Recent Advances in Biotechnological Itaconic Acid Production, and Application for a Sustainable Approach
Abstract
1. Introduction
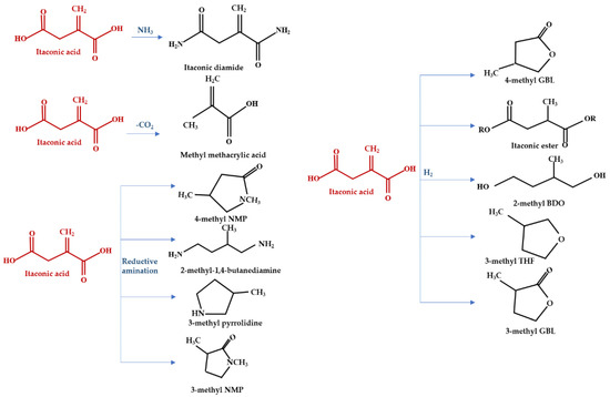
2. Itaconic Acid (IA) Synthesis
2.1. IA Production from Conventional Substrates
| Microorganism | Substrate | IA Production | Method | Reference |
|---|---|---|---|---|
| A. terreus DSM 23081 | Glucose | 160 g/L | FB | [58] |
| A. terreus NRRL 1960 | glucose | 49.5 g/L | BF | [59] |
| A. terreus DSM 23081 | mannose | 36.4 | SF | [60] |
| galactose | 42.6 | |||
| A. terreus NRRL 1960 | D–xylose | 53.97 g/L | SmF | [61] |
2.2. IA Production from Alternative Substrates
| Microorganism | Substrate | IA Production | Method | Reference |
|---|---|---|---|---|
| U. vetiveriae TZ1 | glycerol | 34.7 g/L | SmF | [74] |
| U. xerochloae Uma702 | 20.1 g/L | |||
| A. terreus DSM 23081 | glycerol | 69.7 g/L | STR | [83] |
| A. terreus m.N45 | FWE | 35–37 g/L | SmF | [84] |
| A. terreus BD | SFW | 41.1 g/L | BB | [62] |
| A. terreus | beech wood | 69 g/L | BB | [85] |
| A. terreus NRRL 1960 | beech wood | 7.2 g/L | SSF | [86] |
| A. terreus NRRL 1960 | NFR | 0.05 g/g | SSF | [79] |
| A. terreus NRRL 1960 | BEP | 27.6 g/L | SmF | [43] |
| A. niveus MG183809 | corn starch | 15.65 g/L | SmF | [87] |
| Wheat flour | 9.25 g/L | |||
| Sweet potatoes | 7.45 g/L | |||
| A. terreus ATCC 10020 | PRH | 1.9 g/L | SmF | [88] |
| Aspergillus terreus M69 | CSH | 33.6 g/L | SmF | [89] |
| Candida lignohabitans CAD | EDWC | 2.5 g/L | SmF | [52] |
2.3. IA Production with Metabolically Engineered Microorganisms
| Microorganism | Substrate | Gene Expression | Strain | IA Production | Reference |
|---|---|---|---|---|---|
| A. terreus | Steam-Exploded Corn Stover | ARTP | CICC 2452 | 19.30 g/L | [92] |
| Corynebacterium glutamicum | glucose | CAD1—A. terreus | 7.8 g/L | [93] | |
| Escherichia coli | glucose | Ita23 | 47 g/L | [94] | |
| E. coli | acetate | cadA—A. terreus | WCIAG4 | 3.57 g/L | [95] |
| E. coli | glycerol | cadA—A. terreus | 7.2 g/L | [96] | |
| E. coli | xylose | cadA—A. terreus | 20 g/L | [78] | |
| glycerol | 43 g/L | ||||
| A. niger | glucose | cadA, mttA, mfsA—A. terreus | 26.2 g/L | [97] | |
| Yarrowia lipolytica | glucose | cad—A. terreus | 4.6 g/L | [57] | |
| Pseudomonas putida | pretreated lignin | cadA—A. terreus | KT2440 | 1.43 g/L | [91] |
| U. maydis | cellobiose | MB215 | 5 g/L | [73] | |
| MB215Pomabgl1 | 10 g/L | ||||
| U. maydis | glucose | mttA—A. terreus | K14 | 60 g/L | [49] |
| U. maydis | glucose | MB215 | 80 g/L | [98] | |
| U. maydis | beech wood | 55 g/L | [85] | ||
| U. cynodontis | glucose | Del—ras2, fuz7, ubc3 | NBRC9727 | 21 g/L | [99] |
| Neurospora crassa | glucose | CAD1—A. terreus | FGSC 9720 | 20.4 mg/L | [100] |
| Shewanella livingstonensis | Citric acid | acnB—E. coli cadA—A. terreus | Ac10 | 1.41 g/L/h | [51] |
| Candida lignohabitans | glucose | cadA—A. terreus | 2–4 g/L | [52] |
3. IA-Based Polymer Applications
3.1. Water Analysis and Treatment
3.2. Drug Delivery
3.3. Antimicrobial Polymers
3.4. Intelligent Food Packaging
3.5. Other Applications
4. Conclusions and Future Perspectives
Author Contributions
Funding
Institutional Review Board Statement
Informed Consent Statement
Acknowledgments
Conflicts of Interest
References
- Jung, Y.; Son, J.; Young, S.; Young, S.; In, J.; Baritugo, K.; Geol, J.; Choi, J.; Taek, H.; Chan, J.; et al. Chemoautotroph Cupriavidus necator as a potential game-changer for global warming and plastic waste problem: A review. Bioresour. Technol. 2021, 340, 125693. [Google Scholar] [CrossRef]
- Tisserant, A.; Pauliuk, S.; Merciai, S.; Schmidt, J.; Fry, J. Solid waste and the Circular Economy: A global analysis of waste treatment and waste footprints. J. Ind. Ecol. 2017, 21, 628–640. [Google Scholar] [CrossRef]
- Nielsen, T.D.; Hasselbalch, J.; Holmberg, K.; Stripple, J. Politics and the plastic crisis: A review throughout the plastic life cycle. Wiley Interdiscip. Rev. Energy Environ. 2019, 9, e360. [Google Scholar] [CrossRef]
- Raddadi, N.; Fava, F. Biodegradation of oil-based plastics in the environment: Existing knowledge and needs of research and innovation. Sci. Total Environ. 2019, 679, 148–158. [Google Scholar] [CrossRef] [PubMed]
- Grand View Research. Plastic Packaging Market Size, Share & Trends Analysis Report By Product (Flexible, Rigid), By Technology (Extrusion, Thermoforming), By Application (Food & Beverages, Pharmaceuticals), And Segment Forecasts, 2021–2028; Grand View Research: Francisco, CA, USA, 2021. [Google Scholar]
- Sun, Q.; Li, J.; Wang, C.; Chen, A.; You, Y.; Yang, S.; Liu, H.; Jiang, G.; Wu, Y.; Li, Y. Research progress on distribution, sources, identification, toxicity, and biodegradation of microplastics in the ocean, freshwater, and soil environment. Front. Environ. Sci. Eng. 2022, 16, 1. [Google Scholar] [CrossRef]
- Blettler, M.C.M.; Wantzen, K.M. Threats Underestimated in Freshwater Plastic Pollution: Mini-Review. Water Air Soil Pollut. 2019, 230, 174. [Google Scholar] [CrossRef]
- Ubaid, M.; Lin, S.; Yousaf, B.; Abbas, Q.; Ahmed, M.; Munir, M.; Uzair, M.; Rasihd, A.; Zheng, C.; Kuang, X.; et al. Environmental emission, fate and transformation of microplastics in biotic and abiotic compartments: Global status, recent advances and future perspectives. Sci. Total Environ. 2021, 791, 148422. [Google Scholar] [CrossRef]
