A Comparison among Lignin Modification Methods on the Properties of Lignin–Phenol–Formaldehyde Resin as Wood Adhesive
Abstract
:1. Introduction
2. Materials and Methods
2.1. Materials
2.2. Methods
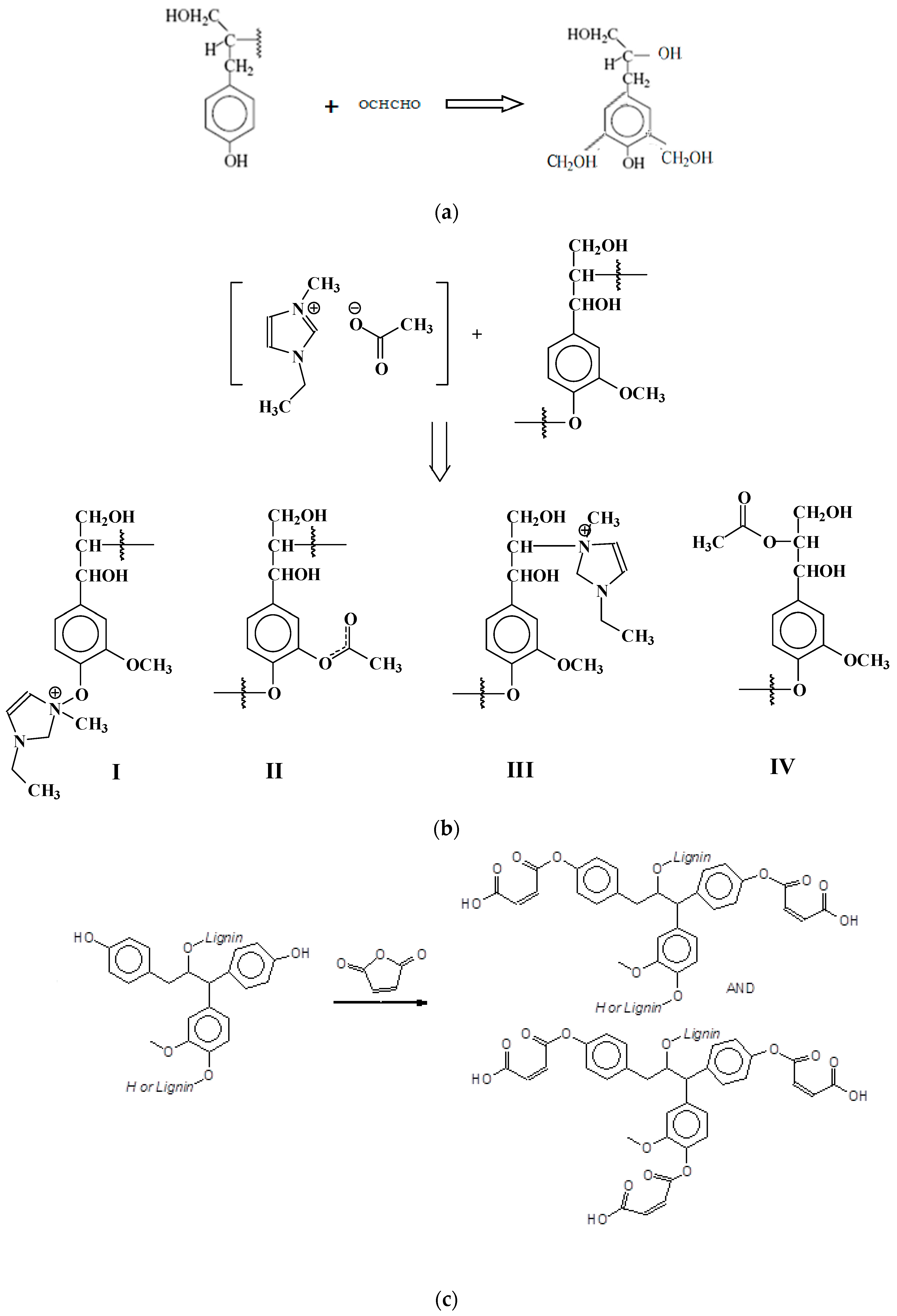
2.2.1. Lignin Modifications
- 1.
- Glyoxalation of Lignin
- 2.
- Phenolation of Lignin
- 3.
- Ionic Liquid Treatment
- 4.
