumabekov, A.N.; Hou, Q.; Hu, Y.; Lu, J.; Chesman, A.S.R.; Bach, U. Solution-processed antireflective coating for back-contact perovskite solar cells. Opt. Express 2020, 28, 12650–12660. [Google Scholar] [CrossRef] [PubMed]
- Hattori, H. Anti-reflection surface with particle coating deposited by electrostatic attraction. Adv. Mater. 2001, 13, 51–54. [Google Scholar] [CrossRef]
- Moghal, J.; Kobler, J.; Sauer, J.; Best, J.; Gardener, M.; Watt, A.; Wakefield, G. High-performance, single-layer antireflective optical coatings comprising mesoporous silica nanoparticles. ACS Appl. Mater. Interfaces 2012, 4, 854–859. [Google Scholar] [CrossRef]
- Chang, H.-W.; Lee, J.; Hofmann, S.; Kim, Y.H.; Müller-Meskamp, L.; Lüssem, B.; Wu, C.-C.; Leo, K.; Gather, M.C. Nano-particle based scattering layers for optical efficiency enhancement of organic light-emitting diodes and organic solar cells. J. Appl. Phys. 2013, 113, 204502. [Google Scholar] [CrossRef]
- Lee, S.; Choi, S.; Yi, J. Double-layer anti-reflection coating using MgF2 and CeO2 films on a crystalline silicon substrate. Thin Solid Films 2000, 376, 208–213. [Google Scholar] [CrossRef]
- Szczyrbowski, J.; Bräuer, G.; Teschner, G.; Zmelty, A. Antireflective coatings on large scale substrates produced by reactive twin-magnetron sputtering. J. Non-Cryst. Solids 1997, 218, 25–29. [Google Scholar] [CrossRef]
- Peng, Y.-J.; Huang, H.-X.; Xie, H. Rapid fabrication of antireflective pyramid structure on polystyrene film used as protective layer of solar cell. Sol. Energy Mater. Sol. Cells 2017, 171, 98–105. [Google Scholar] [CrossRef]
- Kraus, M.; Diao, Z.; Weishaupt, K.; Spatz, J.P.; Täschner, K.; Bartzsch, H.; Schmittgens, R.; Brunner, R. Combined ‘moth-eye’ structured and graded index-layer anti-reflecting coating for high index glasses. Opt. Express 2019, 27, 34655–34664. [Google Scholar] [CrossRef] [PubMed]
- Clapham, P.B.; Hutley, M.C. Reduction of lens reflexion by the “Moth Eye” principle. Nature 1973, 244, 281–282. [Google Scholar] [CrossRef]
- Gombert, A.; Glaubitt, W.; Rose, K.; Dreibholz, J.; Blasi, B.; Heinzel, A.; Sporn, D.; Doll, W.; Wittwer, V. Subwavelength-structured antireflective surfaces on glass. Thin Solid Film 1999, 351, 73–78. [Google Scholar] [CrossRef]
- Chang, Y.; Mei, G.; Chang, T.; Wang, T.; Lin, D.; Lee, C. Design and fabrication of a nanostructured surface combining antireflective and enhanced-hydrophobic effects. Nanotechnology 2007, 18, 285303. [Google Scholar] [CrossRef]
- Chen, H.; Chuang, S.; Lin, C.; Lin, Y. Using colloidal lithography to fabricate and optimize sub-wavelength pyramidal and honeycomb structures in solar cells. Opt. Express 2007, 15, 14793–14803. [Google Scholar] [CrossRef]
- Huang, Y.-F.; Chattopadhyay, S.; Jen, Y.-J.; Peng, C.-Y.; Liu, T.-A.; Hsu, Y.-K.; Pan, C.-L.; Lo, H.-C.; Hsu, C.-H.; Chang, Y.-H.; et al. Improved broadband and quasi-omnidirectional anti-reflection properties with biomimetic silicon nanostructures. Nat. Nanotechnol. 2007, 2, 770–774. [Google Scholar] [CrossRef]
- Srivastava, S.K.; Kumar, D.; Singh, P.K.; Kar, M.; Kumar, V.; Husain, M. Excellent antireflection properties of vertical silicon nanowire arrays. Sol. Energy Mater. Sol. Cells 2010, 94, 1506–1511. [Google Scholar] [CrossRef]
- Rombaut, J.; Fernandez, M.; Mazumder, P.; Pruneri, V. Nanostructured hybrid-material transparent surface with antireflection properties and a facile fabrication process. ACS Omega 2019, 4, 19840–19846. [Google Scholar] [CrossRef]
- Van de Groep, J.; Spinelli, P.; Polman, A. Single-step soft-imprinted large-area nanopatterned antireflection coating. Nano Lett. 2015, 15, 4223–4228. [Google Scholar] [CrossRef]
