Suzuki–Miyaura Catalyst-Transfer Polycondensation of Triolborate-Type Carbazole Monomers
Abstract
:1. Introduction
2. Materials and Methods
3. Results and Discussion
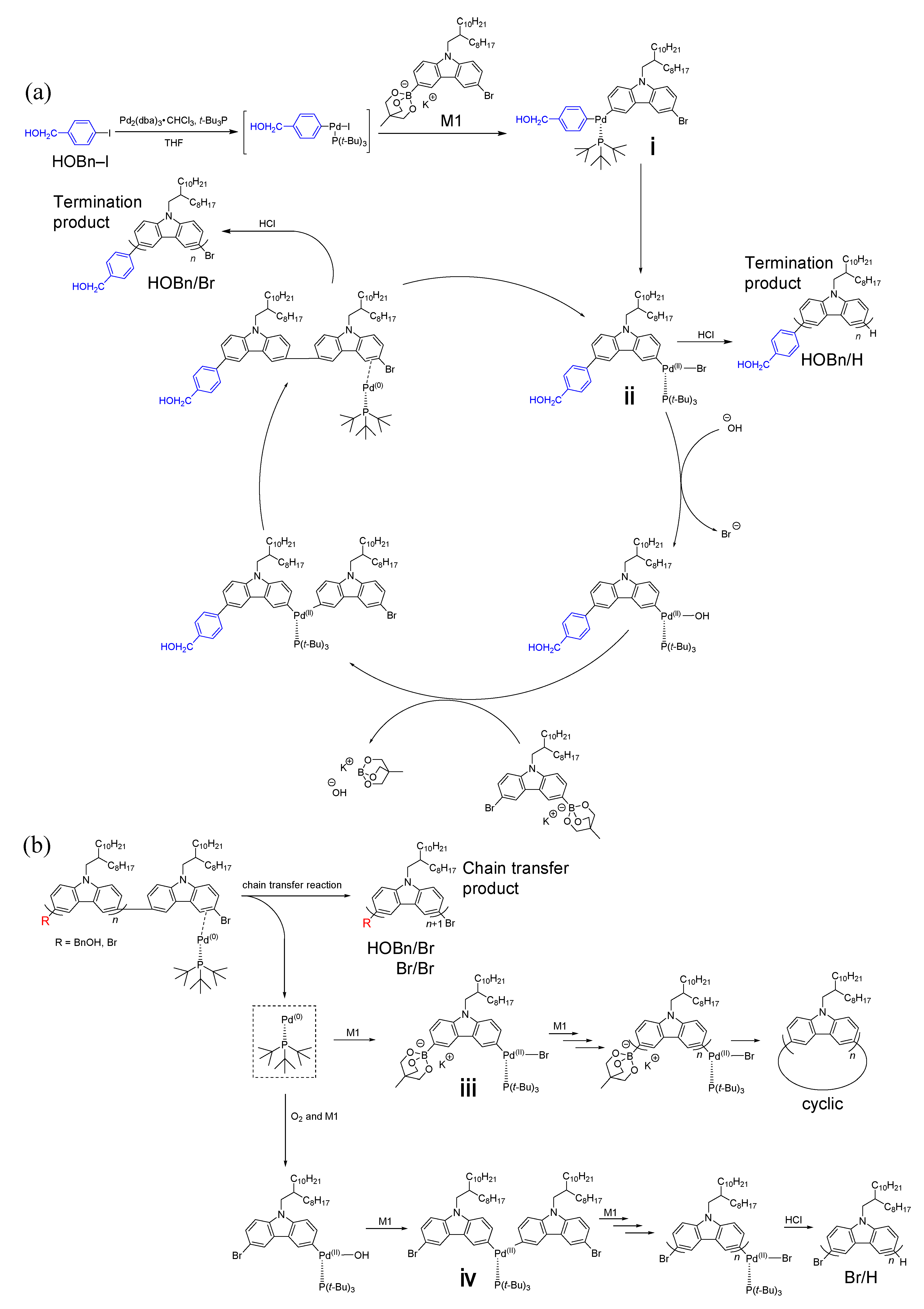
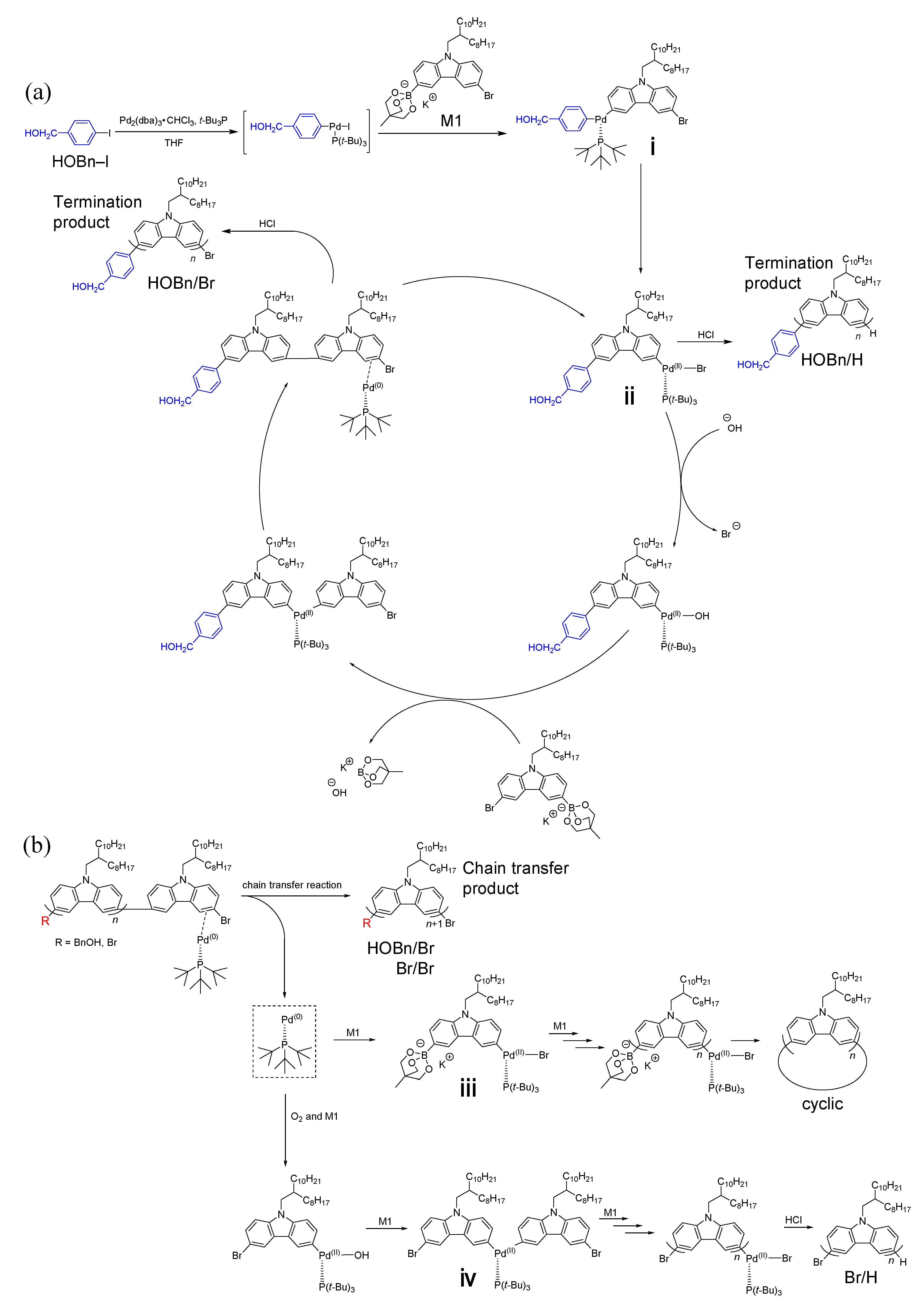
3.1. SCTP of M1 to Produce 3,6-PCz
3.2. SCTP of M2 to Produce 2,7-PCz
3.3. Random Copolymerization of Triolborate-Type Carbazole and Fluorene Monomers
3.4. Synthesis of 2,7-PCz-Containing Diblock Copolymers Using Macroinitiators
4. Conclusions
Supplementary Materials
Author Contributions
Funding
Institutional Review Board Statement
Informed Consent Statement
Conflicts of Interest
References
- Moliton, A.; Hiorns, R.C. Review of electronic and optical properties of semiconducting π-conjugated polymers: Applications in optoelectronics. Polym. Int. 2004, 53, 1397–1412. [Google Scholar] [CrossRef]
- Guo, X.; Baumgarten, M.; Müllen, K. Designing π-conjugated polymers for organic electronics. Prog. Polym. Sci. 2013, 38, 1832–1908. [Google Scholar] [CrossRef]
- Hide, F.; Díaz-García, M.A.; Schwartz, B.J.; Heeger, A.J. New developments in the photonic applications of conjugated polymers. Acc. Chem. Res. 1997, 30, 430–436. [Google Scholar] [CrossRef]
- Grimsdale, A.C.; Chan, K.L.; Martin, R.E.; Jokisz, P.G.; Holmes, A.B. Synthesis of light-emitting conjugated polymers for applications in electroluminescent devices. Chem. Rev. 2009, 109, 897–1091. [Google Scholar] [PubMed]
- Kimpel, J.; Michinobu, T. Conjugated polymers for functional applications: Lifetime and performance of polymeric organic semiconductors in organic field-effect transistors. Polym. Int. 2021, 70, 367–373. [Google Scholar] [CrossRef]
- Yang, J.; Zhao, Z.; Wang, S.; Guo, Y.; Liu, Y. Insight into high-performance conjugated polymers for organic field-effect transistors. Chem 2018, 4, 2748–2785. [Google Scholar] [CrossRef] [Green Version]
- Cheng, Y.J.; Yang, S.H.; Hsu, C.S. Synthesis of conjugated polymers for organic solar cell applications. Chem. Rev. 2009, 109, 5868–5923. [Google Scholar] [CrossRef]
- Su, Y.-W.; Lan, S.-C.; Wei, K.-H. Organic photovoltaics. Mater. Today 2012, 12, 554–563. [Google Scholar] [CrossRef]
- Han, S.T.; Zhou, Y.; Roy, V.A.L. Towards the development of flexible non-volatile memories. Adv. Mater. 2013, 25, 5425–5449. [Google Scholar] [CrossRef]
