Environmental Resistance and Fatigue Behaviors of Epoxy/Nano-Boron Nitride Thermally Conductive Structural Film Adhesive Toughened by Polyphenoxy
Abstract
:1. Introduction
2. Experimental Section
2.1. Materials
2.2. Fabrication of Modified Epoxy Resin and Structural Adhesives
2.3. Preparation of Double-Lap Shear Specimens
2.4. Preparation of Specimens for Peel Test
2.5. Characterizations
3. Results and Discussion
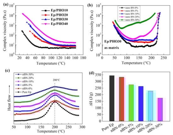
3.1. Rheological Analysis
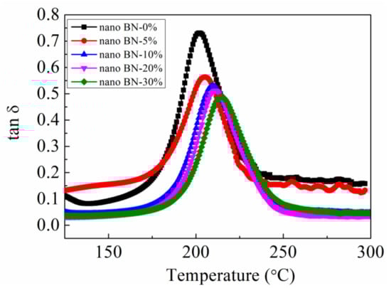
3.2. Thermal Stability and Thermal Conductivity of Structural Adhesives
3.3. Micromorphologies of BN Nanosheets and Structural Adhesive Systems
3.4. Double-Lap Shear and Peel Properties of Structural Adhesives
3.5. Environmental Resistance of Structural Adhesives
3.6. Fatigue Performance of Structural Film Adhesive
4. Conclusions
Supplementary Materials
Author Contributions
Funding
Institutional Review Board Statement
Informed Consent Statement
Data Availability Statement
Conflicts of Interest
References
- Saraç, İ.; Adin, H.; Temiz, Ş. Experimental determination of the static and fatigue strength of the adhesive joints bonded by epoxy adhesive including different particles. Compos. Part B Eng. 2018, 155, 92–103. [Google Scholar] [CrossRef]
- Raykhere, S.L.; Kumar, P.; Singh, R.K.; Parameswaran, V. Dynamic shear strength of adhesive joints made of metallic and composite adherents. Mater. Des. 2010, 31, 2102–2109. [Google Scholar] [CrossRef]
- Jakubinek, M.B.; Ashrafi, B.; Zhang, Y.; Martinez-Rubi, Y.; Kingston, C.T.; Johnston, A.; Simard, B. Single-walled carbon nanotube–epoxy composites for structural and conductive aerospace adhesives. Compos. Part B Eng. 2015, 69, 87–93. [Google Scholar] [CrossRef]
- Katsiropoulos, C.V.; Chamos, A.N.; Tserpes, K.I.; Pantelakis, S.G. Fracture toughness and shear behavior of composite bonded joints based on a novel aerospace adhesive. Compos. Part B Eng. 2012, 43, 240–248. [Google Scholar] [CrossRef]
- Iwamoto, T.; Nagai, T.; Sawa, T. Experimental and computational investigations on strain rate sensitivity and deformation behavior of bulk materials made of epoxy resin structural adhesive. Int. J. Solids Struct. 2010, 47, 175–185. [Google Scholar] [CrossRef] [Green Version]
- Baek, D.; Sim, K.-B.; Kim, H.-J. Mechanical Characterization of Core-Shell Rubber/Epoxy Polymers for Automotive Structural Adhesives as a Function of Operating Temperature. Polymers 2021, 13, 734. [Google Scholar] [CrossRef]
- Hua, Y.; Kasavajhala, A.R.M.; Gu, L. Elastic–plastic analysis and strength evaluation of adhesive joints in wind turbine blades. Compos. Part B Eng. 2013, 44, 650–656. [Google Scholar] [CrossRef] [Green Version]
- Moussa, O.; Vassilopoulos, A.P.; Keller, T. Effects of low-temperature curing on physical behavior of cold-curing epoxy adhesives in bridge construction. Int. J. Adhes. Adhes. 2012, 32, 15–22. [Google Scholar] [CrossRef]
- Sadowski, T.; Golewski, P. Modelling and Experimental Testing of Hybrid Joints Made of: Aluminium Adherends, Adhesive Layers and Rivets for Aerospace Applications. Arch. Metall. Mater. 2017, 62. [Google Scholar] [CrossRef] [Green Version]
- Marques, E.A.S.; da Silva, L.F.M.; Banea, M.D.; Carbas, R.J.C. Adhesive Joints for Low- and High-Temperature Use: An Overview. J. Adhes. 2015, 91, 556–585. [Google Scholar] [CrossRef]
- da Silva, L.F.M.; Adams, R.D.; Gibbs, M. Manufacture of adhesive joints and bulk specimens with high-temperature adhesives. Int. J. Adhes. Adhes. 2004, 24, 69–83. [Google Scholar] [CrossRef]
