Fabrication of Novel and Potential Selective 4-Cyanophenol Chemical Sensor Probe Based on Cu-Doped Gd2O3 Nanofiber Materials Modified PEDOT:PSS Polymer Mixtures with Au/µ-Chip for Effective Monitoring of Environmental Contaminants from Various Water Samples
Abstract
:1. Introduction
2. Experimental
2.1. Materials and Methods
2.2. Synthesis of the CGO Nanofibers
2.3. Fabrication of Au/µ-Chip by CGO Nanofibers with PEDOT:PSS
3. Results and Discussion
3.1. Characterization of the CGO Nanofibers
3.2. 4-Cyanophenol Sensor Development
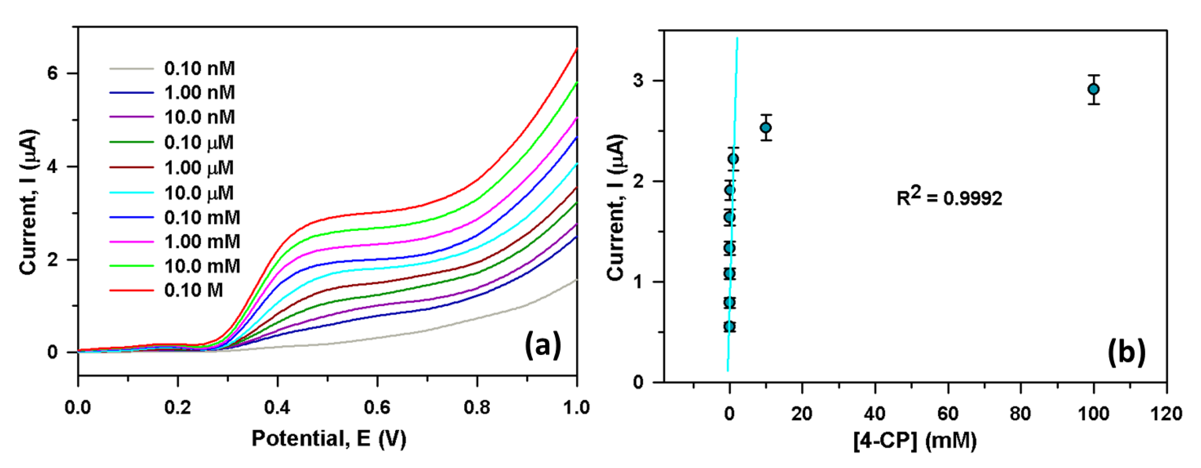
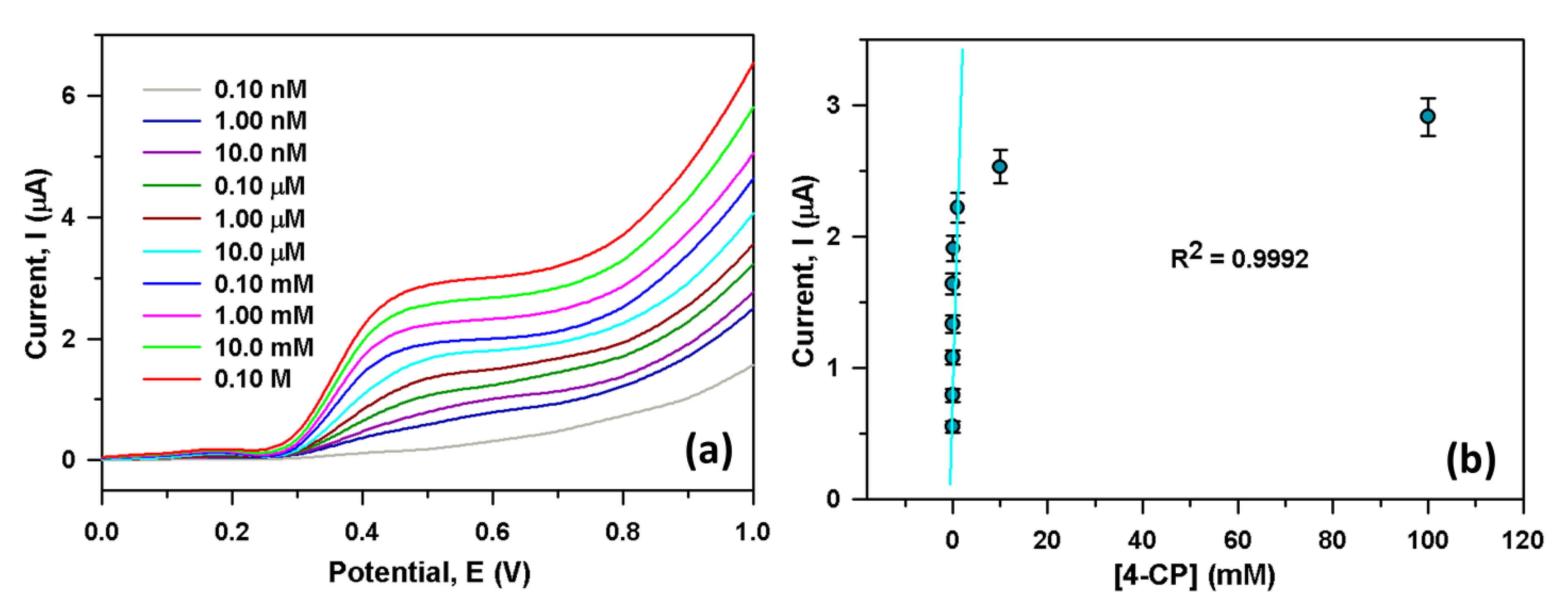
3.2.1. Detection of 4-CP Using the CGO/Au/μ-Chip
3.2.2. Investigation of Real Samples
4. Conclusions
Author Contributions
Funding
Institutional Review Board Statement
Informed Consent Statement
Data Availability Statement
Acknowledgments
Conflicts of Interest
References
- Forryan, C.L.; Lawrence, N.S.; Rees, N.V.; Compton, R.G. Voltammetric Characterisation of the Radical Anions of 4-Nitrophenol, 2-Cyanophenol and 4-Cyanophenol in N,N-Dimethylformamide Electrogenerated at Gold Electrodes. J. Electroanal. Chem. 2004, 561 (Suppl. 1), 53–65. [Google Scholar] [CrossRef]
- DellaGreca, M.; Monaco, P.; Pinto, G.; Pollio, A.; Previtera, L.; Temussi, F. Phytotoxicity of Low-Molecular-Weight Phenols from Olive Mill Waste Waters. Bull. Environ. Contam. Toxicol. 2001, 67, 0352–0359. [Google Scholar] [CrossRef]
- Dean-Ross, D.; Rahimi, M. Toxicity of Phenolic Compounds to Sediment Bacteria. Bull. Environ. Contam. Toxicol. 1995, 55, 245–250. [Google Scholar] [CrossRef]
- Michałowicz, J.; Duda, W. Phenols-Sources and Toxicity. Pol. J. Environ. Stud. 2007, 16, 347–362. [Google Scholar]
- Schweigert, N.; Zehnder, A.J.B.; Eggen, R.I.L. Chemical Properties of Catechols and Their Molecular Modes of Toxic Action in Cells, from Microorganisms to Mammals. Environ. Microbiol. 2001, 3, 81–91. [Google Scholar] [CrossRef]
- Hirose, M.; Takesada, Y.; Tanaka, H.; Tamano, S.; Kato, T.; Shirai, T. Carcinogenicity of antioxidants BHA, caffeic acid, sesamol, 4-methoxyphenol and catechol at low doses, either alone or in combination, and modulation of their effects in a rat medium-term multi-organ carcinogenesis model. Carcinogenesis 1997, 19, 207–212. [Google Scholar] [CrossRef] [PubMed]
- Przybylski, P.; Wojciechowski, G.; Brzezinski, B.; Zundel, G.; Bartl, F. FTIR Studies of the Interactions of 1,3,5-Triazabicyclo [4.4.0] Dec-5-Ene with 4-Tert-Butylphenol and 4-Cyanophenol. J. Mol. Struct. 2003, 661–662, 171–182. [Google Scholar] [CrossRef]