- Maleic Anhydride Treatments
2.2.2. Synthesis of LPF Resin
2.3. Physicochemical Properties
2.4. Fourier Transform Infrared Spectrometry (FTIR)
2.5. Differential Scanning Calorimetry Analysis
2.6. Panel Manufacturing
2.7. Properties of Panels
2.8. Statistical Analysis
3. Results and Discussion
3.1. Physicochemical Properties
3.2. FTIR Analysis
3.3. DSC Analysis
3.4. Properties of Panels
4. Conclusions
Author Contributions
Funding
Institutional Review Board Statement
Informed Consent Statement
Data Availability Statement
Acknowledgments
Conflicts of Interest
References
- Pizzi, A. Phenolic Resin Adhesives. In Handbook of Adhesive Technology, 3rd ed.; Pizzi, A., Mittal, K.L., Eds.; CRC Press: Boca Raton, FL, USA, 2013. [Google Scholar]
- Pizzi, A.; Papadopoulos, A.; Policardi, F. Wood composites and their polymer binders. Polymers 2020, 12, 1115. [Google Scholar] [CrossRef] [PubMed]
- Moubarik, A.; Pizzi, A.; Allal, A.; Charrier, F.; Charrier, B. Cornstarch and tannin in phenol–formaldehyde resins for plywood production. Ind. Crop. Prod. 2009, 30, 188–193. [Google Scholar] [CrossRef]
- Huzyan, H.I.; Aziz, A.A.; Hussin, M.H. Ecofriendly Wood Adhesives from Date Palm Fronds Lignin for Plywood. Bioresources 2021, 16, 4106–4125. [Google Scholar] [CrossRef]
- Perez, J.M.; Rodriguez, F.; Alonso, M.V.; Oliet, M.; Echeverria, J. Characterization of a novolac resin substituting phenol by ammonium lignosulfonate as filler or extender. Bioresources 2007, 2, 270–283. [Google Scholar] [CrossRef]
- Ferreira, I.; Alves, P.; Gil, M.H.; Gando-Ferreira, L.M. Lignin separation from black liquor by mixed matrix polysulfone nanofiltration membrane filled with multiwalled carbon nanotubes. Sep. Pur. Technol. 2021, 260, 118231–118232. [Google Scholar]
- Inamuddin. Application of Technical Lignin in Wood Adhesive. In Green Polymer Composites Technology: Properties and Applications; CRC Press: Boca Raton, FL, USA, 2016; Chapter 8. [Google Scholar]
- Ghorbani, M.; Liebner, F.; van Herwijnen, H.W.; Pfungen, L.; Krahofer, M.; Budjav, E.; Konnerth, J. Lignin phenol formaldehyde resoles: The impact of lignin type on adhesive properties. Bioresources 2016, 11, 6727–6741. [Google Scholar] [CrossRef] [Green Version]
- Vázquez, G.; González, J.; Freire, S.; Antorrena, G. Effect of chemical modification of lignin on the gluebond performance of lignin-phenolic resins. Bioresour. Technol. 1997, 60, 191–198. [Google Scholar] [CrossRef]
- Younesi-Kordkheili, H.; Pizzi, A.; Niyatzade, G. Reduction of Formaldehyde Emission from Particleboard by Phenolated Kraft Lignin. J. Adhes. 2016, 92, 485–497. [Google Scholar] [CrossRef]
- Younesi-Kordkheili, A.; Pizzi, A. Properties of plywood panels bonded with ionic liquid-modified lignin-phenol-formaldehyde resin. J. Adhes. 2018, 94, 143–154. [Google Scholar] [CrossRef]
- Younesi-Kordkheili, H.; Pizzi, A. Acid Ionic Liquids as a New Hardener in Urea- Glyoxal Adhesive Resins. Polymers 2016, 8, 57. [Google Scholar] [CrossRef] [Green Version]
- Li, J.; Zhang, J.; Zhang, S.; Gao, Q.; Li, J.; Zhang, W. Fast Curing Bio-Based Phenolic Resins via Lignin Demethylated under Mild Reaction Condition. Polymers 2017, 9, 428. [Google Scholar] [CrossRef] [PubMed] [Green Version]
- Chen, X.; Xi, X.; Pizzi, A.; Fredon, E.; Du, G.; Gerardin, C. Oxidized Demethylated Lignin as a Bio-Based Adhesive for Wood Bonding. J. Adhes. 2021, 97, 873–890. [Google Scholar] [CrossRef]
- Thébault, M.; Kutuzova, L.; Jury, S.; Eicher, I.; Zikulnig-Rusch, E.-M.; Kandelbauer, A. Effect of Phenolation, Lignin-Type and Degree of Substitution on the Properties of Lignin-Modified Phenol-Formaldehyde Impregnation Resins: Molecular Weight Distribution, Wetting Behavior, Rheological Properties and Thermal Curing Profiles. J. Renew. Mater. 2020, 8, 603–630. [Google Scholar]