- Wang, B.; Bai, Y.; Hu, X.; Lu, P. Enhanced epoxy adhesion between steel plates by surface treatment and CNT/short-fibre reinforcement. Compos. Sci. Technol. 2016, 127, 149–157. [Google Scholar] [CrossRef]
- Wang, B.; Hu, X.; Lu, P. Improvement of adhesive bonding of grit-blasted steel substrates by using diluted resin as a primer. Int. J. Adhes. Adhes. 2017, 73, 92–99. [Google Scholar] [CrossRef]
- Shin, P.-S.; Kwon, D.-J.; Kim, J.-H.; Lee, S.-I.; DeVries, K.L.; Park, J.-M. Interfacial properties and water resistance of epoxy and CNT-epoxy adhesives on GFRP composites. Compos. Sci. Technol. 2017, 142, 98–106. [Google Scholar] [CrossRef]
- Pereira, A.B.; Fernandes, F.A.O. Sandwich Panels Bond with Advanced Adhesive Films. J. Compos. Sci. 2019, 3, 79. [Google Scholar] [CrossRef] [Green Version]
- Beber, V.C.; Schneider, B.; Brede, M. Experimental investigation and numerical prediction of static strength and fracture behaviour of notched epoxy-based structural adhesives. Int. J. Adhes. Adhes. 2019, 93, 102329. [Google Scholar] [CrossRef]
- Wright, C.D.; Muggee, J.M. Epoxy Structural Adhesives. In Structural Adhesives: Chemistry and Technology; Hartshorn, S.R., Ed.; Springer: Boston, MA, USA, 1986; pp. 113–179. [Google Scholar]
- Chae, G.-S.; Park, H.-W.; Lee, J.-H.; Shin, S. Comparative Study on the Impact Wedge-Peel Performance of Epoxy-Based Structural Adhesives Modified with Different Toughening Agents. Polymers 2020, 12, 1549. [Google Scholar] [CrossRef]
- Li, H.; Zhao, L.; Su, K.; Feng, H.; Wang, D.; Qu, C. A comparative study on the rheological, thermal, and mechanical performance of epoxy resin modified with thermoplastics. J. Adhes. Sci. Technol. 2021, 35, 1393–1403. [Google Scholar] [CrossRef]
- Vietri, U.; Guadagno, L.; Raimondo, M.; Vertuccio, L.; Lafdi, K. Nanofilled epoxy adhesive for structural aeronautic materials. Compos. Part B Eng. 2014, 61, 73–83. [Google Scholar] [CrossRef]
- Jee, S.M.; Ahn, C.-H.; Park, J.H.; Kim, T.A.; Park, M. Solvent-free encapsulation of curing agents for high performing one-component epoxy adhesives. Compos. Part B Eng. 2020, 202, 108438. [Google Scholar] [CrossRef]
- Ke, L.; Li, C.; Luo, N.; He, J.; Jiao, Y.; Liu, Y. Enhanced comprehensive performance of bonding interface between CFRP and steel by a novel film adhesive. Compos. Struct. 2019, 229, 111393. [Google Scholar] [CrossRef]
- Fu, Y.-X.; He, Z.-X.; Mo, D.-C.; Lu, S.-S. Thermal conductivity enhancement with different fillers for epoxy resin adhesives. Appl. Therm. Eng. 2014, 66, 493–498. [Google Scholar] [CrossRef]
- Singh, A.K.; Panda, B.P.; Mohanty, S.; Nayak, S.K.; Gupta, M.K. Synergistic effect of hybrid graphene and boron nitride on the cure kinetics and thermal conductivity of epoxy adhesives. Polym. Adv. Technol. 2017, 28, 1851–1864. [Google Scholar] [CrossRef]
- Kumar, R.; Nayak, S.K.; Sahoo, S.; Panda, B.P.; Mohanty, S.; Nayak, S.K. Study on thermal conductive epoxy adhesive based on adopting hexagonal boron nitride/graphite hybrids. J. Mater. Sci. Mater. Electron. 2018, 29, 16932–16938. [Google Scholar] [CrossRef]
- Zhao, L.; Shi, X.; Yin, Y.; Jiang, B.; Huang, Y. A self-healing silicone/BN composite with efficient healing property and improved thermal conductivities. Compos. Sci. Technol. 2020, 186, 107919. [Google Scholar] [CrossRef]
- Yang, X.; Sun, L.; Huang, B.; Zhan, B.; Zhang, C.; Chu, Y.; An, D. Tuning the properties of functional adhesives with hybrid nanofillers for structural health monitoring. J. Adhes. 2021, 97, 101–116. [Google Scholar] [CrossRef]