- Romonchuk, W.J.; Bunge, A.L. Mechanism of Enhanced Dermal Permeation of 4-Cyanophenol and Methyl Paraben from Saturated Aqueous Solutions Containing Both Solutes. Skin Pharmacol. Physiol. 2010, 23, 152–163. [Google Scholar] [CrossRef] [PubMed] [Green Version]
- Medendorp, J.; Yedluri, J.; Hammell, D.C.; Ji, T.; Lodder, R.A.; Stinchcomb, A.L. Near-Infrared Spectrometry for the Quantification of Dermal Absorption of Econazole Nitrate and 4-Cyanophenol. Pharm. Res. 2006, 23, 835–843. [Google Scholar] [CrossRef]
- Bronner, C.; Wenger, O.S. Proton-Coupled Electron Transfer between 4-Cyanophenol and Photoexcited Rhenium(I) Complexes with Different Protonatable Sites. Inorg. Chem. 2012, 51, 8275–8283. [Google Scholar] [CrossRef] [PubMed]
- Fukuto, T.R.; Metcalf, R.L. Pesticidal Activity and Structure, Structure and Insecticidal Activity of Some Diethyl Substituted Phenyl Phosphates. J. Agric. Food Chem. 1956, 4, 930–935. [Google Scholar] [CrossRef]
- Adamska, G.; Dabrowski, R.; Dziabuszek, J. A Convenient Method of Obtaining 2-Cyano-4-Alkylphenols, 4-Cyanophenol and 4-Cyanoaniline. Mol. Cryst. Liq. Cryst. 1981, 76, 93–99. [Google Scholar] [CrossRef]
- Hwa, K.Y.; Ganguly, A.; Tata, S.K.S. Influence of Temperature Variation on Spinel-Structure MgFe2O4 Anchored on Reduced Graphene Oxide for Electrochemical Detection of 4-Cyanophenol. Microchim. Acta 2020, 187, 1–13. [Google Scholar] [CrossRef] [PubMed]
- Binev, Y.I. Ab Initio MO and Experimental Studies on the Vibrational Spectra and Structure of 4-Hydroxybenzonitrile and of Its Anion. J. Mol. Struct. 2001, 535, 93–101. [Google Scholar] [CrossRef]
- Dimitrova, Y.; Tsenov, J.A. Theoretical Study of the Structures and Vibrational Spectra of the Hydrogen-Bonded Systems of 4-Cyanophenol with N-Bases. Spectrochim. Acta Part A Mol. Biomol. Spectrosc. 2007, 68, 454–459. [Google Scholar] [CrossRef] [PubMed]
- Gomes, J.R.B.; Liebman, J.F.; Da Silva, M.A.V.R. The Thermodynamics of the Isomerization of Cyanophenol and Cyanothiophenol Compounds. Struct. Chem. 2007, 18, 15–23. [Google Scholar] [CrossRef]
- Forryan, C.L.; Compton, R.G. Studies of the Electrochemical Reduction of 4-Nitrophenol in Dimethylformamide: Evidence for a Change in Mechanism with Temperature. Phys. Chem. Chem. Phys. 2003, 5, 4226–4230. [Google Scholar] [CrossRef]
- Bols, N.C.; Boliska, S.A.; Dixon, D.G.; Hodson, P.V.; Kaiser, K.L.E. The Use of Fish Cell Cultures as an Indication of Contaminant Toxicity to Fish. Aquat. Toxicol. 1985, 6, 147–155. [Google Scholar] [CrossRef]