- Wang, M.H.; He, Y.; Sen, B. Research and management of plastic pollution in coastal environments of China. Environ. Pollut. 2019, 248, 898–905. [Google Scholar] [CrossRef]
- Agathokleous, E.; Iavicoli, I. Ecological risks in a ‘plastic’ world: A threat to biological diversity? J. Hazard. Mater. 2021, 417, 126035. [Google Scholar] [CrossRef]
- Wu, X.; Lu, J.; Du, M.; Xu, X.; Beiyuan, J.; Sarkar, B.; Bolan, N.; Xu, W.; Xu, S.; Chen, X.; et al. Particulate plastics-plant interaction in soil and its implications: A review. Sci. Total Environ. 2021, 792, 148337. [Google Scholar] [CrossRef]
- Ellen MacArthur Foundation. The Next Plastics Economy—Rethinking the Future of Plastics; Ellen MacArthur Foundation: Cowes, UK, 2014. [Google Scholar]
- Jagiello, Z.; Dylewski, Ł.; Tobolka, M.; Aguirre, J.I. Life in a polluted world: A global review of anthropogenic materials in bird nests. Environ. Pollut. 2019, 251, 717–722. [Google Scholar] [CrossRef] [PubMed]
- Zhang, X.; Fevre, M.; Jones, G.O.; Waymouth, R.M. Catalysis as an Enabling Science for Sustainable Polymers. Chem. Rev. 2018, 118, 839–885. [Google Scholar] [CrossRef] [PubMed]
- Cherubini, F.; Ulgiati, S. Crop residues as raw materials for biorefinery systems—A LCA case study. Appl. Energy 2010, 87, 47–57. [Google Scholar] [CrossRef]
- Association of Plastics Manifacturers. Plastics—The facts—An Analysis of European Plastics Production, Demand and Waste Data Until 2017; Plastics Europe: Bruxelles, Belgium, 2018. [Google Scholar]
- Narancic, T.; O’Connor, K.E. Plastic waste as a global challenge: Are biodegradable plastics the answer to the plastic waste problem? Microbiology 2019, 165, 129–137. [Google Scholar] [CrossRef] [PubMed]
- Weiss, M.; Haufe, J.; Carus, M.; Brandão, M.; Bringezu, S.; Hermann, B.; Patel, M.K. A Review of the Environmental Impacts of Biobased Materials. J. Ind. Ecol. 2012, 16, S169–S181. [Google Scholar] [CrossRef]
- Bishop, G.; Styles, D.; Lens, P.N.L. Environmental performance comparison of bioplastics and petrochemical plastics: A review of life cycle assessment (LCA) methodological decisions. Resour. Conserv. Recycl. 2021, 168, 105451. [Google Scholar] [CrossRef]
- Gioia, C.; Giacobazzi, G.; Vannini, M.; Totaro, G.; Sisti, L.; Colonna, M.; Marchese, P.; Celli, A. End of Life of Biodegradable Plastics: Composting versus Re/Upcycling [GT1]. ChemSusChem 2021, 14, 4167–4175. [Google Scholar] [CrossRef] [PubMed]
- Nazareth, M.; Marques, M.R.C.; Leite, M.C.A.; Castro, Í.B. Commercial plastics claiming biodegradable status: Is this also accurate for marine environments? J. Hazard. Mater. 2019, 366, 714–722. [Google Scholar] [CrossRef]
- Viera, J.S.C.; Marques, M.R.C.; Nazareth, M.C.; Jimenez, P.C.; Sanz-Lazaro, C.; Castro, I.I.B. Are biodegradable plastics an environmental rip off? J. Hazard. Mater. 2021, 416, 125957. [Google Scholar] [CrossRef]
- Hatti-Kaul, R.; Nilsson, L.J.; Zhang, B.; Rehnberg, N.; Lundmark, S. Designing Biobased Recyclable Polymers for Plastics. Trends Biotechnol. 2020, 38, 50–67. [Google Scholar] [CrossRef]
- Skoczinski, P.; Carus, M.; de Guzman, D.; Käb, H.; Chinthapalli, R.; Ravenstijn, J.; Baltus, W.; Raschka, A. Bio-based Building Blocks and Polymers—Global Capacities, Production and Trends 2020–2025. Available online: http://www.renewable-carbon.eu/publications (accessed on 13 August 2021).
- Carus, M.; Dammer, L. Industry Report—The Circular Bioeconomy—Concepts, Opportunities, and Limitations; Nova-Institute: Hurth, Germany, 2018; Volume 14. [Google Scholar]
- Zhu, Y.; Romain, C.; Williams, C.K. Sustainable polymers from renewable resources. Nature 2016, 540, 354–362. [Google Scholar] [CrossRef]
- Iwata, T. Biodegradable and bio-based polymers: Future prospects of eco-friendly plastics. Angew. Chem. Int. Ed. 2015, 54, 3210–3215. [Google Scholar] [CrossRef]
- Kucherov, F.A.; Romashov, L.V.; Galkin, K.I.; Ananikov, V.P. Chemical Transformations of Biomass-Derived C6-Furanic Platform Chemicals for Sustainable Energy Research, Materials Science, and Synthetic Building Blocks. ACS Sustain. Chem. Eng. 2018, 6, 8064–8092. [Google Scholar] [CrossRef]
- Debuissy, T.; Pollet, E.; Avérous, L. Biotic and Abiotic Synthesis of Renewable Aliphatic Polyesters from Short Building Blocks Obtained from Biotechnology. ChemSusChem 2018, 11, 3836–3870. [Google Scholar] [CrossRef] [PubMed]
- Harmsen, P.F.H.; Hackmann, M.M.; Bos, H.L. Perspective: Green building blocks for bio-based plastics. Biofuels Bioprod. Biorefin. 2014, 8, 306–324. [Google Scholar] [CrossRef]
- Yang, D.P.; Li, Z.; Liu, M.; Zhang, X.; Chen, Y.; Xue, H.; Ye, E.; Luque, R. Biomass-Derived Carbonaceous Materials: Recent Progress in Synthetic Approaches, Advantages, and Applications. ACS Sustain. Chem. Eng. 2019, 7, 4564–4585. [Google Scholar] [CrossRef]
- Werpy, T.; Petersen, G. Top Value Added Chemicals from Biomass Volume I—Results of Screening for Potential Candidates from Sugars and Synthesis Gas; US Department of Energy (US): Washington, DC, USA, 2004; Volume I.
- de Jong, E.; Higson, A.; Walsh, P.; Wellisch, M. Value Added Products from Biorefineries; National Renewable Energy Lab.: Golden, CO, USA, 2012.
