A New Method for Determination of Pectin Content Using Spectrophotometry
Abstract
:1. Introduction
2. Materials and Methods
2.1. Materials
2.2. Experimental Methods and Procedures
2.2.1. Precipitated Pectin
2.2.2. Pectin Determination with Gravimetric Method
2.2.3. Pectin Determination with Copper Ion Colorimetry Method
- Establishment of Cu2+ Working Curve
- 2.
- Determination of Pectin Content
3. Results
3.1. Sample Analyses
3.2. The Mechanism of the Copper Ion Colorimetry Method
3.3. Effects of Process Parameters on Absorbance of Basic Copper Carbonate
3.3.1. Determination of Optimal Wavelength
3.3.2. Effect of Reaction Time
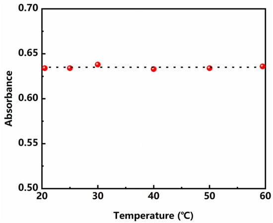
3.3.3. Effect of Reaction Temperature
3.3.4. Effect of pH
3.4. Establishment of Working Curve
3.5. Interference
3.6. Method Calibration and Evaluation
3.7. Universality of the Method
4. Conclusions
Author Contributions
Funding
Institutional Review Board Statement
Informed Consent Statement
Data Availability Statement
Conflicts of Interest
References
- Chaiwarit, T.; Masavang, S.; Mahe, J.; Sommano, S.; Jantrawut, P. Mango (cv. Nam Dokmai) peel as a source of pectin and its potential use as a film-forming polymer. Food Hydrocoll. 2019, 102, 105611. [Google Scholar] [CrossRef]
- Dranca, F.; Oroian, M. Extraction, purification and characterization of pectin from alternative sources with potential technological applications. Food Res. Int. 2018, 113, 327–350. [Google Scholar] [CrossRef]
- Wang, R.-S.; Li, Y.; Shuai, X.-X.; Liang, R.-H.; Chen, J.; Liu, C.-M. Pectin/activated carbon-based porous microsphere for Pb2+ adsorption: Characterization and adsorption behaviour. Polymers 2021, 13, 2453. [Google Scholar] [CrossRef]
- Hari, K.D.; Garcia, C.V.; Shin, G.-H.; Kim, J.-T. Improvement of the UV barrier and antibacterial properties of crosslinked pectin/zinc oxide bionanocomposite films. Polymers 2021, 13, 2403. [Google Scholar] [CrossRef]
- Xie, M.; Li, J.; Nie, S. Research and Application progress of pectin. Chin. J. Food Sci. 2013, 13, 1–14. [Google Scholar]
- Dordevic, D.; Jancikova, S.; Capikova, J.; Tremlova, B.; Kushkevych, I. Chemical and sensory properties of fruit jams affected by bamboo fiber fortification. Biointerface Res. Appl. Chem. 2020, 10, 5247–5251. [Google Scholar] [CrossRef]
- Badaro, A.T.; Garcia-Martin, J.F.; Lopez-Barrera, M.D.C.; Barbin, D.F.; Alvarez-Mateos, P. Determination of pectin content in orange peels by near infrared hyperspectral imaging. Food Chem. 2020, 323, 126861. [Google Scholar] [CrossRef]
- Zhang, X.; Liu, C.; Yang, L. Research status of pectin content determination method. Appl. Chem. 2015, 4, 729–731. [Google Scholar]
- Dong, D.; Zhang, X.; Yao, X.; Huang, Y.; Lin, C. Determination of sisal pectin content by carbazole colorimetric method. Food Res. Dev. 2010, 31, 138–140. [Google Scholar]
- Buranaosot, J.; Soonthornchareonnon, N.; Chaidedgumjorn, A.; Hosoyama, S.; Toida, T. Determination of galacturonic acid from pomelo pectin in term of galactose by HPAEC with fluorescence detection. Carbohydr. Polym. 2010, 81, 461–465. [Google Scholar] [CrossRef]
- Coetzee, B.; Schols, H.A.; Wolfaardt, F. Determination of pectin content of eucalyptus wood. Holzforschung 2011, 65, 327–331. [Google Scholar] [CrossRef] [Green Version]
- Kumar, V.; Nagar, S. Studies on Tinospora cordifolia monosugars and correlation analysis of uronic acids by spectrophotometric methods and GLC. Carbohydr. Polym. 2014, 99, 291–296. [Google Scholar] [CrossRef]
- Xuan, Z. Extraction of Pomelo Peel Pectin and Preparation and Properties of Its Composite; DongHua University: Shanghai, China, 2019. [Google Scholar]
- Garna, H.; Emaga, T.H.; Robert, C.; Paquot, M. New method for the purification of electrically charged polysaccharides. Food Hydrocoll. 2011, 25, 1219–1226. [Google Scholar] [CrossRef]
- Paper Raw Materials—Determination of Pectin Content; GB/T 10742-2008; General Administration of Quality Supervision, Inspection and Quarantine of the People’s Republic of China Standardization Administration of China: Beijing, China, 2008; p. 8.