- Heremans, P.; Gelinck, G.H.; Müller, R.; Baeg, K.-J.; Kim, D.-Y.; Noh, Y.-Y. Polymer and organic nonvolatile memory devices. Chem. Mater. 2010, 23, 341–358. [Google Scholar] [CrossRef]
- Hsu, L.C.; Isono, T.; Lin, Y.C.; Kobayashi, S.; Chiang, Y.C.; Jiang, D.H.; Hung, C.C.; Ercan, E.; Yang, W.C.; Hsieh, H.C.; et al. Stretchable OFET memories: Tuning the morphology and the charge-trapping ability of conjugated block copolymers through soft segment branching. ACS Appl. Mater. Interfaces 2021, 13, 2932–2943. [Google Scholar] [CrossRef]
- Yamamoto, T.; Komarudin, D.; Arai, M.; Lee, B.-L.; Suganuma, H.; Asakawa, N.; Inoue, Y.; Kubota, K.; Sasaki, S.; Fukuda, T.; et al. Extensive studies on π-stacking of poly(3-alkylthiophene-2,5-diyl)s and poly(4-alkylthiazole-2,5-diyl)s by optical spectroscopy, NMR analysis, light scattering analysis, and X-ray crystallography. J. Am. Chem. Soc. 1998, 120, 2047–2058. [Google Scholar] [CrossRef]
- McCullough, R.D. The chemistry of conducting polythiophenes. Adv. Mater. 1998, 10, 93–116. [Google Scholar] [CrossRef]
- Han, J.; Zong, L.; Liu, C.; Wang, J.; Jian, X. Nickel-catalysed Kumada polycondensation of di-functionalized Grignard reagent with aryl fluoride. Polym. Int. 2016, 65, 526–534. [Google Scholar] [CrossRef]
- Tamba, S.; Okubo, Y.; Sugie, A.; Mori, A. Synthesis of π-conjugated poly(thienylenearylene)s with nickel-catalyzed C–H functionalization polycondensation. Polym. J. 2012, 44, 1209–1213. [Google Scholar] [CrossRef] [Green Version]
- Siddiqui, M.N.; Mansha, M.; Mehmood, U.; Ullah, N.; Al-Betar, A.F.; Al-Saadi, A.A. Synthesis and characterization of functionalized polythiophene for polymer-sensitized solar cell. Dyes Pigment. 2017, 141, 406–412. [Google Scholar] [CrossRef]
- Rehahn, M.; Schlüter, A.D.; Wegner, G.; Feast, W.J. Soluble poly(para-phenylene)s. 1. Extension of the Yamamoto synthesis to dibromobenzenes substituted with flexible side chains. Polymer 1989, 30, 1054–1059. [Google Scholar] [CrossRef]
- Yamamoto, T.; Yamamoto, A. A novel type of polycondensation of polyhalogenated organic aromatic compounds producing thermostable polyphenylene type polymers promoted by nickel complexes. Chem. Lett. 1977, 6, 353–356. [Google Scholar] [CrossRef]
- Chen, L.; Wang, K.; Mahmoud, S.M.; Li, Y.; Huang, H.; Huang, W.; Xu, J.; Dun, C.; Carroll, D.; Pietrangelo, A. Effects of replacing thiophene with 5,5-dimethylcyclopentadiene in alternating poly(phenylene), poly(3-hexylthiophene), and poly(fluorene) copolymer derivatives. Polym. Chem. 2015, 6, 7533–7542. [Google Scholar] [CrossRef]