- Hamai, S.; Satoh, N. Inclusion Effects of Cyclomaltohexa- and Heptaose (α- and β-Cyclodextrins) on the Acidities of Several Phenol Derivatives. Carbohydr. Res. 1997, 304, 229–237. [Google Scholar] [CrossRef]
- Alothman, Z.A.; Badjah, A.Y.; Locatelli, M. Multi-Walled Carbon Nanotubes Solid-Phase Extraction and Capillary Electrophoresis Methods for the Analysis of 4-Cyanophenol and 3-Nitrophenol in Water. Molecules 2020, 25, 3893. [Google Scholar] [CrossRef]
- Jesila, J.A.; Umesh, N.M.; Wang, S.F.; Mani, G.; Alothman, A.A.; Alshgari, R.A. An Electrochemical Sensing of Phenolic Derivative 4-Cyanophenol in Environmental Water Using a Facile-Constructed Aurivillius-Structured Bi2MoO6. Ecotoxicol. Environ. Saf. 2021, 208, 111701. [Google Scholar] [CrossRef] [PubMed]
- Ahmed, J.; Rashed, A.; Faisal, M.; Harraz, F.A.; Jalalah, M.; Alsareii, A. Applied Surface Science Novel SWCNTs-Mesoporous Silicon Nanocomposite as Efficient Non-Enzymatic Glucose Biosensor. Appl. Surf. Sci. 2021, 552, 149477. [Google Scholar] [CrossRef]
- Rahman, M.M.; Ahmed, J.; Asiri, A.M. Development of Creatine Sensor Based on Antimony-Doped Tin Oxide (ATO) Nanoparticles. Sens. Actuators B Chem. 2017, 242, 167–175. [Google Scholar] [CrossRef]
- Ahmed, J.; Rahman, M.M.; Siddiquey, I.A.; Asiri, A.M.; Hasnat, M.A. Efficient Bisphenol-A Detection Based on the Ternary Metal Oxide (TMO) Composite by Electrochemical Approaches. Electrochim. Acta 2017, 246, 597–605. [Google Scholar] [CrossRef]
- Ahmed, J.; Rahman, M.M.; Siddiquey, I.A.; Asiri, A.M.; Hasnat, M.A. Efficient Hydroquinone Sensor Based on Zinc, Strontium and Nickel Based Ternary Metal Oxide (TMO) Composites by Differential Pulse Voltammetry. Sens. Actuators B Chem. 2018, 256, 383–392. [Google Scholar] [CrossRef]
- Rahman, M.M.; Ahmed, J. Cd-Doped Sb2O4 Nanostructures Modified Glassy Carbon Electrode for Efficient Detection of Melamine by Electrochemical Approach. Biosens. Bioelectron. 2018, 102, 631–636. [Google Scholar] [CrossRef]
- Rahman, M.M.; Ahmed, J.; Asiri, A.M.; Alamry, K.A. Fabrication of a Hydrazine Chemical Sensor Based on Facile Synthesis of Doped NZO Nanostructure Materials. New J. Chem. 2020, 44, 13018–13029. [Google Scholar] [CrossRef]
- Subhan, M.A.; Chandra Saha, P.; Ahmed, J.; Asiri, A.M.; Al-Mamun, M.; Rahman, M.M. Development of an Ultra-Sensitive Para-Nitrophenol Sensor Using Tri-Metallic Oxide MoO2 Fe3O4 CuO Nanocomposites. Mater. Adv. 2020, 1, 2831–2839. [Google Scholar] [CrossRef]
- Subhan, M.A.; Saha, P.C.; Sumon, S.A.; Ahmed, J.; Asiri, A.M.; Rahman, M.M.; Al-Mamun, M. Enhanced Photocatalytic Activity and Ultra-Sensitive Benzaldehyde Sensing Performance of a SnO2·ZnO·TiO2 Nanomaterial. RSC Adv. 2018, 8, 33048–33058. [Google Scholar] [CrossRef] [Green Version]