- Pellis, A.; Herrero Acero, E.; Gardossi, L.; Ferrario, V.; Guebitz, G.M. Renewable building blocks for sustainable polyesters: New biotechnological routes for greener plastics. Polym. Int. 2016, 65, 861–871. [Google Scholar] [CrossRef]
- Lee, J.W.; Kim, H.U.; Choi, S.; Yi, J.; Lee, S.Y. Microbial production of building block chemicals and polymers. Curr. Opin. Biotechnol. 2011, 22, 758–767. [Google Scholar] [CrossRef]
- Lee, S.Y.; Kim, H.U.; Chae, T.U.; Cho, J.S.; Kim, J.W.; Shin, J.H.; Kim, D.I.; Ko, Y.-S.; Jang, W.D.; Jang, Y.-S. A comprehensive metabolic map for production of bio-based chemicals. Nat. Catal. 2019, 2, 18–33. [Google Scholar] [CrossRef]
- Mitrea, L.; Vodnar, D.C. Klebsiella pneumoniae—A useful pathogenic strain for biotechnological purposes: Diols biosynthesis under controlled and uncontrolled pH levels. Pathogens 2019, 8, 293. [Google Scholar] [CrossRef]
- Baup, S. Ueber eine neue Pyrogen-Citronensäure, und über Benennung der Pyrogen-Säuren überhaupt. Ann. Chim. Phys. 1837, 39–41. [Google Scholar] [CrossRef]
- Teleky, B.E.; Vodnar, D.C. Biomass-derived production of itaconic acid as a building block in specialty polymers. Polymer 2019, 11, 1035. [Google Scholar] [CrossRef]
- Isikgor, F.H.; Becer, C.R. Lignocellulosic biomass: A sustainable platform for the production of bio-based chemicals and polymers. Polym. Chem. 2015, 6, 4497–4559. [Google Scholar] [CrossRef]
- Sándor, E.; Kolláth, I.S.; Fekete, E.; Bíró, V.; Flipphi, M.; Kovács, B.; Kubicek, C.P.; Karaffa, L. Carbon-Source Dependent Interplay of Copper and Manganese Ions Modulates the Morphology and Itaconic Acid Production in Aspergillus terreus. Front. Microbiol. 2021, 12, 680420. [Google Scholar] [CrossRef]
- Kuenz, A.; Gallenmüller, Y.; Willke, T.; Vorlop, K.D. Microbial production of itaconic acid: Developing a stable platform for high product concentrations. Appl. Microbiol. Biotechnol. 2012, 96, 1209–1216. [Google Scholar] [CrossRef]
- Kerssemakers, A.A.J.; Dom, P.; Cassano, M.; Yamakawa, C.K.; Dragone, G.; Mussatto, S.I. Production of Itaconic Acid from Cellulose Pulp: Feedstock Feasibility and Process Strategies for an Efficient Microbial Performance. Energies 2020, 13, 1654. [Google Scholar] [CrossRef]
- Karaffa, L.; Kubicek, C.P. Citric acid and itaconic acid accumulation: Variations of the same story? Appl. Microbiol. Biotechnol. 2019, 103, 2889–2902. [Google Scholar] [CrossRef] [PubMed]
- Okabe, M.; Lies, D.; Kanamasa, S.; Park, E.Y. Biotechnological production of itaconic acid and its biosynthesis in Aspergillus terreus. Appl. Microbiol. Biotechnol. 2009, 84, 597–606. [Google Scholar] [CrossRef] [PubMed]
- Willke, T.; Vorlop, K.D. Biotechnological production of itaconic acid. Appl. Microbiol. Biotechnol. 2001, 56, 289–295. [Google Scholar] [CrossRef] [PubMed]
- Levinson, W.E.; Kurtzman, C.P.; Kuo, T.M. Production of itaconic acid by Pseudozyma antarctica NRRL Y-7808 under nitrogen-limited growth conditions. Enzym. Microb. Technol. 2006, 39, 824–827. [Google Scholar] [CrossRef]
- Hosseinpour Tehrani, H.; Geiser, E.; Engel, M.; Hartmann, S.K.; Hossain, A.H.; Punt, P.J.; Blank, L.M.; Wierckx, N. The interplay between transport and metabolism in fungal itaconic acid production. Fungal Genet. Biol. 2019, 125, 45–52. [Google Scholar] [CrossRef]
- Wierckx, N. An Optimized Ustilago maydis for Itaconic Acid Production at Maximal Theoretical Yield. J. Fungi 2020, 7, 20. [Google Scholar]
- Krull, S.; Lünsmann, M.; Prüße, U.; Kuenz, A. Ustilago Rabenhorstiana—An Alternative Natural Itaconic Acid Producer. Fermentation 2020, 6, 4. [Google Scholar] [CrossRef]
- Luo, G.; Fujino, M.; Nakano, S.; Hida, A.; Tajima, T.; Kato, J. Accelerating itaconic acid production by increasing membrane permeability of whole-cell biocatalyst based on a psychrophilic bacterium Shewanella livingstonensis Ac10. J. Biotechnol. 2020, 312, 56–62. [Google Scholar] [CrossRef]
- Bellasio, M.; Mattanovich, D.; Sauer, M.; Marx, H. Organic acids from lignocellulose: Candida lignohabitans as a new microbial cell factory. J. Ind. Microbiol. Biotechnol. 2015. [Google Scholar] [CrossRef]
- Zhao, M.; Lu, X.; Zong, H.; Li, J.; Zhuge, B. Itaconic acid production in micro-organisms. Biotechnol. Lett. 2018. [Google Scholar] [CrossRef]
- Kuenz, A.; Krull, S. Biotechnological production of itaconic acid—Things you have to know. Appl. Microbiol. Biotechnol. 2018, 102, 3901–3914. [Google Scholar] [CrossRef] [PubMed]
- Yang, J.; Xu, H.; Jiang, J.; Zhang, N.; Xie, J.; Wei, M.; Zhao, J. Production of Itaconic Acid Through Microbiological Fermentation of Inexpensive Materials. J. Bioresour. Bioprod. 2019, 4, 135–142. [Google Scholar] [CrossRef]
- Wierckx, N.; Agrimi, G.; Lu, P.S.; Steiger, M.G.; Mira, N.P.; Punt, P.J. Metabolic specialization in itaconic acid production: A tale of two fungi. Curr. Opin. Biotechnol. 2020, 62, 153–159. [Google Scholar] [CrossRef] [PubMed]
- Blazeck, J.; Hill, A.; Jamoussi, M.; Pan, A.; Miller, J.; Alper, H.S. Metabolic engineering of Yarrowia lipolytica for itaconic acid production. Metab. Eng. 2015, 32, 66–73. [Google Scholar] [CrossRef] [PubMed]
- Krull, S.; Hevekerl, A.; Kuenz, A.; Prüße, U. Process development of itaconic acid production by a natural wild type strain of Aspergillus terreus to reach industrially relevant final titers. Appl. Microbiol. Biotechnol. 2017, 101, 4063–4072. [Google Scholar] [CrossRef]
- Nelson, G.E.N.; Traufler, D.H.; Kelley, S.E.; Lockwood, L.B. Production of Itaconic Acid by Aspergillus terreus in 20-Liter Fermentors. Ind. Eng. Chem. 2005, 44, 1166–1168. [Google Scholar] [CrossRef]