- Sancaktar, E.; Bai, L. Electrically Conductive Epoxy Adhesives. Polymers 2011, 3, 427–466. [Google Scholar] [CrossRef] [Green Version]
- Koo, M.Y.; Shin, H.C.; Suhr, J.; Lee, G.W. A Suggested Vacuum Bagging Process for the Fabrication of Single-Walled Carbon Nanotube/Epoxy Composites That Maximize Electromagnetic Interference Shielding Effectiveness. Polymers 2021, 13, 1867. [Google Scholar] [CrossRef]
- Singh, A.K.; Panda, B.P.; Mohanty, S.; Nayak, S.K.; Gupta, M.K. Recent Developments on Epoxy-Based Thermally Conductive Adhesives (TCA): A Review. Polym.-Plast. Technol. Eng. 2018, 57, 903–934. [Google Scholar] [CrossRef]
- Hwang, Y.J.; Kim, J.M.; Kim, L.S.; Jang, J.Y.; Kim, M.; Jeong, S.; Cho, J.Y.; Yi, G.-R.; Choi, Y.S.; Lee, G. Epoxy-based thermally conductive adhesives with effective alumina and boron nitride for superconducting magnet. Compos. Sci. Technol. 2020, 200, 108456. [Google Scholar] [CrossRef]
- Moriche, R.; Prolongo, S.G.; Sánchez, M.; Jiménez-Suárez, A.; Chamizo, F.J.; Ureña, A. Thermal conductivity and lap shear strength of GNP/epoxy nanocomposites adhesives. Int. J. Adhes. Adhes. 2016, 68, 407–410. [Google Scholar] [CrossRef]
- Fu, J.; Shi, L.; Zhang, D.; Zhong, Q.; Chen, Y. Effect of nanoparticles on the performance of thermally conductive epoxy adhesives. Polym. Eng. Sci. 2010, 50, 1809–1819. [Google Scholar] [CrossRef]
- Beber, V.C.; Baumert, M.; Klapp, O.; Nagel, C. Fatigue failure criteria for structural film adhesive bonded joints with considerations of multiaxiality, mean stress and temperature. Fatigue Fract. Eng. Mater. Struct. 2021, 44, 636–650. [Google Scholar] [CrossRef]










| Sample | Ep (phr) | PHO (phr) | DDS (phr) | BN Nanosheets (wt.%) |
|---|---|---|---|---|
| Pure Ep | 100 | - | 30 | - |
| Ep/PHO10 | 100 | 10 | - | - |
| Ep/PHO20 | 100 | 20 | - | - |
| Ep/PHO30 | 100 | 30 | - | - |
| Ep/PHO40 | 100 | 40 | - | - |
| Ep/PHO30/nBN5 | 100 | 30 | 30 | 5 |
| Ep/PHO30/nBN10 | 100 | 30 | 30 | 10 |
| Ep/PHO30/nBN20 | 100 | 30 | 30 | 20 |
| Ep/PHO30/nBN30 | 100 | 30 | 30 | 30 |
Publisher’s Note: MDPI stays neutral with regard to jurisdictional claims in published maps and institutional affiliations. |
© 2021 by the authors. Licensee MDPI, Basel, Switzerland. This article is an open access article distributed under the terms and conditions of the Creative Commons Attribution (CC BY) license (https://creativecommons.org/licenses/by/4.0/).
Share and Cite
Yue, C.; Dong, S.; Weng, L.; Wang, Y.; Zhao, L. Environmental Resistance and Fatigue Behaviors of Epoxy/Nano-Boron Nitride Thermally Conductive Structural Film Adhesive Toughened by Polyphenoxy. Polymers 2021, 13, 3253. https://doi.org/10.3390/polym13193253
Yue C, Dong S, Weng L, Wang Y, Zhao L. Environmental Resistance and Fatigue Behaviors of Epoxy/Nano-Boron Nitride Thermally Conductive Structural Film Adhesive Toughened by Polyphenoxy. Polymers. 2021; 13(19):3253. https://doi.org/10.3390/polym13193253
Chicago/Turabian StyleYue, Cheng’e, Shaobo Dong, Ling Weng, Yazhen Wang, and Liwei Zhao. 2021. "Environmental Resistance and Fatigue Behaviors of Epoxy/Nano-Boron Nitride Thermally Conductive Structural Film Adhesive Toughened by Polyphenoxy" Polymers 13, no. 19: 3253. https://doi.org/10.3390/polym13193253
APA StyleYue, C., Dong, S., Weng, L., Wang, Y., & Zhao, L. (2021). Environmental Resistance and Fatigue Behaviors of Epoxy/Nano-Boron Nitride Thermally Conductive Structural Film Adhesive Toughened by Polyphenoxy. Polymers, 13(19), 3253. https://doi.org/10.3390/polym13193253