- Chen, Y.-C.; Huang, Z.-S.; Yang, H. Cicada-wing-inspired self-cleaning antireflection coatings on polymer substrates. ACS Appl. Mater. Interfaces 2015, 7, 25495–25505. [Google Scholar] [CrossRef]
- Lin, C.-Y.; Lin, K.-Y.A.; Yang, T.-W.; Chen, Y.-C.; Yang, H. Self-assembled hemispherical nanowell arrays for superhydrophobic antireflection coatings. J. Colloid Interface Sci. 2017, 490, 174–180. [Google Scholar] [CrossRef]
- Sahoo, K.C.; Lin, M.-K.; Chang, E.-Y.; Lu, Y.-Y.; Chen, C.-C.; Huang, J.-H.; Chang, C.-W. Fabrication of antireflective sub-wavelength structures on silicon nitride using nano cluster mask for solar cell application. Nanoscale Res. Lett. 2009, 4, 680–683. [Google Scholar] [CrossRef] [PubMed]
- Askar, K.; Gu, Z.; Leverant, C.J.; Wang, J.; Kim, C.; Jiang, B.; Jiang, P. Self-assembled nanoparticle antireflection coatings on geometrically complex optical surfaces. Opt. Lett. 2018, 43, 5238–5241. [Google Scholar] [CrossRef] [PubMed]
- Huang, C.-H.; Chang, C.-C.; Lee, K.-M.; Wang, J.-M.; Liu, C.-Y. Excitation-wavelength-dependent and substrate-dependent photoluminescence from the non-conjugated polymeric thin film with self-assembly nanoparticles. IEEE Photon. J. 2018, 10, 2600108. [Google Scholar] [CrossRef]
- Lee, K.-M.; Huang, C.-H.; Chang, C.-Y.; Chang, C.-C. The optical and microstructural characterization of the polymeric thin films with self-assembly nanoparticles prepared by spin-coating techniques. Crystals 2020, 10, 390. [Google Scholar] [CrossRef]
- Shin, C.-H.; Shin, E.Y.; Kim, M.-H.; Lee, J.-H.; Choi, Y. Nanoparticle scattering layer for improving light extraction efficiency of organic light emitting diodes. Opt. Express 2015, 23, A133–A139. [Google Scholar] [CrossRef]
- Riedel, D.; Wehlus, T.; Reusch, T.C.G.; Brabec, C.J. Polymer-based scattering layers for internal light extraction from organic light emitting diodes. Org. Electron. 2016, 32, 27–33. [Google Scholar] [CrossRef]
- Jenekhe, S.A.; Osaheni, J.A. Excimers and exciplexes of conjugated polymers. Science 1994, 265, 765–768. [Google Scholar] [CrossRef]
- Islam, K.; Alnuaimi, A.; Battal, E.; Okyay, A.K.; Nayfeh, A. Effect of gold nanoparticles size on light scattering for thin film amorphous-silicon solar cells. Solar Energy 2014, 103, 263–268. [Google Scholar] [CrossRef]
- Fu, Y.H.; Kuznetsov, A.I.; Miroshnichenko, A.E.; Yu, Y.F.; Luk’yanchuk, B. Directional visible light scattering by silicon nanoparticles. Nat. Commun. 2013, 4, 1527. [Google Scholar] [CrossRef]
- Sercombe, D.; Schwarz, S.; Del Pozo-Zamudio, O.; Liu, F.; Robinson, B.; Chekhovich, E.; Tartakovski, I.; Kolosov, O.; Tartakovskii, A. Optical investigation of the natural electron doping in thin MoS2 films deposited on dielectric substrates. Sci. Rep. 2013, 3, 3489. [Google Scholar] [CrossRef]
- Buscema, M.; Steele, G.A.; van der Zant, H.S.J.; Castellanos-Gomez, A. The effect of the substrate on the Raman and photoluminescence emission of single-layer MoS2. Nano Res. 2014, 7, 561–571. [Google Scholar] [CrossRef]
- Yu, Y.; Yu, Y.; Xu, C.; Cai, Y.-Q.; Su, L.; Zhang, Y.; Zhang, Y.-W.; Gundogdu, K.; Cao, L. Engineering substrate interactions for high luminescence efficiency of transition-metal dichalcogenide monolayers. Adv. Funct. Mater. 2016, 26, 4733–4739. [Google Scholar] [CrossRef]
- Yan, R.; Simpson, J.R.; Bertolazzi, S.; Brivio, J.; Watson, M.; Wu, X.; Kis, A.; Luo, T.; Hight Walker, A.R.; Xing, H.G. Thermal conductivity of monolayer molybdenum disulfide obtained from temperature-dependent Raman spectroscopy. ACS Nano 2014, 8, 986–993. [Google Scholar] [CrossRef]
- Scheuschner, N.; Ochedowski, O.; Kaulitz, A.-M.; Gillen, R.; Schleberger, M.; Maultzsch, J. Photoluminescence of freestanding single- and few-layer MoS2. Phys. Rev. B 2014, 89, 125406. [Google Scholar] [CrossRef]