- Saha, B.C.; Kennedy, G.J. Mannose and galactose as substrates for production of itaconic acid by Aspergillus terreus. Lett. Appl. Microbiol. 2017, 65, 527–533. [Google Scholar] [CrossRef] [PubMed]
- Kolláth, I.S.; Molnár, Á.P.; Soós, Á.; Fekete, E.; Sándor, E. Manganese Deficiency Is Required for High Itaconic Acid Production From D -Xylose in Aspergillus terreus. Front. Microbiol. 2019, 10, 1–10. [Google Scholar] [CrossRef]
- Narisetty, V.; Prabhu, A.A.; Al-jaradah, K.; Gopaliya, D.; Hossain, A.H.; Kumar, S.; Punt, P.J.; Kumar, V. Microbial itaconic acid production from starchy food waste by newly isolated thermotolerant Aspergillus terreus strain. Bioresour. Technol. 2021, 337, 125426. [Google Scholar] [CrossRef] [PubMed]
- Martău, G.A.; Călinoiu, L.F.; Vodnar, D.C. Bio-vanillin: Towards a sustainable industrial production. Trends Food Sci. Technol. 2021, 109, 579–592. [Google Scholar] [CrossRef]
- Precup, G.; Mitrea, L.; Nemes, A.; Călinoiu, L.-F.; Martău, G.-A.; Teleky, B.E.; Coman, V.; Vodnar, D.C. Food Processing By-Products and Molecular Gastronomy; Gastronomy and Food Science, Elsevier: Amsterdam, The Netherlands, 2021; pp. 137–164. [Google Scholar]
- Tsang, Y.F.; Kumar, V.; Samadar, P.; Yang, Y.; Lee, J.; Ok, Y.S.; Song, H.; Kim, K.H.; Kwon, E.E.; Jeon, Y.J. Production of bioplastic through food waste valorization. Environ. Int. 2019, 127, 625–644. [Google Scholar] [CrossRef]
- Szabo, K.; Cătoi, A.F.; Vodnar, D.C. Bioactive Compounds Extracted from Tomato Processing by-Products as a Source of Valuable Nutrients. Plant Foods Hum. Nutr. 2018, 73, 268–277. [Google Scholar] [CrossRef]
- Szabo, K.; Diaconeasa, Z.; Catoi, A.; Vodnar, D.C. Screening of Ten Tomato Varieties Processing Waste for Bioactive Components and Their Related Antioxidant and Antimicrobial Activities. Antioxidants 2019, 8, 292. [Google Scholar] [CrossRef]
- Vodnar, D.C.; Calinoiu, L.-F.; Mitrea, L.; Precup, G.; Bindea, M.; Pacurar, A.M.; Szabo, K.; Stefanescu, B.E. A new generation of probiotic functional beverages using bioactive compounds from agro-industrial waste. In Functional and Medicinal Beverages; Academic Press, Elsevier: Amsterdam, The Netherlands, 2019; Volume 11, pp. 483–528. ISBN 9780128163979. [Google Scholar]
- Tumwesigye, K.S.; Oliveira, J.C.; Sousa-Gallagher, M.J. New sustainable approach to reduce cassava borne environmental waste and develop biodegradable materials for food packaging applications. Food Packag. Shelf Life 2016, 7, 8–19. [Google Scholar] [CrossRef]
- Vodnar, D.C.; Călinoiu, L.F.; Dulf, F.V.; Ştefănescu, B.E.; Crişan, G.; Socaciu, C. Identification of the bioactive compounds and antioxidant, antimutagenic and antimicrobial activities of thermally processed agro-industrial waste. Food Chem. 2017, 231, 131–140. [Google Scholar] [CrossRef] [PubMed]
- Ştefanescu, B.E.; Szabo, K.; Mocan, A.; Crisan, G. Phenolic compounds from five ericaceae species leaves and their related bioavailability and health benefits. Molecules 2019, 24, 2046. [Google Scholar] [CrossRef]
- Calinoiu, L.-F.; Vodnar, D.-C.; Precup, G. Characterization of Grape and Apple Peel Wastes’ Bioactive Compounds and Their Increased Bioavailability after Exposure to Thermal Process. Bull. UASVM Food Sci. Technol. 2014, 73, 55–60. [Google Scholar] [CrossRef][Green Version]
- Geiser, E.; Reindl, M.; Blank, L.M.; Feldbrügge, M.; Wierckx, N.; Schipper, K. Activating Intrinsic Carbohydrate-Active Enzymes of the Smut Fungus Ustilago maydis for the Degradation of Plant Cell Wall Components. Appl. Environ. Microbiol. 2016, 82, 5174–5185. [Google Scholar] [CrossRef] [PubMed]
- Zambanini, T.; Hosseinpour Tehrani, H.; Geiser, E.; Merker, D.; Schleese, S.; Krabbe, J.; Buescher, J.M.; Meurer, G.; Wierckx, N.; Blank, L.M. Efficient itaconic acid production from glycerol with Ustilago vetiveriae TZ1. Biotechnol. Biofuels 2017, 10, 131. [Google Scholar] [CrossRef]
- Mitrea, L.; Trif, M.; Vodnar, D.-C.; Laura, M.; Monica, T.; Dan-Cristian, V. The effect of crude glycerol impurities on 1,3-propanediol biosynthesis by Klebsiella pneumoniae DSMZ 2026. Renew. Energy 2020, 153, 1418–1427. [Google Scholar] [CrossRef]
- Mitrea, L.; Ranga, F.; Fetea, F.; Dulf, F.V.; Rusu, A.; Trif, M.; Vodnar, D.C. Biodiesel-derived glycerol obtained from renewable biomass—A suitable substrate for the growth of Candida zeylanoides yeast strain ATCC 20367. Microorganisms 2019, 7, 265. [Google Scholar] [CrossRef]
- Mitrea, L.; Călinoiu, L.-F.; Precup, G.; Bindea, M.; Rusu, B.; Trif, M.; Ştefănescu, B.-E.; Pop, I.-D.; Vodnar, D.-C. Isolated microorganisms for bioconversion of biodiesel-derived glycerol into 1,3-Propanediol. Bull. UASVM Food Sci. Technol. 2017, 74, 43–49. [Google Scholar] [CrossRef]
- Chang, P.; Chen, G.S.; Chu, H.Y.; Lu, K.W.; Shen, C.R. Engineering efficient production of itaconic acid from diverse substrates in Escherichia coli. J. Biotechnol. 2017, 249, 73–81. [Google Scholar] [CrossRef] [PubMed]
- Jiménez-Quero, A.; Pollet, E.; Avérous, L.; Phalip, V. Optimized Bioproduction of Itaconic and Fumaric Acids Based on Solid-State Fermentation of Lignocellulosic Biomass. Molecules 2020, 25, 1070. [Google Scholar] [CrossRef] [PubMed]
- Krishna, C. Solid-State Fermentation Systems—An Overview. Crit. Rev. Biotechnol. 2005, 25, 1–30. [Google Scholar] [CrossRef]
- Martau, G.-A.; Unger, P.; Schneider, R.; Venus, J.; Vodnar, D.C.; Pablo, L.-G. Integration of Solid State and Submerged Fermentations for the Valorization of Organic Municipal Solid Waste. J. Fungi 2021, 7, 766. [Google Scholar] [CrossRef] [PubMed]