- Ranger, M.; Rondeau, D.; Leclerc, M. New well-defined poly(2,7-fluorene) derivatives: Photoluminescence and base doping. Macromolecules 1997, 30, 7686–7691. [Google Scholar] [CrossRef]
- Zheng, M.; Ding, L.; Lin, Z.; Karasz, F.E. Synthesis and characterization of fluorenediylvinylene and thiophenediylvinylene-containing terphenylene-based copolymers. Macromolecules 2002, 35, 9939–9946. [Google Scholar] [CrossRef]
- Lightowler, S.; Hird, M. Palladium-catalyzed cross-coupling reactions in the synthesis of novel aromatic polymers. Chem. Mater. 2004, 16, 3963–3971. [Google Scholar] [CrossRef]
- Yuan, C.; Fang, Q. A new procedure for the synthesis of π-conjugated polymers via ligand-free iron(iii)-catalyzed oxidative homocoupling reaction of Grignard reagents. RSC Adv. 2012, 2, 8055–8060. [Google Scholar] [CrossRef]
- Loewe, R.S.; Ewbank, P.C.; Liu, J.; Zhai, L.; McCullough, R.D. Regioregular, head-to-tail coupled poly (3-alkylthiophenes) made easy by the GRIM method: Investigation of the reaction and the origin of regioselectivity. Macromolecules 2001, 34, 4324–4333. [Google Scholar] [CrossRef]
- Miyakoshi, R.; Yokoyama, A.; Yokozawa, T. Catalyst-transfer polycondensation. Mechanism of Ni-catalyzed chain-growth polymerization leading to well-defined poly(3-hexylthiophene). J. Am. Chem. Soc. 2005, 127, 17542–17547. [Google Scholar] [CrossRef]
- Yokoyama, A.; Suzuki, H.; Kubota, Y.; Ohuchi, K.; Higashimura, H.; Yokozawa, T. Chain-growth polymerization for the synthesis of polyfluorene via Suzuki-Miyaura coupling reaction from an externally added initiator unit. J. Am. Chem. Soc. 2007, 129, 7236–7237. [Google Scholar] [CrossRef]
- Morin, J.-F.; Leclerc, M.; Adés, D.; Siove, A. Polycarbazoles: 25 years of progress. Macromol. Rapid Commun. 2005, 26, 761–778. [Google Scholar] [CrossRef]
- Xu, F.; Kim, J.-H.; Kim, H.U.; Jang, J.-H.; Yook, K.S.; Lee, J.Y.; Hwang, D.-H. Synthesis of high-triplet-energy host polymer for blue and white electrophosphorescent light-emitting diodes. Macromolecules 2014, 47, 7397–7406. [Google Scholar] [CrossRef]
- Huang, J.; Niu, Y.H.; Yang, W.; Mo, Y.Q.; Yuan, M.; Cao, Y. Novel electroluminescent polymers derived from carbazole and benzothiadiazole. Macromolecules 2002, 35, 6080–6082. [Google Scholar] [CrossRef]