- Choi, C.L.; Koski, K.J.; Sivasankar, S.; Alivisatos, A.P. Strain-dependent photoluminescence behavior of CdSe/CdS nanocrystals with spherical, linear, and branched topologies. Nano Lett. 2009, 9, 3544–3549. [Google Scholar] [CrossRef]
- Zhong, J.; Yang, X.; Lou, S.; Zhou, S. Substrate-dependent morphology and photoluminescence of MoS2 nanobelt arrays. Mater. Lett. 2017, 191, 26–29. [Google Scholar] [CrossRef]
- Lippert, S.; Schneider, L.M.; Renaud, D.; Kang, K.N.; Ajayi, O.; Kuhnert, J.; Halbich, M.-U.; Abdulmunem, O.M.; Lin, X.; Hassoon, K.; et al. Influence of the substrate material on the optical properties of tungsten diselenide monolayers. 2D Mater. 2017, 4, 025045. [Google Scholar] [CrossRef]
- Liu, Z.; Amani, M.; Najmaei, S.; Xu, Q.; Zou, X.; Zho, W.; Yu, T.; Qiu, C.; Birdwell, A.G.; Crowne, F.J.; et al. Strain and structure heterogeneity in MoS2 atomic layers grown by chemical vapour deposition. Nat. Commun. 2014, 5, 5246. [Google Scholar] [CrossRef] [PubMed]
- Plechinger, G.; Schrettenbrunner, F.-X.; Eroms, J.; Weiss, D.; Schüller, C.; Korn, T. Low-temperature photoluminescence of oxide-covered single-layer MoS2. Phys. Status Solidi (RRL) 2012, 6, 126–128. [Google Scholar] [CrossRef]
- Lin, Y.; Ling, X.; Yu, L.; Huang, S.; Hsu, A.L.; Lee, Y.-H.; Kong, J.; Dresselhaus, M.S.; Palacios, T. Dielectric screening of excitons and trions in single-layer MoS2. Nano Lett. 2014, 14, 5569–5576. [Google Scholar] [CrossRef] [PubMed]
- Keldysh, L.V. Coulomb interaction in thin semiconductor and semimetal films. JETP Lett. 1980, 29, 658–661. [Google Scholar]
- Keldysh, L.V. Excitons in semiconductor–dielectric nanostructures. Phys. Status Solidi A 1997, 164, 3–12. [Google Scholar] [CrossRef]
- Ekimov, A.I.; Efros, A.L.; Onushchenko, A.A. Quantum size effect in semiconductor microcrystals. Solid State Commun. 1985, 56, 921–924. [Google Scholar] [CrossRef]
- Zhang, C.; Zhang, J.; Zeng, W.; Zheng, N.; Li, W.; Gao, W.; Yu, G.; Yang, C. Benzobisthiadiazole-alt-bithiazole copolymers with deep HOMO levels for good-performance field-effect transistors with air stability and a high on/off ratio. Polym. Chem. 2016, 7, 2808–2814. [Google Scholar] [CrossRef]
- Costa, J.C.S.; Taveira, R.J.S.; Lima, C.F.R.A.C.; Mendes, A.; Santos, L.M.N.B.F. Optical Band Gaps of Organic Semiconductor Materials. Opt. Mater. 2016, 58, 51–60. [Google Scholar] [CrossRef]
- Bhadwal, A.S.; Tripathi, R.M.; Gupta, R.K.; Kumar, N.; Singh, R.P.; Shrivastav, A. Biogenic synthesis and photocatalytic activity of CdS nanoparticles. RSC Adv. 2014, 4, 9484–9490. [Google Scholar] [CrossRef]







Publisher’s Note: MDPI stays neutral with regard to jurisdictional claims in published maps and institutional affiliations. |
© 2021 by the authors. Licensee MDPI, Basel, Switzerland. This article is an open access article distributed under the terms and conditions of the Creative Commons Attribution (CC BY) license (https://creativecommons.org/licenses/by/4.0/).
Share and Cite
Chang, C.-C.; Lee, K.-M.; Huang, C.-H. The Optical Properties of Metal-Free Polymer Films with Self-Assembled Nanoparticles. Polymers 2021, 13, 4230. https://doi.org/10.3390/polym13234230
Chang C-C, Lee K-M, Huang C-H. The Optical Properties of Metal-Free Polymer Films with Self-Assembled Nanoparticles. Polymers. 2021; 13(23):4230. https://doi.org/10.3390/polym13234230
Chicago/Turabian StyleChang, Chung-Cheng, Kwang-Ming Lee, and Chia-Hong Huang. 2021. "The Optical Properties of Metal-Free Polymer Films with Self-Assembled Nanoparticles" Polymers 13, no. 23: 4230. https://doi.org/10.3390/polym13234230
APA StyleChang, C.-C., Lee, K.-M., & Huang, C.-H. (2021). The Optical Properties of Metal-Free Polymer Films with Self-Assembled Nanoparticles. Polymers, 13(23), 4230. https://doi.org/10.3390/polym13234230