- Călinoiu, L.-F.F.; Cătoi, A.F.; Vodnar, D.C.; Catoi, A.-F.; Vodnar, D.C. Solid-state yeast fermented wheat and oat bran as a route for delivery of antioxidants. Antioxidants 2019, 8, 372. [Google Scholar] [CrossRef] [PubMed]
- Kuenz, A. Itaconsaureherstellung aus Nachwachsenden Rohstoffen als Ersatz fur Petrochemisch Hergestellte Acrylsaure. Ph.D. Thesis, Fakultat fur Lebenswissenschaften der Technischen Universitat Carolo-Wilhelmina zu Braunschweig, Braunschweig, Germany, 2008. [Google Scholar]
- Reddy, C.S.K.; Singh, R.P. Enhanced production of itaconic acid from corn starch and market refuse fruits by genetically manipulated Aspergillus terreus SKR10. Bioresour. Technol. 2002, 85, 69–71. [Google Scholar] [CrossRef]
- Regestein, L.; Klement, T.; Grande, P.; Kreyenschulte, D.; Heyman, B.; Maßmann, T.; Eggert, A.; Sengpiel, R.; Wang, Y.; Wierckx, N.; et al. From beech wood to itaconic acid: Case study on biorefinery process integration. Biotechnol. Biofuels 2018, 11, 279. [Google Scholar] [CrossRef] [PubMed]
- Tippkötter, N.; Duwe, A.; Wiesen, S.; Sieker, T.; Ulber, R. Enzymatic hydrolysis of beech wood lignocellulose at high solid contents and its utilization as substrate for the production of biobutanol and dicarboxylic acids. Bioresour. Technol. J. 2014, 167, 447–455. [Google Scholar] [CrossRef]
- Gnanasekaran, R.; Dhandapani, B.; Gopinath, P.; Iyyappan, J. Synthesis of itaconic acid from agricultural waste using novel Aspergillus niveus. Prep. Biochem. Biotechnol. 2018, 48, 605–609. [Google Scholar] [CrossRef]
- Pedroso, G.B.; Montipó, S.; Mario, D.A.N.; Alves, S.H.; Martins, A.F. Building block itaconic acid from left-over biomass. Biomass Convers. Biorefin. 2017, 7, 23–35. [Google Scholar] [CrossRef]
- Liu, Y.; Liu, G.; Zhang, J. Itaconic acid fermentation using activated charcoal-treated corn stover hydrolysate and process evaluation based on Aspen plus model. Biomass Convers. Biorefin. 2020, 10, 463–470. [Google Scholar] [CrossRef]
- Ledesma-amaro, R.; Nicaud, J. Metabolic Engineering for Expanding the Substrate Range of Yarrowia lipolytica. Trends Biotechnol. 2016, 34, 798–809. [Google Scholar] [CrossRef]
- Elmore, J.R.; Dexter, G.N.; Salvachúa, D.; Martinez-baird, J.; Hatmaker, E.A.; Huenemann, J.D.; Klingeman, D.M.; Peabody, G.L.V.; Peterson, D.J.; Singer, C.; et al. Production of itaconic acid from alkali pretreated lignin by dynamic two stage bioconversion. Nat. Commun. 2021, 12, 2261. [Google Scholar] [CrossRef]
- Li, X.; Zheng, K.; Lai, C.; Ouyang, J.; Yong, Q. Improved Itaconic Acid Production from Undetoxified Enzymatic Hydrolysate of Steam-Exploded Corn Stover using an Aspergillus terreus Mutant Generated by Atmospheric and Room Temperature Plasma. Bioresources 2016, 11, 9047–9058. [Google Scholar] [CrossRef]
- Otten, A.; Brocker, M.; Bott, M. Metabolic engineering of Corynebacterium glutamicum for the production of itaconate. Metab. Eng. 2015, 30, 156–165. [Google Scholar] [CrossRef]
- Harder, B.J.; Bettenbrock, K.; Klamt, S. Temperature-dependent dynamic control of the TCA cycle increases volumetric productivity of itaconic acid production by Escherichia Coli. Biotechnol. Bioeng. 2018, 115, 156–164. [Google Scholar] [CrossRef]
- Noh, M.H.; Lim, H.G.; Woo, S.H.; Song, J.; Jung, G.Y. Production of itaconic acid from acetate by engineering acid-tolerant Escherichia coli W. Biotechnol. Bioeng. 2018, 115, 729–738. [Google Scholar] [CrossRef] [PubMed]
- Jeon, H.; Cheong, D.; Han, Y.; Song, J.J.; Choi, J.H. Itaconic Acid Production From Glycerol Using Escherichia coli Harboring a Random Synonymous Codon-Substituted 5 0 -Coding Region Variant of the cad A Gene. Biotechnol. Bioeng. 2016, 113, 1504–1510. [Google Scholar] [CrossRef] [PubMed]
- Hossain, A.H.; Li, A.; Brickwedde, A.; Wilms, L.; Caspers, M.; Overkamp, K.; Punt, P.J. Rewiring a secondary metabolite pathway towards itaconic acid production in Aspergillus niger. Microb. Cell Fact. 2016, 15, 130. [Google Scholar] [CrossRef] [PubMed]
- Demir, H.T.; Bezirci, E.; Becker, J.; Tehrani, H.H.; Nikerel, E.; Wierck, N.; Türker, M. High level production of itaconic acid at low pH by Ustilago maydis with fed - Batch fermentation. Bioprocess Biosyst. Eng. 2021, 44, 749–758. [Google Scholar] [CrossRef] [PubMed]
- Tehrani, H.H.; Tharmasothirajan, A.; Track, E.; Blank, L.M.; Wierckx, N. Engineering the morphology and metabolism of pH tolerant Ustilago cynodontis for efficient itaconic acid production. Metab. Eng. 2019, 54, 293–300. [Google Scholar] [CrossRef]
- Zhao, C.; Chen, S.; Fang, H. Consolidated bioprocessing of lignocellulosic biomass to itaconic acid by metabolically engineering Neurospora crassa. Appl. Microbiol. Biotechnol. 2018, 102, 9577–9584. [Google Scholar] [CrossRef] [PubMed]
- Pellis, A.; Malinconico, M.; Guarneri, A.; Gardossi, L. Renewable polymers and plastics: Performance beyond the green. New Biotechnol. 2020, 60, 146–158. [Google Scholar] [CrossRef] [PubMed]
- Delidovich, I.; Hausoul, P.J.C.; Deng, L.; Pfützenreuter, R.; Rose, M.; Palkovits, R. Alternative Monomers Based on Lignocellulose and Their Use for Polymer Production. Chem. Rev. 2016, 116, 1540–1599. [Google Scholar] [CrossRef]
- Holtz, A.; Görtz, J.; Kocks, C.; Junker, M.; Jupke, A. Fluid Phase Equilibria Automated measurement of pH-dependent solid-liquid equilibria of itaconic acid and protocatechuic acid. Fluid Phase Equilibria 2021, 532, 112893. [Google Scholar] [CrossRef]
- Wu, X.; Liu, Q.; Deng, Y.; Li, J.; Chen, X.; Gu, Y.; Lv, X.; Zheng, Z.; Jiang, S.; Li, X. Production of itaconic acid by biotransformation of wheat bran hydrolysate with Aspergillus terreus CICC40205 mutant. Bioresour. Technol. 2017, 241, 25–34. [Google Scholar] [CrossRef]
