Role of Adsorbed Polymers on Nanoparticle Dispersion in Drying Polymer Nanocomposite Films
Abstract
1. Introduction
2. Materials and Methods
3. Results and Discussion
3.1. Structure of Initial PNC Solution
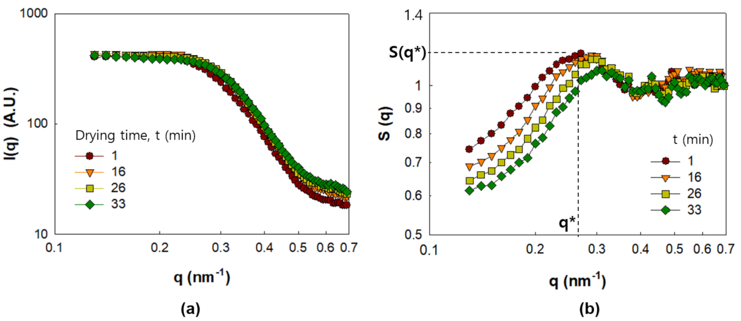
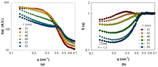
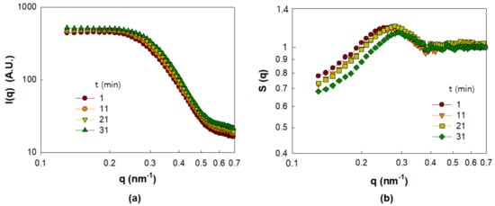
3.2. Evolution of SAXS Spectra during Drying
4. Conclusions
Author Contributions
Funding
Institutional Review Board Statement
Informed Consent Statement
Data Availability Statement
Conflicts of Interest
References
- Burn, I.; Smyth, D.M. Energy Storage in Ceramic Dielectrics. J. Mater. Sci. 1972, 7, 339–343. [Google Scholar] [CrossRef]
- Barber, P.; Balasubramanian, S.; Anguchamy, Y.; Gong, S.; Wibowo, A.; Gao, H.; Ploehn, H.; Loye, H. Polymer Composite and Nanocomposite Dielectric Materials for Pulse Power Energy Storage. Materials 2009, 2, 1697–1733. [Google Scholar] [CrossRef]
- Attia, N.F.; Geckeler, K.E. Polyaniline as a material for hydrogen storage applications. Macromol. Rapid Commun. 2013, 34, 1043–1055. [Google Scholar] [CrossRef] [PubMed]
- Stephan, A.M.; Nahm, K.S. Review on composite polymer electrolytes for lithium batteries. Polymer 2006, 47, 5952–5964. [Google Scholar] [CrossRef]
- Ray, S.S. Polylactide-Based Bionanocomposites: A Promising Class of Hybrid Materials. Acc. Chem. Res. 2012, 45, 1710–1720. [Google Scholar] [CrossRef]
- Usuki, A.; Kojima, Y.; Kawasumi, M.; Okada, A.; Fukusima, Y.; Karuchi, T.; Kamigaito, O. Synthesis of nylon 6-clay hybrid. J. Mater. Res. 1993, 8, 1179–1184. [Google Scholar] [CrossRef]
- Kojima, Y.; Usuki, A.; Kawasumi, M.; Okada, A.; Fukusima, Y.; Karuchi, T.; Kamigaito, O. Mechanical properties of nylon 6-clay hybrid. J. Mater. Res. 1993, 8, 1185–1189. [Google Scholar] [CrossRef]
- Rajesh; Ahuja, T.; Kumar, D. Recent progress in the development of nano-structured conducting polymers/nanocompsites for sensor applications. Sens. Actuators B 2008, 136, 275–286. [Google Scholar] [CrossRef]
- Janes, W.D.; Moll, F.J.; Harton, S.E.; Durning, J.C. Dispersion Morphology of Poly(methyl acrylate)/Silica Nanocomposites. Macromolecules 2011, 44, 4920–4927. [Google Scholar] [CrossRef]
- Kumar, K.S.; Jouault, N.; Benicewicz, B.; Neely, T. Nanocomposites with Polymer Grafted nanoparticles. Macromolecules 2013, 46, 3199–3214. [Google Scholar] [CrossRef]
- Selvin, P.T.; Kuruvilla, J.; Sabu, T. Mechanical properties of titanium dioxide-filled polystyrene microcomposites. Mater. Lett. 2004, 58, 281–289. [Google Scholar] [CrossRef]
- Hashimoto, M.; Takadama, H.; Mizuno, M.; Kokubo, T. Mechanical properties and apatite forming ability of TiO2 nanoparticles/high density polyethylene composite: Effect of filler content. J. Mater. Sci Med. 2007, 18, 661–668. [Google Scholar] [CrossRef]
- Kwon, N.K.; Kim, H.; Shin, T.J.; Saalwächter, K.; Park, J.; Kim, S.Y. Control of Particle Dispersion with Autophobic Dewetting in Polymer Nanocomposites. Macromolecules 2020, 53, 4836–4844. [Google Scholar] [CrossRef]
- Green, D.L.; Mewis, J. Connecting the Wetting and Rheological Behaviors of Poly(Dimethylsiloxane)-Grafted Silica Spheres in Poly(Dimethylsiloxane) Melts. Langmuir 2006, 22, 9546–9553. [Google Scholar] [CrossRef] [PubMed]