- Katowah, D.F.; Hussein, M.A.; Alam, M.M.; Ismail, S.H.; Osman, O.I.; Sobahi, T.R.; Asiri, A.M.; Ahmed, J.; Rahman, M.M. Designed Network of Ternary Core-Shell PPCOT/NiFe2O4/C-SWCNTs Nanocomposites. A Selective Fe3+ Ionic Sensor. J. Alloys Compd. 2020, 834, 155020. [Google Scholar] [CrossRef]
- Rahman, M.M.; Ahmed, J.; Asiri, A.M.; Siddiquey, I.A.; Hasnat, M.A. Development of Highly-Sensitive Hydrazine Sensor Based on Facile CoS2-CNT Nanocomposites. RSC Adv. 2016, 6, 90470–90479. [Google Scholar] [CrossRef]
- Rahman, M.M.; Ahmed, J.; Asiri, A.M.; Siddiquey, I.A.; Hasnat, M.A. Development of 4-Methoxyphenol Chemical Sensor Based on NiS2-CNT Nanocomposites. J. Taiwan Inst. Chem. Eng. 2016, 64, 157–165. [Google Scholar] [CrossRef]
- Safavi, A.; Maleki, N.; Moradlou, O. A Selective and Sensitive Method for Simultaneous Determination of Traces of Paracetamol and P-Aminophenol in Pharmaceuticals Using Carbon Ionic Liquid Electrode. Electroanalysis 2008, 20, 2158–2162. [Google Scholar] [CrossRef]
- Huang, W.; Hu, W.; Song, J. Adsorptive Stripping Voltammetric Determination of 4-Aminophenol at a Single-Wall Carbon Nanotubes Film Coated Electrode. Talanta 2003, 61, 411–416. [Google Scholar] [CrossRef]
- Rahman, M.M.; Khan, S.B.; Jamal, A.; Faisal, M.; Asiri, A.M. Highly Sensitive Methanol Chemical Sensor Based on Undoped Silver Oxide Nanoparticles Prepared by a Solution Method. Microchim. Acta 2012, 178, 99–106. [Google Scholar] [CrossRef]
- Maalej, N.M.; Qurashi, A.; Assadi, A.A.; Maalej, R.; Shaikh, M.N.; Ilyas, M.; Gondal, M.A. Synthesis of Gd2O3:Eu Nanoplatelets for MRI and Fluorescence Imaging. Nanoscale Res. Lett. 2015, 10, 1–10. [Google Scholar] [CrossRef] [PubMed] [Green Version]
- Singh, S.K.; Kumar, K.; Rai, S.B. Multifunctional Er3+-Yb3+ Codoped Gd2O3 Nanocrystalline Phosphor Synthesized through Optimized Combustion Route. Appl. Phys. B Lasers Opt. 2009, 94, 165–173. [Google Scholar] [CrossRef]
- Hirai, T.; Orikoshi, T. Preparation of Gd2O3:Yb,Er and Gd2O2S:Yb,Er Infrared-to-Visible Conversion Phosphor Ultrafine Particles Using an Emulsion Liquid Membrane System. J. Colloid Interface Sci. 2004, 269, 103–108. [Google Scholar] [CrossRef]
- Pandey, A.; Kroon, R.E.; Swart, H.C. Fluorescence Behaviour of Eu Doped Gd2O3 Nanosheets via CuO Incorporation. In Proceedings of the SAIP Conference, Port Elizabeth, South Africa, 29 June–3 July 2015; pp. 267–272. [Google Scholar]