- Robert, T.; Friebel, S. Itaconic acid-a versatile building block for renewable polyesters with enhanced functionality. Green Chem. 2016, 18, 2922–2934. [Google Scholar] [CrossRef]
- Sollka, L.; Lienkamp, K. Progress in the Free and Controlled Radical Homo- and Co-Polymerization of Itaconic Acid Derivatives: Toward Functional Polymers with Controlled Molar Mass Distribution and Architecture. Macromol. Rapid Commun. 2021, 42, 2000546. [Google Scholar] [CrossRef]
- Jiménez-Quero, A.; Pollet, E.; Zhao, M.; Marchioni, E.; Averous, L.; Phalip, V. Fungal fermentation of lignocellulosic biomass for itaconic and fumaric acid production. J. Microbiol. Biotechnol. 2017, 27, 1–8. [Google Scholar] [CrossRef]
- Martău, G.A.; Mihai, M.; Vodnar, D.C. The use of chitosan, alginate, and pectin in the biomedical and food sector—Biocompatibility, bioadhesiveness, and biodegradability. Polymers 2019, 11, 1837. [Google Scholar] [CrossRef]
- Jamróz, E.; Kulawik, P.; Kopel, P. The effect of nanofillers on the functional properties of biopolymer-based films: A review. Polymers 2019, 11, 675. [Google Scholar] [CrossRef] [PubMed]
- Szabo, K.; Teleky, B.E.; Mitrea, L.; Călinoiu, L.F.; Martău, G.A.; Simon, E.; Varvara, R.A.; Vodnar, D.C. Active packaging-poly (vinyl alcohol) films enriched with tomato by-products extract. Coatings 2020, 10, 141. [Google Scholar] [CrossRef]
- Sangeetha, E.; Narayanan, A.; Dhamodharan, R. Super water-absorbing hydrogel based on chitosan, itaconic acid and urea: Preparation, characterization and reversible water absorption. Polym. Bull. 2021. [Google Scholar] [CrossRef]
- Barar, J.; Omidi, Y.; Geranmayeh, M.H.; Fathi, M.; Alami-Milani, M.; Erfan-Niya, H. Dual thermo-and pH-sensitive injectable hydrogels of chitosan/(poly(N-isopropylacrylamide-co-itaconic acid)) for doxorubicin delivery in breast cancer. Int. J. Biol. Macromol. 2019, 128, 957–964. [Google Scholar] [CrossRef]
- Sirviö, A.J.; Kantola, A.M.; Komulainen, S.; Filonenko, S. Aqueous Modification of Chitosan with Itaconic Acid to Produce Strong Oxygen Barrier Film. Biomacromolecules 2021, 22, 2119–2128. [Google Scholar] [CrossRef]
- Ribeiro, A.R.; Nunes, O.C.; Pereira, M.F.R.; Silva, A.M.T. An overview on the advanced oxidation processes applied for the treatment of water pollutants defined in the recently launched Directive 2013/39/EU Ana R. Ribeiro. Environ. Int. 2015, 75, 33–51. [Google Scholar] [CrossRef]
- Katubi, K.M.; Amari, A.; Harharah, H.N.; Eldirderi, M.M.; Tahoon, M.A.; Rebah, F. Ben Aloe vera as Promising Material for Water Treatment: A Review. Processes 2021, 9, 782. [Google Scholar] [CrossRef]
- Magureanu, M.; Bogdan, N.; Parvulescu, V.I. Degradation of pharmaceutical compounds in water by non-thermal plasma treatment. Water Res. 2015, 81, 124–136. [Google Scholar] [CrossRef]
- Barta, D.G.; Coman, V.; Vodnar, D.C. Microalgae as sources of omega-3 polyunsaturated fatty acids: Biotechnological aspects. Algal Res. 2021, 58, 102410. [Google Scholar] [CrossRef]
- Taşdelen, B.; İzlen, D.; Meriç, S. Preparation and characterization of chitosan / hyaluronic acid / itaconic acid hydrogel composite to remove manganese in aqueous solution. Desalin. Water Treat. 2021, 209, 204–211. [Google Scholar] [CrossRef]
- Sharma, G.; Sharma, S.; Kumar, A.; Al-muhtaseb, A.H.; Naushad, M.; Ghfar, A.A.; Tessema, G.; Stadler, F.J. Guar gum and its composites as potential materials for diverse applications: A review. Carbohydr. Polym. 2018, 199, 534–545. [Google Scholar] [CrossRef] [PubMed]
- Mahto, A.; Mishra, S. Guar Gum Grafted Itaconic Acid: A Solution for Different Waste Water Treatment. J. Polym. Environ. 2021, 29, 3525–3538. [Google Scholar] [CrossRef]
- Sharma, G.; Kumar, A.; Naushad, M.; Thakur, B.; Vo, D.N.; Gao, B.; Al-kahtani, A.A.; Stadler, F.J. Adsorptional-photocatalytic removal of fast sulphon black dye by using chitin-cl-poly (itaconic acid-co-acrylamide)/zirconium tungstate nanocomposite hydrogel. J. Hazard. Mater. 2021, 416, 125714. [Google Scholar] [CrossRef]
- Gao, Y.; Xia, J.; Liu, D.; Kang, R.; Yu, G.; Deng, S. Synthesis of mixed-linker Zr-MOFs for emerging contaminant adsorption and photodegradation under visible light. Chem. Eng. J. 2019, 378, 122118. [Google Scholar] [CrossRef]
- Milenkovic, T.; Bozhinovska, N.; Macut, D.; Bjekic-Macut, J.; Rahelic, D.; Asimi, Z.V.; Burekovic, A. Mediterranean Diet and Type 2 Diabetes Mellitus: A Perpetual Inspiration for the Scientific World. A Review. Nutrients 2021, 13, 1307. [Google Scholar] [CrossRef]
- Dill, H.G. Kaolin: Soil, rock and ore From the mineral to the magmatic, sedimentary and metamorphic environments. Earth Sci. Rev. 2016, 161, 16–129. [Google Scholar] [CrossRef]
- Pham, T.D.; Sillanpää, M. Chapter 4—Ultrasonic and Electrokinetic Remediation of Low Permeability Soil Contaminated with Persistent Organic Pollutants; Elsevier: Amsterdam, The Netherlands, 2020; ISBN 9780128192276. [Google Scholar]
- Khan, S.A.; Hussain, D.; Khan, T.A. Mechanistic evaluation of metformin drug confiscation from liquid phase on itaconic acid/kaolin hydrogel nanocomposite. Environ. Sci. Pollut. Res. 2021, 28, 53298–53313. [Google Scholar]
- Sharma, G.; Thakur, B.; Kumar, A.; Sharma, S.; Naushad, M.; Stadler, F.J. Atrazine removal using chitin- cl -poly (acrylamide- co -itaconic acid) nanohydrogel: Isotherms and pH responsive nature. Carbohydr. Polym. 2020, 241, 116258. [Google Scholar] [CrossRef]
- Gan, D.; Dou, J.; Huang, Q.; Huang, H.; Mao, L.; Liu, M. Biomimetic surface functionalization of SiO2 microspheres with catecholamine-containing poly (itaconic acid) for removal of cationic dye. Surf. Interfaces 2020, 21, 100644. [Google Scholar] [CrossRef]