- Li, Z.A.; Liu, Y.; Yu, G.; Wen, Y.; Guo, Y.; Ji, L.; Qin, J.; Li, Z. A new carbazole-constructed hyperbranched polymer: Convenient one-pot synthesis, hole-transporting ability, and field-effect transistor properties. Adv. Funct. Mater. 2009, 19, 2677–2683. [Google Scholar] [CrossRef]
- Liu, S.-J.; Lin, W.-P.; Yi, M.-D.; Xu, W.-J.; Tang, C.; Zhao, Q.; Ye, S.-H.; Liu, X.-M.; Huang, W. Conjugated polymers with cationic iridium (iii) complexes in the side-chain for flash memory devices utilizing switchable through-space charge transfer. J. Mater. Chem. 2012, 22, 22964–22970. [Google Scholar] [CrossRef]
- Luo, J.; Xie, G.; Gong, S.; Chen, T.; Yang, C. Creating a thermally activated delayed fluorescence channel in a single polymer system to enhance exciton utilization efficiency for bluish-green electroluminescence. Chem. Commun. 2016, 52, 2292–2295. [Google Scholar] [CrossRef]
- Michinobu, T.; Kumazawa, H.; Otsuki, E.; Usui, H.; Shigehara, K. Synthesis and properties of nitrogen-linked poly(2,7-carbazole)s as hole-transport material for organic light emitting diodes. J. Polym. Sci. A Polym. Chem. 2009, 47, 3880–3891. [Google Scholar] [CrossRef]
- Yi, L.; Wang, X. Theoretical investigation of nitrogen-linked poly(2,7-carbazole)s as hole-transport materials for organic light emitting diodes. Comp. Theor. Chem. 2011, 969, 71–75. [Google Scholar] [CrossRef]
- Peng, F.; Wang, X.; Guo, T.; Xiong, J.; Ying, L.; Cao, Y. Realizing efficient bipolar deep-blue light-emitting poly (2,7-carbazole) derivatives by suppressing intramolecular charge transfer. Organic 2019, 67, 34–42. [Google Scholar] [CrossRef]
- Li, J.; Dierschke, F.; Wu, J.; Grimsdale, A.C.; Müllen, K. Poly(2,7-carbazole) and perylene tetracarboxydiimide: A promising donor/acceptor pair for polymer solar cells. J. Mater. Chem. 2006, 16, 96–100. [Google Scholar] [CrossRef]
- Blouin, N.; Leclerc, M. Poly(2,7-carbazole)s: Structure-property relationships. Acc. Chem. Res. 2008, 41, 1110–1119. [Google Scholar] [CrossRef]
- Wakim, S.; Beaupré, S.; Blouin, N.; Aich, B.; Rodman, S.; Gaudiana, R.; Tao, Y.; Leclerc, M. Highly efficient organic solar cells based on a poly(2,7-carbazole) derivative. J. Mater. Chem. 2009, 19, 5351–5358. [Google Scholar] [CrossRef]
