Shelf Life and Storage Conditions of Universal Adhesives: A Literature Review
Abstract
1. Introduction
2. Mechanisms Responsible for the Degradation of the Hybrid Layer
2.1. Degradation of Adhesive Resin
2.2. Degradation of Collagen Fibrils
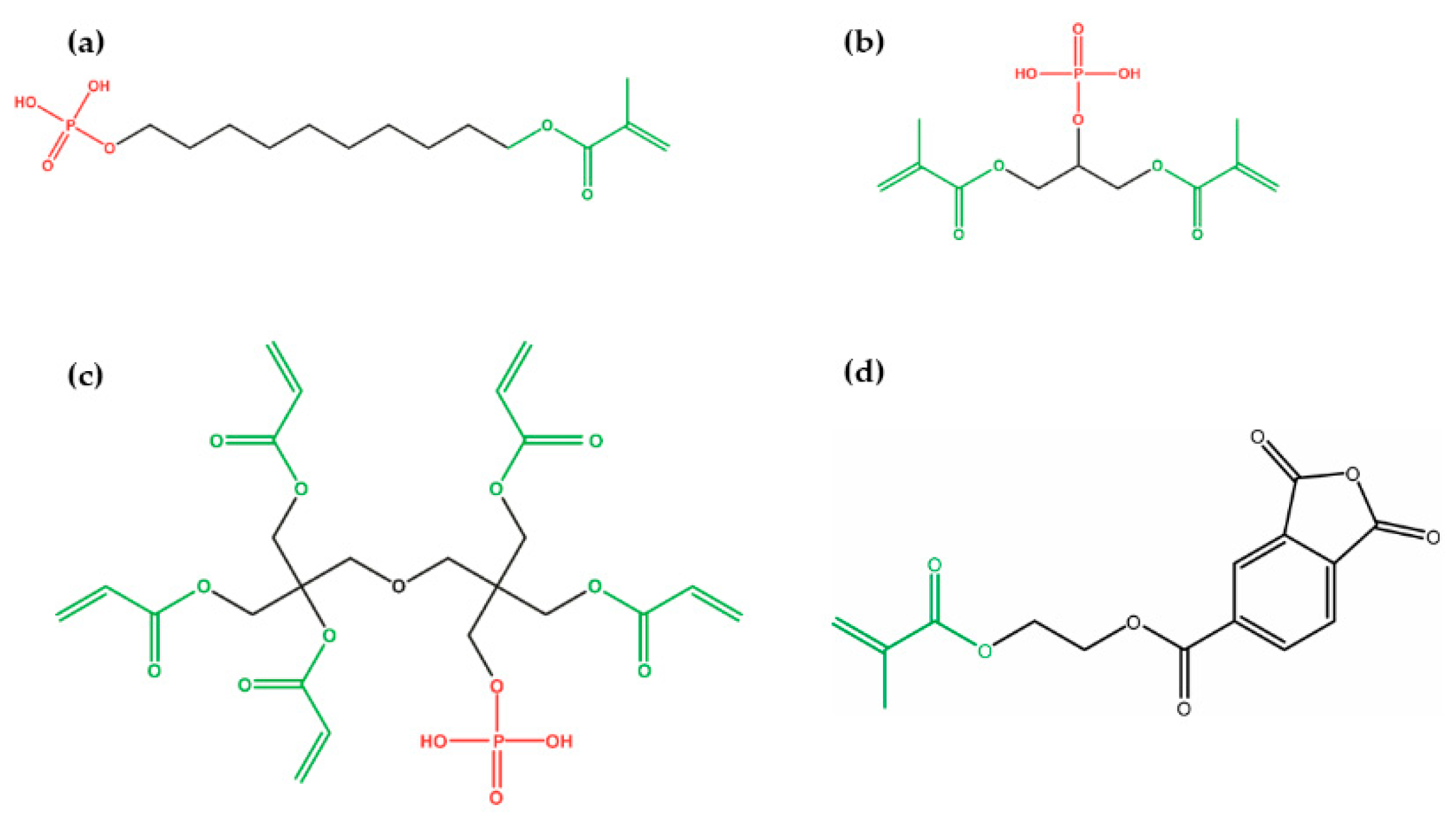
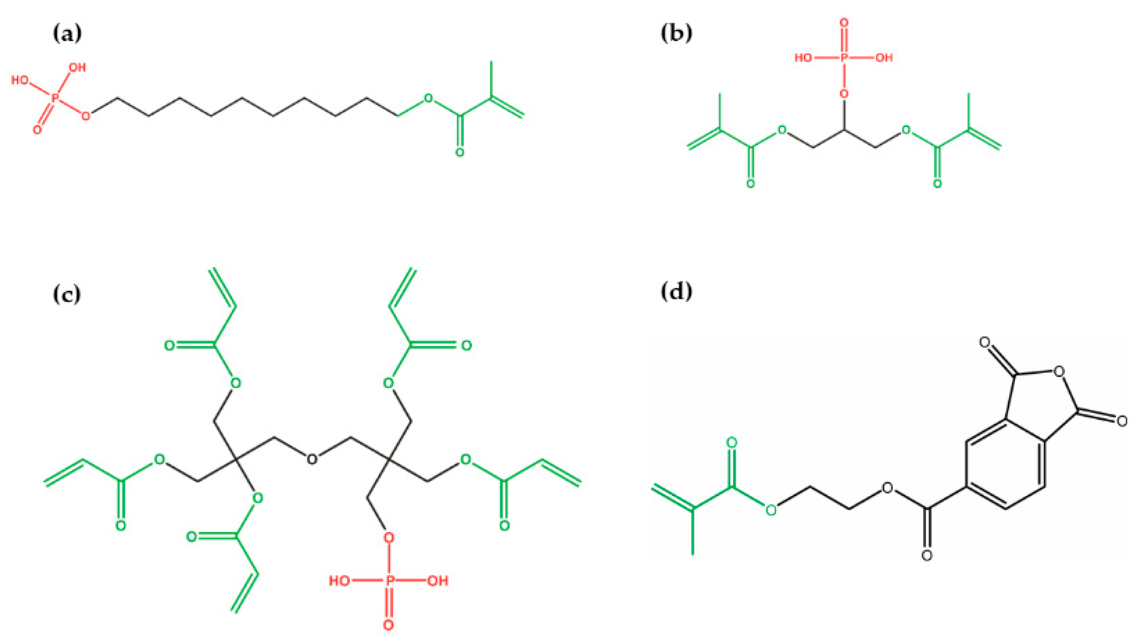
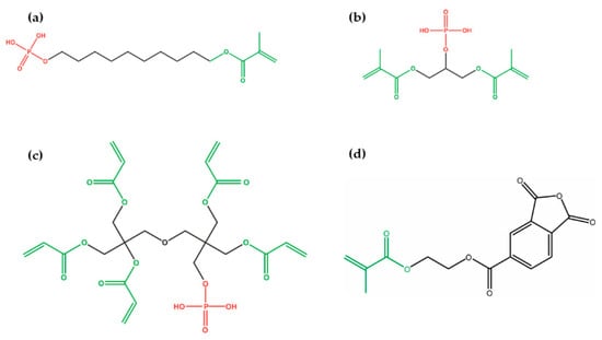
3. Factors That Play a Role in the Stability of Universal Adhesives
4. Final Considerations
Author Contributions
Funding
Institutional Review Board Statement
Informed Consent Statement
Data Availability Statement
Acknowledgments
Conflicts of Interest
References
- Hardan, L.; Bourgi, R.; Kharouf, N.; Mancino, D.; Zarow, M.; Jakubowicz, N.; Haikel, Y.; Cuevas-Suárez, C. Bond Strength of Universal Adhesives to Dentin: A Systematic Review and Meta-Analysis. Polymers 2021, 13, 814. [Google Scholar] [CrossRef]
- Bourgi, R.; Daood, U.; Bijle, M.; Fawzy, A.; Ghaleb, M.; Hardan, L. Reinforced Universal Adhesive by Ribose Crosslinker: A Novel Strategy in Adhesive Dentistry. Polymers 2021, 13, 704. [Google Scholar] [CrossRef] [PubMed]
- Hardan, L.; Bourgi, R.; Cuevas-Suárez, C.E.; Zarow, M.; Kharouf, N.; Mancino, D.; Villares, C.F.; Skaba, D.; Lukomska-Szymanska, M. The Bond Strength and Anti-bacterial Activity of the Universal Dentin Bonding System: A Systematic Review and Meta-Analysis. Microorganisms 2021, 9, 1230. [Google Scholar] [CrossRef]
- Kharouf, N.; Eid, A.; Hardan, L.; Bourgi, R.; Arntz, Y.; Jmal, H.; Foschi, F.; Sauro, S.; Ball, V.; Haikel, Y.; et al. Antibacterial and Bonding Properties of Universal Adhesive Dental Polymers Doped with Pyrogallol. Polymers 2021, 13, 1538. [Google Scholar] [CrossRef]