- Majeed, S.; Shivashankar, S.A. Novel Spherical Hierarchical Structures of GdOOH and Eu:GdOOH: Rapid Microwave-Assisted Synthesis through Self-Assembly, Thermal Conversion to Oxides, and Optical Studies. J. Mater. Chem. C 2014, 2, 2965–2974. [Google Scholar] [CrossRef]
- Majeed, S.; Shivashankar, S.A. Rapid, Microwave-Assisted Synthesis of Gd2O3 and Eu:Gd2O3 Nanocrystals: Characterization, Magnetic, Optical and Biological Studies. J. Mater. Chem. B 2014, 2, 5585–5593. [Google Scholar] [CrossRef] [PubMed]
- Atabaev, T.S.; Lee, J.H.; Han, D.W.; Kim, H.K.; Hwang, Y.H. Fabrication of Carbon Coated Gadolinia Particles for Dual-Mode Magnetic Resonance and Fluorescence Imaging. J. Adv. Ceram. 2015, 4, 118–122. [Google Scholar] [CrossRef] [Green Version]
- Delice, S.; Isik, M.; Gasanly, N.M. Characterization of Trap Centers in Gd2O3 Nanoparticles by Low Temperature Thermoluminescence Measurements. Optik 2018, 158, 237–242. [Google Scholar] [CrossRef]
- Chinthakuntla, A.; Rao, K.V.; Ashok, C.; Rao, K.; Chakra, C.S. Structural Analysis of CuO Nanomaterials Prepared by Novel Microwave Assisted Method. J. Atoms Mol. 2014, 4, 803–806. [Google Scholar]
- Shi, L.B.; Tang, P.F.; Zhang, W.; Zhao, Y.P.; Zhang, L.C.; Zhang, H. Green Synthesis of CuO Nanoparticles Using Cassia Auriculata Leaf Extract and in Vitro Evaluation of Their Biocompatibility with Rheumatoid Arthritis Macrophages (RAW 264.7). Trop. J. Pharm. Res. 2017, 16, 185–192. [Google Scholar] [CrossRef] [Green Version]
- Mandal, M.; Nagaraj, R.; Chattopadhyay, K.; Chakraborty, M.; Chatterjee, S.; Ghosh, D.; Bhattacharya, S.K. A High-Performance Pseudocapacitive Electrode Based on CuO–MnO2 Composite in Redox-Mediated Electrolyte. J. Mater. Sci. 2021, 56, 3325–3335. [Google Scholar] [CrossRef]
- Azam, A.; Ahmed, A.S.; Oves, M.; Khan, M.S.; Memic, A. Size-Dependent Antimicrobial Properties of CuO Nanoparticles against Gram-Positive and -Negative Bacterial Strains. Int. J. Nanomed. 2012, 7, 3527–3535. [Google Scholar] [CrossRef] [Green Version]
- Liu, H.; Liu, J. Hollow Mesoporous Gd2O3:Eu3+ Spheres with Enhanced Luminescence and Their Drug Releasing Behavior. RSC Adv. 2016, 6, 99158–99164. [Google Scholar] [CrossRef]
- Gai, S.; Yang, P.; Wang, D.; Li, C.; Niu, N.; He, F.; Li, X. Monodisperse Gd2O3:Ln (Ln = Eu3+, Tb3+, Dy3+, Sm3+, Yb3+/Er3+, Yb3+/Tm3+, and Yb3+/Ho3+) Nanocrystals with Tunable Size and Multicolor Luminescent Properties. CrystEngComm 2011, 13, 5480–5487. [Google Scholar] [CrossRef]
- Tanvir, N.B.; Yurchenko, O.; Wilbertz, C.; Urban, G. Investigation of CO2 Reaction with Copper Oxide Nanoparticles for Room Temperature Gas Sensing. J. Mater. Chem. A 2016, 4, 5294–5302. [Google Scholar] [CrossRef] [Green Version]