- Sunday, D.; Ilavsky, J.; Green, D.L. A Phase Diagram for Polymer-Grafted Nanoparticles in Homopolymer Matrices. Macromolecules 2012, 45, 4007–4011. [Google Scholar] [CrossRef]
- Sgouros, A.P.; Revelas, C.J.; Lakkas, A.T.; Theodorou, D.N. Potential of Mean Force between Bare or Grafted Silica/Polystyrene Surfaces from Self-Consistent Field Theory. Polymers 2021, 13, 1197. [Google Scholar] [CrossRef]
- Narayanamorthy, B.; Datta, K.K.R.; Eswaramoorthy, M.; Balaji, S. Improved Oxygen Reduction Reaction Catalyzed by Pt/Clay/Nafion Nanocomposite for PEM Fuel Cells. ACS Appl. Mater. Interfaces 2012, 4, 3620–3626. [Google Scholar] [CrossRef]
- Richards, J.J.; Whittle, C.L.; Shao, G.; Pozzo, D.L. Correlating Structure and Photocurrent for Composite Semiconducting Nanoparticles with Contrast Variation Small-Angle Neutron Scattering and Photoconductive Atomic Force Microscopy. ACS Nano 2014, 8, 4313–4324. [Google Scholar] [CrossRef] [PubMed]
- Kim, P.; Doss, M.N.; Tillotson, P.J.; Hotchkiss, J.P.; Pan, M.; Marder, R.S.; Li, J.; Calame, P.J.; Perry, J.W. High Energy Density Nanocomposites Based on Surface-Modified BaTiO3 and a Ferroelectric Polymer. ACS Nano. 2009, 3, 2581–2592. [Google Scholar] [CrossRef] [PubMed]
- Song, Q.; Nataraj, K.S.; Roussenova, V.M.; Tan, J.C.; Hughes, D.J.; Li, W.; Bourgoin, P.; Alam, M.A.; Cheetham, A.K.; Al-Muhtaseb, S.A.; et al. Zeolitic imidazolate framework (ZIF-8) based polymer nanocomposite membranes for gas separation. Energy Environ. Sci. 2012, 5, 8359–8369. [Google Scholar] [CrossRef]
- Xu, L.; Gao, L.; He, J. Fabrication of visible/near-IR antireflective and superhydrophobic coatings from hydrophobically modified hollow silica nanoparticles and poly(methyl methacrylate). RSC Adv. 2012, 2, 12764–12769. [Google Scholar] [CrossRef]
- Cheng, S.; Grest, G.S. Dispersing Nanoparticles in a Polymer Film via Solvent Evaporation. ACS Macro Lett. 2016, 5, 694–698. [Google Scholar] [CrossRef]
- Kim, S.; Hyun, K.; Struth, B.; Ahn, K.H.; Clasen, C. Structural Development of Nanoparticle Dispersion during Drying in Polymer Nanocomposite Films. Macromolecules 2016, 49, 9068–9079. [Google Scholar] [CrossRef]
- Meth, J.S.; Zane, S.G.; Chi, C.; Londono, J.D.; Wood, B.A.; Cotts, P.; Keating, M.; Guise, W.; Weigand, S. Development of Filler Structure in Colloidal Silica–Polymer Nanocomposites. Macromolecules 2011, 44, 8301–8313. [Google Scholar] [CrossRef]
- Oh, S.M.; Abbasi, M.; Shin, T.J.; Saalwächter, K.; Kim, S.Y. Initial Solvent-Driven Nonequilibrium Effect on Structure, Properties, and Dynamics of Polymer Nanocomposites. Phys. Rev. Lett. 2019, 123, 167801. [Google Scholar] [CrossRef] [PubMed]
- Jouault, N.; Zhao, D.; Kumar, S.K. Role of Casting Solvent on Nanoparticle Dispersion in Polymer Nanocomposites. Macromolecules 2014, 47, 5246–5255. [Google Scholar] [CrossRef]
- Kim, S.; Sung, J.; Ahn, K.; Lee, S. Drying of the Silica/PVA Suspension: Effect of Suspension Microstructure. Langmuir 2009, 25, 6155–6161. [Google Scholar] [CrossRef]