- Van Landuyt, K.L.; Mine, A.; De Munck, J.; Jaecques, S.; Peumans, M.; Lambrechts, P.; Van Meerbeek, B. Are One-Step Adhesives Easier to Use and Better Performing? Multifactorial Assessment of Contemporary One-Step Self-Etching Adhesives. J. Adhes. Dent. 2009, 11, 175–190. [Google Scholar]
- Van Landuyt, K.L.; Snauwaert, J.; De Munck, J.; Peumans, M.; Yoshida, Y.; Poitevin, A.; Coutinho, E.; Suzuki, K.; Lambrechts, P.; Van Meerbeek, B. Systematic Review of the Chemical Composition of Contemporary Dental Adhesives. Biomaterials 2007, 28, 3757–3785. [Google Scholar] [CrossRef] [PubMed]
- Pongprueksa, P.; Miletic, V.; De Munck, J.; Brooks, N.; Meersman, F.; Nies, E.; Van Meerbeek, B.; Van Landuyt, K. Effect of Evaporation on the Shelf Life of a Universal Adhesive. Oper. Dent. 2014, 39, 500–507. [Google Scholar] [CrossRef]
- Cuevas-Suárez, C.E.; Ramos, T.S.; Rodrigues, S.B.; Collares, F.M.; Zanchi, C.H.; Lund, R.G.; da Silva, A.F.; Piva, E. Impact of Shelf-Life Simulation on Bonding Performance of Universal Adhesive Systems. Dent. Mater. 2019, 35, e204–e219. [Google Scholar] [CrossRef] [PubMed]
- Mazzitelli, C.; Maravic, T.; Sebold, M.; Checchi, V.; Josic, U.; Breschi, L.; Mazzoni, A. Effect of Shelf-Life of a Universal Adhesive to Dentin. Int. J. Adhes. Adhes. 2020, 102, 102673. [Google Scholar] [CrossRef]
- Alfawaz, S.A.; El-Marakby, A.M.; Aljumaah, R.S.; Alassaf, M.A.; Alshalawi, F.E.; Alnahdi, M.S.; Al Sultan, M.K. Past and New Strategies of Dental Adhesive Systems. Oral. Health. Dent. Manag. 2017, 16, 995. [Google Scholar]
- Salz, U.; Bock, T. Adhesion Performance of New Hydrolytically Stable One-component Self-etching Enamel/Dentin Adhesives. J. Adhes. Dent. 2010, 12, 7–10. [Google Scholar] [CrossRef]