- Thébault, M.; Li, Y.; Beu, C.; Frömel-Frybort, S.; Zikulnig-Rusch, E.-M.; Kutuzova, L.; Kandelbauer, A. Impregnated Paper-Based Decorative Laminates Prepared from Lignin-Substituted Phenolic Resins. J. Renew. Mater. 2020, 8, 1181–1198. [Google Scholar]
- Antov, P.; Savov, V.; Mantanis, G.I.; Neykov, N. Medium-density fibreboards bonded with phenol-formaldehyde resin and calcium lignosulfonate as an eco-friendly additive. Wood Mat. Sci. Eng. 2021, 16, 42–48. [Google Scholar] [CrossRef]
- Pia Solt, P.; Rößiger, B.; Konnerth, J.; Van Herwijnen, H.W.G. Lignin Phenol Formaldehyde Resoles Using Base-Catalysed Depolymerized Kraft Lignin. Polymers 2018, 10, 1162. [Google Scholar] [CrossRef] [PubMed] [Green Version]
- Song, Y.; Wang, Z.; Yan, N.; Zhang, R.; Jinchun Li, J. Demethylation of Wheat Straw Alkali Lignin for Application in Phenol Formaldehyde Adhesives. Polymers 2016, 8, 209. [Google Scholar] [CrossRef] [PubMed] [Green Version]
- Zhang, Y.; Li, N.; Chen, Z.; Ding, C.; Zheng, Q.; Xu, J.; Meng, Q. Synthesis of High-Water-Resistance Lignin-Phenol Resin Adhesive with Furfural as a Crosslinking Agent. Polymers 2020, 12, 2805. [Google Scholar] [CrossRef]
- Luo, B.; Jia, Z.; Jian, H.; Wang, S.; Min, D. Improving the Reactivity of Sugarcane Bagasse Kraft Lignin by a Combination of Fractionation and Phenolation for Phenol–Formaldehyde Adhesive Applications. Polymers 2020, 12, 1825. [Google Scholar] [CrossRef] [PubMed]
- Li, J.; Wang, W.; Zhang, S.; Gao, Q.; Zhang, W.; Li, J. Preparation and characterization of lignin demethylatedat atmospheric pressure and its application in fast curing biobased phenolic resins. RSC Adv. 2016, 6, 67435–67443. [Google Scholar] [CrossRef]
- El Mansouri, N.E.; Yuan, Q.; Huang, F. Preparation and characterization of phenol-formaldehyde resins modified with alkaline rice straw lignin. Bioresources 2018, 13, 8061–8075. [Google Scholar] [CrossRef]
- Tachon, N.; Benjelloun-Mlayah, B.; Delmas, M. Organosolv wheat straw lignin as a phenol substitute for green phenolic resins. Bioresources 2016, 11, 5797–5815. [Google Scholar] [CrossRef] [Green Version]
- Podschun, J.; Saake, B.; Lehnen, R. Reactivity enhancement of organosolv lignin by phenolation for improved bio-based thermosets. Eur. Polym. J. 2015, 67, 1–11. [Google Scholar] [CrossRef]
- Qiao, W.; Li, S.; Guo, G.; Han, S.; Ren, S.; Ma, Y. Synthesis and characterization of phenol-formaldehyde resin using enzymatic hydrolysis lignin. J. Ind. Eng. Chem. 2015, 21, 1417–1422. [Google Scholar] [CrossRef]
- Sarika, P.R.; Nancarrow, P.; Khansaheb, A.; Ibrahim, T. Bio-Based Alternatives to Phenol and Formaldehyde, for the Production of Resins. Polymers 2020, 12, 2237. [Google Scholar] [CrossRef] [PubMed]
- Wu, Z.; Chen, S.; Liang, J.; Li, L.; Xi, X.; Deng, X.; Zhang, B.; Lei, H. Plasma Treatment Induced Chemical Changes of Alkali Lignin to Enhance the Performances of Lignin-Phenol-Formaldehyde Resin Adhesive. J. Renew. Mater. 2021, 9, 1959–1972. [Google Scholar] [CrossRef]
- Cetin, N.S.; Özmen, N. Use of organosolv lignin in phenol-formaldehyde resins for particleboard production: II. Particleboard production and properties. Int. J. Adhes. Adhes. 2002, 22, 481–486. [Google Scholar] [CrossRef]
- Younesi-Kordkheili, H.; Pizzi, A. Improving the properties of urea-lignin-glyoxal resin as a wood adhesive by small addition of epoxy. Int. J. Adhes. Adhes. 2020, 102, 102681. [Google Scholar] [CrossRef]