- Lepcio, P.; Ondreas, F.; Zarybnicka, K.; Zboncak, M.; Caha, O.; Jancar, J. Bulk Polymer Nanocomposites with Preparation Protocol Governed Nanostructure: The Origin and Properties of Aggregates and Polymer Bound Clusters. Soft Matter 2018, 14, 2094–2103. [Google Scholar] [CrossRef]
- Moulé, A.J.; Meerholz, K. Morphology Control in Solution-Processed Bulk-Heterojunction Solar Cell Mixtures. Adv. Funct. Mater. 2009, 19, 3028–3036. [Google Scholar] [CrossRef]
- Park, M.J.; Char, K.; Park, J.; Hyeon, T. Effect of the Casting Solvent on the Morphology of Poly(Styrene-b-Isoprene) Diblock Copolymer/Magnetic Nanoparticle Mixtures. Langmuir 2006, 22, 1375–1378. [Google Scholar] [CrossRef] [PubMed]
- Kim, S.; Sung, J.H.; Hur, K.; Ahn, K.H.; Lee, S.J. The Effect of Adsorption Kinetics on Film Formation of Silica/PVA Suspension. J. Colloid Interface Sci. 2010, 344, 308–314. [Google Scholar] [CrossRef] [PubMed]
- Kim, S.; Sung, J.H.; Chun, S.; Ahn, K.H.; Lee, S.J. Adsorption–Stress Relationship in Drying of Silica/PVA Suspensions. J. Colloid Interface Sci. 2011, 361, 497–502. [Google Scholar] [CrossRef] [PubMed]
- Kim, S.; Hyun, K.; Kim, Y.S.; Struth, B.; Clasen, C.; Ahn, K.H. Drying of a Charge-Stabilized Colloidal Suspension in Situ Monitored by Vertical Small-Angle X-Ray Scattering. Langmuir 2013, 29, 10059–10065. [Google Scholar] [CrossRef][Green Version]
- Struth, B.; Hyun, K.; Kats, E.; Meins, T.; Walther, M.; Wilhelm, M.; Grübel, G. Observation of New States of Liquid Crystal 8CB under Nonlinear Shear Conditions as Observed via a Novel and Unique Rheology/Small-Angle X-Ray Scattering Combination. Langmuir 2011, 27, 2880–2887. [Google Scholar] [CrossRef] [PubMed]
- Schaefer, D.W.; Martin, J.E.; Wiltzius, P.; Cannell, D.S. Fractal Geometry of Colloidal Aggregates. Phys. Rev. Lett. 1984, 52, 2371–2374. [Google Scholar] [CrossRef]
- Li, J.; Cabane, B.; Sztucki, M.; Gummel, J.; Goehring, L. Drying Dip-Coated Colloidal Films. Langmuir 2012, 28, 200–208. [Google Scholar] [CrossRef]









Publisher’s Note: MDPI stays neutral with regard to jurisdictional claims in published maps and institutional affiliations. |
© 2021 by the authors. Licensee MDPI, Basel, Switzerland. This article is an open access article distributed under the terms and conditions of the Creative Commons Attribution (CC BY) license (https://creativecommons.org/licenses/by/4.0/).
Share and Cite
Kim, S.; Oh, S.M.; Kim, S.Y.; Park, J.D. Role of Adsorbed Polymers on Nanoparticle Dispersion in Drying Polymer Nanocomposite Films. Polymers 2021, 13, 2960. https://doi.org/10.3390/polym13172960
Kim S, Oh SM, Kim SY, Park JD. Role of Adsorbed Polymers on Nanoparticle Dispersion in Drying Polymer Nanocomposite Films. Polymers. 2021; 13(17):2960. https://doi.org/10.3390/polym13172960
Chicago/Turabian StyleKim, Sunhyung, Sol Mi Oh, So Youn Kim, and Jun Dong Park. 2021. "Role of Adsorbed Polymers on Nanoparticle Dispersion in Drying Polymer Nanocomposite Films" Polymers 13, no. 17: 2960. https://doi.org/10.3390/polym13172960
APA StyleKim, S., Oh, S. M., Kim, S. Y., & Park, J. D. (2021). Role of Adsorbed Polymers on Nanoparticle Dispersion in Drying Polymer Nanocomposite Films. Polymers, 13(17), 2960. https://doi.org/10.3390/polym13172960