- Morin, J.-F.; Leclerc, M. Syntheses of conjugated polymers derived from N-alkyl-2,7-carbazoles. Macromolecules 2001, 34, 4680–4682. [Google Scholar] [CrossRef]
- Zhang, Z.-B.; Fujiki, M.; Tang, H.-Z.; Motonaga, M.; Torimitsu, K. The first high molecular weight poly(N-alkyl-3,6-carbazole)s. Macromolecules 2002, 35, 1988–1990. [Google Scholar] [CrossRef]
- Schroot, R.; Schubert, U.S.; Jäger, M. Poly(N-alkyl-3,6-carbazole)s via Kumada catalyst transfer polymerization: Impact of metal–halogen exchange. Macromolecules 2016, 49, 8801–8811. [Google Scholar] [CrossRef]
- Wen, H.; Ge, Z.; Liu, Y.; Yokozawa, T.; Lu, L.; Ouyang, X.; Tan, Z. Efficient synthesis of well-defined polycarbazoles via catalyst-transfer Kumada coupling polymerization. Eur. Polym. J. 2013, 49, 3740–3743. [Google Scholar] [CrossRef]
- Schroot, R.; Schubert, U.S.; Jäger, M. Poly(N-alkyl-3,6-carbazole)s via Suzuki–Miyaura polymerization: From macrocyclization toward end functionalization. Macromolecules 2017, 50, 1319–1330. [Google Scholar] [CrossRef]
- Brown, H.C.; Zaidlewicz, M. Organic Synthesis via Boranes; Aldrich: Milwaukee, WI, USA, 2001; Volume 2. [Google Scholar]
- Miyaura, N.; Suzuki, A. Palladium-catalyzed cross-coupling reactions of organoboron compounds. Chem. Rev. 1995, 95, 2457–2483. [Google Scholar] [CrossRef] [Green Version]
- Yamamoto, Y.; Takizawa, M.; Yu, X.-Q.; Miyaura, N. Cyclic triolborates: Air- and water-stable ate complexes of organoboronic acids. Angew. Chem. Int. Ed. 2008, 47, 928–931. [Google Scholar] [CrossRef]
- Li, G.-Q.; Yamamoto, Y.; Miyaura, N. Double-coupling of dibromo arenes with aryltriolborates for synthesis of diaryl-substituted planar frameworks. Tetrahedron 2011, 67, 6804–6811. [Google Scholar] [CrossRef] [Green Version]
- Sakashita, S.; Takizawa, M.; Sugai, J.; Ito, H.; Yamamoto, Y. Tetrabutylammonium 2-pyridyltriolborate salts for Suzuki-Miyaura cross-coupling reactions with aryl chlorides. Org. Lett. 2013, 15, 4308–4311. [Google Scholar] [CrossRef]
- Kobayashi, S.; Fujiwara, K.; Jiang, D.; Yamamoto, T.; Tajima, K.; Yamamoto, Y.; Isono, T.; Satoh, T. Suzuki–Miyaura catalyst-transfer polycondensation of triolborate-type fluorene monomer: Toward rapid access to polyfluorene-containing block and graft copolymers from various macroinitiators. Polym. Chem. 2020, 11, 6832–6839. [Google Scholar] [CrossRef]