| Sample | 4-CP Conc. Added | 4-CP Conc. Determined by CGO/Au/µ-Chip | Recovery (%) | RSD (%) (n = 3) |
|---|---|---|---|---|
| S1 | 2.000 nM | 2.060 nM | 102.0 | 3.8 |
| 2.000 µM | 2.102 µM | 105.7 | 4.4 | |
| S2 | 2.000 nM | 1.984 nM | 97.1 | 3.6 |
| 2.000 µM | 1.930 µM | 96.0 | 4.3 |
| Material | Method | LDR (μM) | LOD (μM) | Sensitivity (μAμM−1cm−2) | Refs. |
|---|---|---|---|---|---|
| rGO/MFO/SPCE | DPV | 0.001 to 700 | 0.0012 | 6.836 | [13] |
| Bi2MoO6 | DPV | 0.1–39.1 & 46.6–110.1 | 0.008297 & 0.01097 | 0.0287 μAμM−1 | [21] |
| MWCNTs | CE | 10–50 μg/L. | 0.32 μg | - | [20] |
| CGO/PEDOT: PSS/Au/μ-Chip | I–V | 1.0 nM–1.0 mM | 1.3 ± 0.1 pM | 2.4214 | This work |
Publisher’s Note: MDPI stays neutral with regard to jurisdictional claims in published maps and institutional affiliations. |
© 2021 by the authors. Licensee MDPI, Basel, Switzerland. This article is an open access article distributed under the terms and conditions of the Creative Commons Attribution (CC BY) license (https://creativecommons.org/licenses/by/4.0/).
Share and Cite
Rahman, M.M.; Alfaifi, S.Y. Fabrication of Novel and Potential Selective 4-Cyanophenol Chemical Sensor Probe Based on Cu-Doped Gd2O3 Nanofiber Materials Modified PEDOT:PSS Polymer Mixtures with Au/µ-Chip for Effective Monitoring of Environmental Contaminants from Various Water Samples. Polymers 2021, 13, 3379. https://doi.org/10.3390/polym13193379
Rahman MM, Alfaifi SY. Fabrication of Novel and Potential Selective 4-Cyanophenol Chemical Sensor Probe Based on Cu-Doped Gd2O3 Nanofiber Materials Modified PEDOT:PSS Polymer Mixtures with Au/µ-Chip for Effective Monitoring of Environmental Contaminants from Various Water Samples. Polymers. 2021; 13(19):3379. https://doi.org/10.3390/polym13193379
Chicago/Turabian StyleRahman, Mohammed Muzibur, and S. Y. Alfaifi. 2021. "Fabrication of Novel and Potential Selective 4-Cyanophenol Chemical Sensor Probe Based on Cu-Doped Gd2O3 Nanofiber Materials Modified PEDOT:PSS Polymer Mixtures with Au/µ-Chip for Effective Monitoring of Environmental Contaminants from Various Water Samples" Polymers 13, no. 19: 3379. https://doi.org/10.3390/polym13193379
APA StyleRahman, M. M., & Alfaifi, S. Y. (2021). Fabrication of Novel and Potential Selective 4-Cyanophenol Chemical Sensor Probe Based on Cu-Doped Gd2O3 Nanofiber Materials Modified PEDOT:PSS Polymer Mixtures with Au/µ-Chip for Effective Monitoring of Environmental Contaminants from Various Water Samples. Polymers, 13(19), 3379. https://doi.org/10.3390/polym13193379