- Oyarce, E.; Pizarro, G.D.C.; Oyarzun, D.P.; Martin-Trasanco, R.; Sanchez, J. Adsorption of methylene blue in aqueous solution using hydrogels based on 2-hydroxyethyl methacrylate copolymerized with itaconic acid or acrylic acid. Mater. Today Commun. 2020, 25, 101324. [Google Scholar] [CrossRef]
- Zhu, G.; Hu, H.; Yang, T.; Ma, J.; Zhang, S.; He, X. Synthesis of highly stable fluorescent poly(methacrylic acid-co-itaconic)-protected silver nanoclusters and sensitive detection of Cu2+. RSC Adv. 2021, 11, 20720–20724. [Google Scholar] [CrossRef]
- Rodriguez, E.; Katime, I. Behavior of Acrylic Acid—Itaconic Acid Hydrogels in Swelling, Shrinking, and Uptakes of Some Metal Ions from Aqueous Solution. J. Appl. Polym. Sci. 2003, 90, 530–536. [Google Scholar] [CrossRef]
- Chazaro-ruiz, L.F.; Olvera-sosa, M.; Vidal, G.; Rangel-mendez, J.R.; Palestino, G.; Perez, F.; Zhang, W. Synthesis of Bamboo-like Multiwall Carbon Composite Hydrogel and its Potential Application for Electrochemical Detection of Cadmium (II). Biosensors 2020, 10, 147. [Google Scholar] [CrossRef]
- Shahruzzaman, M.I.; Islam, S.; Sakib, N.; Mallik, A.K.; Haque, P.; Rahman, M.M. Interpenetrating Polymer Network: Biomedical Applications—Semi-IPN Systems for Drug Delivery; Springer Nature: Singapore, 2020; ISBN 9789811502835. [Google Scholar]
- Birajdar, M.S.; Joo, H.; Koh, W.; Park, H. Natural bio-based monomers for biomedical applications: A review. Biomater. Res. 2021, 25, 8. [Google Scholar] [CrossRef] [PubMed]
- Tomić, S.L.; Suljovrujić, E.H.; Filipović, J.M. Biocompatible and bioadhesive hydrogels based on 2-hydroxyethyl methacrylate, monofunctional poly(alkylene glycol)s and itaconic acid. Polym. Bull. 2006, 57, 691–702. [Google Scholar] [CrossRef]
- Sood, S.; Kumar, V.; Shilpi, G.; Kamal, A.; Pathania, D.D. Controlled release of antibiotic amoxicillin drug using carboxymethyl cellulose-cl- poly(itaconic acid-co-lactic acid) hydrogel. Int. J. Biol. Macromol. 2017, 101, 612–620. [Google Scholar] [CrossRef] [PubMed]
- Pathania, D.; Sood, S.; Saini, A.K.; Kumari, S. Studies on anticancerious and photocatalytic activity of carboxymethyl cellulose-cl-poly (lactic acid-co-itaconic acid)/ZnO-Ag nanocomposite. Arab. J. Chem. 2020, 13, 6966–6976. [Google Scholar] [CrossRef]
- Pourjamal, K.; Fathi, M.; Entezami, A.A. Superabsorbent Nanohydrogels of Poly (N-Isopropyl Acrylamide-Co-Itaconic Acid ) Grafted on Starch: Synthesis and Swelling Study. Nano Life 2016, 6, 1650005. [Google Scholar] [CrossRef]
- Yin, Y.; Dang, Q.; Liu, C.; Yan, J.; Cha, D.; Yu, Z.; Cao, Y.; Wang, Y.; Fan, B. Itaconic acid grafted carboxymethyl chitosan and its nanoparticles: Preparation, characterization and evaluation. Int. J. Biol. Macromol. 2017, 102, 10–18. [Google Scholar] [CrossRef]
- Mogosanu, G.D.; Grumezescu, A.M.; Bejenaru, L.E.; Bejenaru, C. Nanobiomaterials in Drug Delivery: Chapter 8—Natural and Synthetic Polymers for Drug Delivery and Targeting; Elsevier: Mogosanu, France, 2016; ISBN 9780323428668. [Google Scholar]
- Wang, C.; Zhang, Y.; Li, J.; Yang, Z.; Wang, Q.; Wang, T.; Li, S.; Chen, S.; Zhang, X. Shape memory properties of interpenetrating polymer networks ( IPNs ) based on hyperbranched polyurethane (HBPU). Eur. Polym. J. 2019, 123, 109393. [Google Scholar] [CrossRef]
- Ajaz, N.; Ullah, I.; Sajid, K.; Syed, A.; Khalid, H.; Irfan, M.; Asif, M. Assessing the pH responsive and mucoadhesive behavior of dexamethasone sodium phosphate loaded itaconic acid-grafted-poly (acrylamide)/carbopol semi-interpenetrating networks. J. Polym. Res. 2021, 28, 278. [Google Scholar] [CrossRef]
- Konai, M.M.; Bhattacharjee, B.; Ghosh, S.; Haldar, J. Recent Progress in Polymer Research to Tackle Infections and Antimicrobial Resistance. Biomacromolecules 2018, 19, 1888–1917. [Google Scholar] [CrossRef]
- Chin, W.; Zhong, G.; Pu, Q.; Yang, C.; Lou, W.; De Sessions, P.F.; Periaswamy, B.; Lee, A.; Liang, Z.C.; Ding, X.; et al. A macromolecular approach to eradicate multidrug resistant bacterial infections while mitigating drug resistance onset Willy. Nat. Commun. 2018, 9, 917. [Google Scholar] [CrossRef] [PubMed]
- Perković, I.; Beus, M.; Schols, D.; Persoons, L.; Zorc, B.; Fluoroaniline, F.A.N. Itaconic acid hybrids as potential anticancer agents. Mol. Divers. 2020, 1–14. [Google Scholar] [CrossRef]
- Nemes, S.A.; Szabo, K. Applicability of Agro-Industrial By-Products in Intelligent Food Packaging. Coatings 2020, 10, 550. [Google Scholar] [CrossRef]
- Sano, M.; Tanaka, T.; Ohara, H.; Aso, Y. Itaconic acid derivatives: Structure, function, biosynthesis, and perspectives. Appl. Microbiol. Biotechnol. 2020, 104, 9041–9051. [Google Scholar] [CrossRef] [PubMed]
- Chiloeches, A.; Funes, A.; Cuervo-Rodríguez, R.; López-Fabal, F.; Fernández-García, M.; Echeverría, C.; Muñoz-Bonilla, A. Polymer Chemistry Biobased polymers derived from itaconic acid bearing clickable groups with potent antibacterial activity and negligible hemolytic activity. Polym. Chem. 2021, 12, 3190–3200. [Google Scholar] [CrossRef]
- Prabakaran, R.; Marie, J.M.; Xavier, A.J.M. Biobased Unsaturated Polyesters Containing Castor Oil-Derived Ricinoleic Acid and Itaconic Acid: Synthesis, In Vitro Antibacterial, and Cytocompatibility Studies. Appl. Bio Mater. 2020, 3, 5708–5721. [Google Scholar] [CrossRef]
- Cottet, C.; Salvay, G.; Peltzer, M.A. Incorporation of Poly (Itaconic Acid) with Quaternized Thiazole Groups on Gelatin-Based Films for Antimicrobial-Active Food Packaging. Polymers 2021, 13, 200. [Google Scholar] [CrossRef]