- Xiaoxia, L. Extraction and Characterization of Pectic Polysaccharides from Okra Flower. Master’s Thesis, Zhejiang University, Hangzhou, China, 2014. [Google Scholar]
- Liew, S.Q.; Ngoh, G.C.; Yusoff, R.; Teoh, W.H. Sequential ultrasound-microwave assisted acid extraction (UMAE) of pectin from pomelo peels. Int. J. Biol. Macromol. 2016, 93, 426–435. [Google Scholar] [CrossRef]
- He, T.; Xu, X.; Yang, J.; Zhang, B. Determination of calcium content in crude oil by spectrophotometric method. J. East China Univ. Sci. 2010, 36, 406–410. [Google Scholar] [CrossRef]
- Zhao, H.L.; Cheng, X.; Chang, J. Spectrophotometric determination of the Ca Ion content in steel slag by using chlorophosphonazo as the spectral chromogenic reagent. Adv. Mater. Res. 2011, 306–307, 989–993. [Google Scholar] [CrossRef]
- Tian, X.; Tang, X. Determination of calcium in calcium preparations. Technol. Dev. Chem. Ind. 2011, 40, 19–21. [Google Scholar]
- Chai, X.S.; Zhang, D.C.; Hou, Q.X.; Yoon, S.H. Spectrophotometric determination of reducing aldehyde groups in bleached chemical pulps. J. Ind. Eng. Chem. 2007, 13, 597–601. [Google Scholar]
- Carré, M.H.; Haynes, D. The estimation of pectin as calcium pectate and the application of this method to the determination of the soluble pectin in apples. Biochem. J. 1922, 16, 60–69. [Google Scholar] [CrossRef] [Green Version]
- Guofu, W.; Zhenming, C.; Rong, G.; Huiying, T. Study on pretreatment method of pectin raw material (lemon peel). Food Ind. Sci. Technol. 2006, 2, 78–79. [Google Scholar]
- Long, J.; Gong, H.; Zhang, D.Z.; Liu, M.R.; Li, H.L. Determination of carboxyl groups in pulp via ultraviolet spectrophotometry. Bioresources 2018, 13, 2670–2677. [Google Scholar] [CrossRef]
- Mau, A.; Noirbent, G.; Dietlin, C.; Graff, B.; Gigmes, D.; Dumur, F.; Lalevée, J. Panchromatic copper complexes for visible light photopolymerization. Photochem 2021, 1, 167–189. [Google Scholar] [CrossRef]
- Begum, R.; Aziz, M.G.; Uddin, M.B.; Yusof, Y.A. Characterization of jackfruit (artocarpus heterophyllus) waste pectin as influenced by various extraction conditions. Agric. Agric. Sci. Procedia 2014, 2, 244–251. [Google Scholar] [CrossRef] [Green Version]
- Chan, S.Y.; Choo, W.S. Effect of extraction conditions on the yield and chemical properties of pectin from cocoa husks. Food Chem. 2013, 141, 3752–3758. [Google Scholar] [CrossRef]
- Adetunji, L.R.; Valérie-Orsat, A.A.; Raghavan, V. Advances in the pectin production process using novel extraction techniques: A review. Food Hydrocoll. 2017, 62, 239–250. [Google Scholar] [CrossRef]
- Gonzalez, A.G.; Herrador, M.A. A practical guide to analytical method validation, including measurement uncertainty and accuracy profiles. TrAC Trends Anal. Chem. 2007, 26, 227–238. [Google Scholar] [CrossRef]








| Samples | DE (%) |
|---|---|
| Commercial | 40.35 |
| Sisal | 57.37 |
| Bark of paper mulberry | 44.06 |
| Wikstroemia | 35.81 |
| Samples | Original Measurements (µmol) | Addition(µmol) | Measurements After Addition(µmol) | Recovery Rate(%) |
|---|---|---|---|---|
| 1 | 44.2 | 14.9 | 58.7 | 97.22 |
| 2 | 41.9 | 22.3 | 63.3 | 96.04 |
| 3 | 42.0 | 44.7 | 86.0 | 98.39 |
| 4 | 37.3 | 29.8 | 66.2 | 97.22 |
| Samples | Gravimetric Method (g) | Copper Ion Colorimetry Method (g) | RSD (%) |
|---|---|---|---|
| 1 | 0.6233 | 0.6463 | 2.60 |
| 2 | 0.9613 | 0.9763 | 1.10 |
| 3 | 4.6193 | 4.6102 | 0.14 |
| 4 | 4.9617 | 4.9399 | 0.31 |
| Samples | Gravimetric Method (g) | Copper Ion Colorimetry Method (g) | RSD (%) |
|---|---|---|---|
| Bark of paper mulberry-1 | 1.1204 | 1.0679 | 3.40 |
| Bark of paper mulberry-2 | 1.3354 | 1.4033 | 3.51 |
| Sisal-1 | 0.4920 | 0.4590 | 4.90 |
| Sisal-2 | 0.5528 | 0.5278 | 3.28 |
| Wikstroemia-1 | 2.4874 | 2.5103 | 0.65 |
| Wikstroemia-2 | 3.7498 | 3.7156 | 0.65 |
Publisher’s Note: MDPI stays neutral with regard to jurisdictional claims in published maps and institutional affiliations. |
© 2021 by the authors. Licensee MDPI, Basel, Switzerland. This article is an open access article distributed under the terms and conditions of the Creative Commons Attribution (CC BY) license (https://creativecommons.org/licenses/by/4.0/).
Share and Cite
Wang, F.; Du, C.; Chen, J.; Shi, L.; Li, H. A New Method for Determination of Pectin Content Using Spectrophotometry. Polymers 2021, 13, 2847. https://doi.org/10.3390/polym13172847
Wang F, Du C, Chen J, Shi L, Li H. A New Method for Determination of Pectin Content Using Spectrophotometry. Polymers. 2021; 13(17):2847. https://doi.org/10.3390/polym13172847
Chicago/Turabian StyleWang, Furong, Chao Du, Junjun Chen, Lisheng Shi, and Hailong Li. 2021. "A New Method for Determination of Pectin Content Using Spectrophotometry" Polymers 13, no. 17: 2847. https://doi.org/10.3390/polym13172847
APA StyleWang, F., Du, C., Chen, J., Shi, L., & Li, H. (2021). A New Method for Determination of Pectin Content Using Spectrophotometry. Polymers, 13(17), 2847. https://doi.org/10.3390/polym13172847