- Zhang, H.-H.; Xing, C.-H.; Hu, Q.-S.; Hong, K. Controlled Pd(0)/ t-Bu3P-catalyzed Suzuki cross-coupling polymerization of AB-type monomers with ArPd(t-Bu3P)X or Pd2(dba)3/t-Bu3P/ArX as the initiator. Macromolecules 2015, 48, 967–978. [Google Scholar] [CrossRef]
- Lee, J.; Park, H.; Hwang, S.-H.; Lee, I.-H.; Choi, T.-L. RuPhos Pd precatalyst and MIDA boronate as an effective combination for the precision synthesis of poly(3-hexylthiophene): Systematic investigation of the effects of boronates, halides, and ligands. Macromolecules 2020, 53, 3306–3314. [Google Scholar] [CrossRef]
- Beryozkina, T.; Senkovskyy, V.; Kaul, E.; Kiriy, A. Kumada catalyst-transfer polycondensation of thiophene-based oligomers: Robustness of a chain-growth mechanism. Macromolecules 2008, 41, 7817–7823. [Google Scholar] [CrossRef]
- Doubina, N.; Ho, A.; Jen, A.K.-Y.; Luscombe, C.K. Effect of initiators on the Kumada catalyst-transfer polycondensation reaction. Macromolecules 2009, 42, 7670–7677. [Google Scholar] [CrossRef]
- Marshall, N.; Sontag, S.K.; Locklin, J. Substituted poly(p-phenylene) thin films via surface-initiated kumada-type catalyst transfer polycondensation. Macromolecules 2010, 43, 2137–2144. [Google Scholar] [CrossRef]
- Adamo, C.; Amatore, C.; Ciofini, I.; Jutand, A.; Lakmini, H. Mechanism of the palladium-catalyzed homocoupling of arylboronic acids: Key involvement of a palladium peroxo complex. J. Am. Chem. Soc. 2006, 128, 6829–6836. [Google Scholar] [CrossRef] [PubMed]
- Butters, M.; Harvey, J.N.; Jover, J.; Lennox, A.J.J.; Lloyd-Jones, G.C.L.; Murray, P.M. Aryl trifluoroborates in Suzuki-Miyaura coupling: The roles of endogenous aryl boronic acid and fluoride. Angew. Chem. 2010, 122, 5282–5286. [Google Scholar] [CrossRef]
- Lemasson, F.; Berton, N.; Tittmann, J.; Hennrich, F.; Kappes, M.M.; Mayor, M. Polymer library comprising fluorene and carbazole homo- and copolymers for selective single-walled carbon nanotubes extraction. Macromolecules 2012, 45, 713–722. [Google Scholar] [CrossRef]

















| Run | Monomer | [monomer]0/[FI−CH2OH]0 | Temp (°C) | Mn,SECb (g mol−1) | ÐM b | Conv. (%) | Yield c (%) |
|---|---|---|---|---|---|---|---|
| 1 | M1 | 15/1 | 30 | 5500 | 1.32 | 83.2 | 80.6 |
| 2 d | M1 | 15/1 | 30 | 5900 | 1.30 | 74.2 | 65.2 |
| 3 | M1 | 15/1 | −10 | 6300 | 1.19 | 65.3 | 60.1 |
| 4 | M1 | 15/1 | −30 | ― | ― | ― | ― |
| 5 | M3 | 15/1 | −10 | ― | ― | ― | ― |
| 6 | M2 | 15/1 | 30 | 3700 | 1.23 | 99.2 | 74.8 |