- Mitrea, L.; Călinoiu, L.-F.F.; Martău, G.-A.; Szabo, K.; Teleky, B.-E.E.; Mureșan, V.; Rusu, A.-V.V.; Socol, C.-T.T.; Vodnar, D.-C.C.; Mărtau, G.A.; et al. Poly(vinyl alcohol)-based biofilms plasticized with polyols and colored with pigments extracted from tomato by-products. Polymers 2020, 12, 532. [Google Scholar] [CrossRef]
- Coman, V.; Teleky, B.-E.; Mitrea, L.; Martău, G.A.; Szabo, K.; Călinoiu, L.-F.; Vodnar, D.C. Bioactive potential of fruit and vegetable wastes. In Advances in Food and Nutrition Research; Elsevier: Amsterdam, The Netherlands, 2019; p. 69. [Google Scholar] [CrossRef]
- Szabo, K.; Teleky, B.-E.; Ranga, F.; Simon, E.; Pop, O.L.; Babalau-Fuss, V.; Kapsalis, N.; Vodnar, D.C. Bioaccessibility of microencapsulated carotenoids, recovered from tomato processing industrial by-products, using in vitro digestion model. LWT—Food Sci. Technol. 2021, 152, 112285. [Google Scholar] [CrossRef]
- Szabo, K.; Dulf, F.V.; Teleky, B.-E.; Eleni, P.; Boukouvalas, C.; Krokida, M.; Kapsalis, N.; Rusu, A.V.; Socol, C.T.; Vodnar, D.C. Evaluation of the Bioactive Compounds Found in Tomato Seed Oil and Tomato Peels Influenced by Industrial Heat Treatments. Foods 2021, 10, 110. [Google Scholar] [CrossRef] [PubMed]
- Trif, M.; Vodnar, D.; Mitrea, L.; Rusu, A.; Socol, C. Design and development of oleoresins rich in carotenoids coated microbeads. Coatings 2019, 9, 235. [Google Scholar] [CrossRef]
- Ștefănescu, B.E.; Călinoiu, L.F.; Ranga, F.; Fetea, F.; Mocan, A.; Vodnar, D.C.; Crișan, G. Chemical composition and biological activities of the nord-west romanian wild bilberry (Vaccinium myrtillus L.) and lingonberry (Vaccinium vitis-idaea L.) leaves. Antioxidants 2020, 9, 495. [Google Scholar] [CrossRef] [PubMed]
- Dintcheva, N.T.; D’Anna, F. Anti-/Pro-Oxidant Behavior of Naturally Occurring Molecules in Polymers and Biopolymers: A Brief Review. ACS Sustain. Chem. Eng. 2019, 7, 12656–12670. [Google Scholar] [CrossRef]
- Manteghi, A.; Ahmadi, S.; Arabi, H. Covalent immobilization of phenolic antioxidant on Ethylene copolymers: An efficient approach toward enhanced long-term stabilization of polypropylene. Polymer 2016, 104, 31–39. [Google Scholar] [CrossRef]
- Kanatt, S.R.; Makwana, S.H. Development of active, water-resistant carboxymethyl cellulose-poly vinyl alcohol- Aloe vera packaging film. Carbohydr. Polym. 2020, 227, 115303. [Google Scholar] [CrossRef]
- Simões, B.M.; Victória, M.; Grossmann, E.; Baron, M.; Andrade, M.M.; De Castro, C.; Larissa, T.; De Almeida, D.A.; Baron, M.; Andrade, M.M.; et al. Production of starch-polyester bio-support for lipases immobilization: Synergistic action of itaconic acid and nanoclay. Prep. Biochem. Biotechnol. 2021, 51, 580–588. [Google Scholar] [CrossRef]
- Ryan, D.G.; Frezza, C.; Neill, L.A.J.O. TCA cycle signalling and the evolution of eukaryotes. Curr. Opin. Biotechnol. 2021, 68, 72–88. [Google Scholar] [CrossRef]
- Hooftman, A.; Neill, L.A.J.O. The Immunomodulatory Potential of the Metabolite Itaconate. Trends Immunol. 2019, 40, 687–698. [Google Scholar] [CrossRef]
- Ahmed, E.M. Hydrogel: Preparation, characterization, and applications: A review. J. Adv. Res. 2015, 6, 105–121. [Google Scholar] [CrossRef]
- Sand, A.; Shin, N.; Nam, H.; Kwark, Y. Effects of Reaction Parameters on Water Absorption of Poly (itaconic acid) Superabsorbent Particles Synthesized by Inverse Suspension Polymerization. Fibers Polym. 2021, 22, 898–903. [Google Scholar] [CrossRef]
- Sharma, P.; Dagar, A.; Sapna, A.; Vyas, A.; Sand, A. Superabsorbent composites (SACs) based on xanthan gum-g-poly (itaconic acid)/kaolinite. Polym. Bull. 2020, 78, 6441–6454. [Google Scholar] [CrossRef]
- Zhang, Y.; Guo, Z.; Chen, X.; Ma, Y.; Tan, H. Synthesis of Grafting Itaconic Acid to Starch-Based Wood Adhesive for Curing at Room Temperature. J. Polym. Environ. 2020, 29, 685–693. [Google Scholar] [CrossRef]
- Liang, T.; Yan, K.; Zhao, T.; Liu, Y.; Ji, B. High strength retention of cellulose fibers crosslinking with synthesized low-molecular-weight copolymers of itaconic acid and acrylic acid. Cellulose 2021, 28, 1167–1178. [Google Scholar] [CrossRef]
- Shin, W.S.; Kwon, Y.R.; Kim, J.S.; Hong, S.J.; Kim, Y.J.; Lim, S.H. Improved Silica Dispersibility in Silica-rubber Compounds for a Tire Tread by Using an Itaconic Acid-based Polymeric Dispersant. Fibers Polym. 2021, 22, 196–204. [Google Scholar] [CrossRef]









Publisher’s Note: MDPI stays neutral with regard to jurisdictional claims in published maps and institutional affiliations. |
© 2021 by the authors. Licensee MDPI, Basel, Switzerland. This article is an open access article distributed under the terms and conditions of the Creative Commons Attribution (CC BY) license (https://creativecommons.org/licenses/by/4.0/).
Share and Cite
Teleky, B.-E.; Vodnar, D.C. Recent Advances in Biotechnological Itaconic Acid Production, and Application for a Sustainable Approach. Polymers 2021, 13, 3574. https://doi.org/10.3390/polym13203574
Teleky B-E, Vodnar DC. Recent Advances in Biotechnological Itaconic Acid Production, and Application for a Sustainable Approach. Polymers. 2021; 13(20):3574. https://doi.org/10.3390/polym13203574
Chicago/Turabian StyleTeleky, Bernadette-Emőke, and Dan Cristian Vodnar. 2021. "Recent Advances in Biotechnological Itaconic Acid Production, and Application for a Sustainable Approach" Polymers 13, no. 20: 3574. https://doi.org/10.3390/polym13203574
APA StyleTeleky, B.-E., & Vodnar, D. C. (2021). Recent Advances in Biotechnological Itaconic Acid Production, and Application for a Sustainable Approach. Polymers, 13(20), 3574. https://doi.org/10.3390/polym13203574