- Lemon, P.H.R.B. An improved sand binder for steel castings. Int. J. Mater. Prod. Technol. 1990, 5, 25–32. [Google Scholar]
- Westwood, G.W.; Higgins, R. Esters acceleration of phenolic resins foundry sand binders. UK Patent 2158448A, 1985. [Google Scholar]
- Pizzi, A.; Stephanou, A. On the chemistry, behaviour and cure acceleration of phenol-formaldehyde resins under very alkaline conditions. J. Appl. Polym. Sci. 1993, 49, 2157–2160. [Google Scholar] [CrossRef]
- Stephanou, A.; Pizzi, A. Rapid curing lignins-based exterior wood adhesives, Part 2: Esters Acceleration mechanisms and application to panel products. Holzforschung 1993, 47, 501–506. [Google Scholar] [CrossRef]
- Lei, H.; Pizzi, A.; Despres, A.; Pasch, H.; Du, G. Esters acceleration mechanisms in phenol-formaldehyde resin adhesives. J. Appl. Polym. Sci. 2006, 100, 3075–3093. [Google Scholar] [CrossRef]
- Bhattacharya, A.; Rawlins, J.W.; Ray, P. Polymer Grafting and Crosslinking; Wiley: Hoboken, NJ, USA, 2009; ISBN 978-0-470-40465-2. [Google Scholar]
- Younesi-Kordkheili, H. Ionic liquid modified lignin-phenol-glyoxal resin: A green alternative resin for production of particleboards. J. Adhes. 2019, 95, 1057–1087. [Google Scholar] [CrossRef]
- Mu, Y.B.; Wang, C.P.; Zhao, L.W.; Chu, F.X. Study on Composite Adhesive of Hydroxymethylated Lignosulfonate/Phenol-formaldehyde Resin with Low Free Formaldehyde. Chem. Ind. For. Prod. 2009, 29, 38–42. [Google Scholar]







| Resin | Density (g/cm3) | Gel time (S) | Viscosity (cP) | Solid Contents (%) |
|---|---|---|---|---|
| LPF | 1.221 c | 357 a | 342 d | 55 c |
| P-LPF | 1.222 c | 325 b | 377 c | 56 c |
| G-LPF | 1.223 c | 311 c | 396 b | 58 b |
| IL-LPF | 1.225 b | 293 d | 421 ab | 61 a |
| MA-LPF | 1.228 a | 288 e | 430 a | 61 a |
| Adhesive Type | Flexural Modulus (MPa) | Flexural Strength (MPa) | IB
Strength (MPa) | Water Absorption (%) | Thickness Swelling (%) |
|---|---|---|---|---|---|
| LPF | 2510 d ± 80 | 17 c ± 2.1 | 0.65 d ± 0.01 | 52 a ± 3.2 | 20 a ± 0.7 |
| P-LPF | 2644 c ± 91 | 19 bc ± 1.2 | 0.68 cd ± 0.02 | 41 d ± 1.3 | 16 d ± 0.3 |
| G-LPF | 2811 b ± 36 | 20 b ± 1.4 | 0.69 c ± 0.03 | 46 b ± 1.3 | 18 b ± 0.3 |
| IL-LPF | 2832 ab ± 100 | 22 ab ± 1.3 | 0.72 b ± 0.02 | 43 c ± 1.2 | 17 c ± 0.1 |
| MA-LPF | 2953 a ± 96 | 25 a ± 1.1 | 0.76 a ± 0.01 | 44 c ± 1.1 | 17 c ± 0.2 |
Publisher’s Note: MDPI stays neutral with regard to jurisdictional claims in published maps and institutional affiliations. |
© 2021 by the authors. Licensee MDPI, Basel, Switzerland. This article is an open access article distributed under the terms and conditions of the Creative Commons Attribution (CC BY) license (https://creativecommons.org/licenses/by/4.0/).
Share and Cite
Younesi-Kordkheili, H.; Pizzi, A. A Comparison among Lignin Modification Methods on the Properties of Lignin–Phenol–Formaldehyde Resin as Wood Adhesive. Polymers 2021, 13, 3502. https://doi.org/10.3390/polym13203502
Younesi-Kordkheili H, Pizzi A. A Comparison among Lignin Modification Methods on the Properties of Lignin–Phenol–Formaldehyde Resin as Wood Adhesive. Polymers. 2021; 13(20):3502. https://doi.org/10.3390/polym13203502
Chicago/Turabian StyleYounesi-Kordkheili, Hamed, and Antonio Pizzi. 2021. "A Comparison among Lignin Modification Methods on the Properties of Lignin–Phenol–Formaldehyde Resin as Wood Adhesive" Polymers 13, no. 20: 3502. https://doi.org/10.3390/polym13203502
APA StyleYounesi-Kordkheili, H., & Pizzi, A. (2021). A Comparison among Lignin Modification Methods on the Properties of Lignin–Phenol–Formaldehyde Resin as Wood Adhesive. Polymers, 13(20), 3502. https://doi.org/10.3390/polym13203502