| 7 | M2 | 15/1 | −30 | ― | ― | ― | ― |
| 8 | M2 | 15/1 | −10 | ― | ― | ― | ― |
| 9 | M4 | 15/1 | 30 | ― | ― | ― | ― |
| 10 | M2 | 30/1 | 30 | 8600 | 1.35 | 98.6 | 74.2 |
| 11 | M2 | 60/1 | 30 | 16,400 | 1.45 | 97.6 | 75.6 |
| 12 | M2 | 90/1 | 30 | 32,000 | 1.48 | 96.4 | 73.2 |
| Run | Monomers | Random Copolymers | Yield d | ||||
|---|---|---|---|---|---|---|---|
| MA | MB | Mn,SECb | Mn,NMRc | ÐMb | (%) | ||
| (g mol−1) | (g mol−1) | ||||||
| 13 | M1 | M2 | 2,7-PCz-co-3,6-PCz | 7800 | 11,500 | 1.49 | 72.6 |
| 14 | M1 | M5 | PF-co-3,6-PCz | 9300 | 12,800 | 1.38 | 74.6 |
| 15 | M2 | M5 | PF-co-2,7-PCz | 7800 | 12,500 | 1.48 | 76.1 |
| Run | Macroinitiator | Block Copolymer | |||||
|---|---|---|---|---|---|---|---|
| Mn,NMRc (g mol−1) | ÐMb | Mn,NMRc (g mol−1) | ÐMb | Yield d (%) | |||
| 16 | PSt−I | 8300 | 1.24 | PSt-b-2,7-PCz | 15,500 | 1.31 | 78.6 |
| 17 | PMMA−I | 8900 | 1.09 | PMMA-b-2,7-PCz | 15,700 | 1.33 | 73.5 |
Publisher’s Note: MDPI stays neutral with regard to jurisdictional claims in published maps and institutional affiliations. |
© 2021 by the authors. Licensee MDPI, Basel, Switzerland. This article is an open access article distributed under the terms and conditions of the Creative Commons Attribution (CC BY) license (https://creativecommons.org/licenses/by/4.0/).
Share and Cite
Kobayashi, S.; Ashiya, M.; Yamamoto, T.; Tajima, K.; Yamamoto, Y.; Isono, T.; Satoh, T. Suzuki–Miyaura Catalyst-Transfer Polycondensation of Triolborate-Type Carbazole Monomers. Polymers 2021, 13, 4168. https://doi.org/10.3390/polym13234168
Kobayashi S, Ashiya M, Yamamoto T, Tajima K, Yamamoto Y, Isono T, Satoh T. Suzuki–Miyaura Catalyst-Transfer Polycondensation of Triolborate-Type Carbazole Monomers. Polymers. 2021; 13(23):4168. https://doi.org/10.3390/polym13234168
Chicago/Turabian StyleKobayashi, Saburo, Mayoh Ashiya, Takuya Yamamoto, Kenji Tajima, Yasunori Yamamoto, Takuya Isono, and Toshifumi Satoh. 2021. "Suzuki–Miyaura Catalyst-Transfer Polycondensation of Triolborate-Type Carbazole Monomers" Polymers 13, no. 23: 4168. https://doi.org/10.3390/polym13234168
APA StyleKobayashi, S., Ashiya, M., Yamamoto, T., Tajima, K., Yamamoto, Y., Isono, T., & Satoh, T. (2021). Suzuki–Miyaura Catalyst-Transfer Polycondensation of Triolborate-Type Carbazole Monomers. Polymers, 13(23), 4168. https://doi.org/10.3390/polym13234168