- Cardoso, A.S.; Oliveira, H.L.; Münchow, A.E.; Carreño, N.L.; Júnior, A.G.; Piva, E. Effect of Shelf-Life Simulation on the Bond Strength of Self-Etch Adhesive Systems to Dentin. Appl. Adhes. Sci. 2014, 2, 489. [Google Scholar] [CrossRef][Green Version]
- Pashley, E.L.; Zhang, Y.; Lockwood, P.E.; Rueggeberg, F.; Pashley, D.H. Effects of HEMA on Water Evaporation from Water–HEMA Mixtures. Dent. Mater. 1998, 14, 6–10. [Google Scholar] [CrossRef]
- Elmarakby, A.M. Current Aspects of Dental Adhesives. EC Dent. Sci. 2019, 18, 152–162. [Google Scholar]
- Van Meerbeek, B.; De Munck, J.; Yoshida, Y.; Inoue, S.; Vargas, M.; Vijay, P.; Van Landuyt, K.; Lambrechts, P.; Vanherle, G. Buonocore Memorial Lecture. Adhesion to Enamel and Dentin: Current Status and Future Challenges. Oper. Dent. 2003, 28, 215–235. [Google Scholar] [PubMed]
- Azad, E.; Atai, M.; Zandi, M.; Shokrollahi, P.; Solhi, L. Structure–Properties Relationships in Dental Adhesives: Effect of Initiator, Matrix Monomer Structure, and Nano-Filler Incorporation. Dent. Mater. 2018, 34, 1263–1270. [Google Scholar] [CrossRef] [PubMed]
- Hass, V.; Luque-Martinez, I.V.; Gutierrez, M.F.; Moreira, C.G.; Gotti, V.B.; Feitosa, V.; Koller, G.; Otuki, M.; Loguercio, A.D.; Reis, A. Collagen Cross-Linkers on Dentin Bonding: Stability of the Adhesive Interfaces, Degree of Conversion of the Adhesive, Cytotoxicity and In Situ MMP Inhibition. Dent. Mater. 2016, 32, 732–741. [Google Scholar] [CrossRef]
- Hashimoto, M.; Ohno, H.; Sano, H.; Kaga, M.; Oguchi, H. In Vitro Degradation of Resin–Dentin Bonds Analyzed by Microtensile Bond Test, Scanning and Transmission Electron Microscopy. Biomaterials 2003, 24, 3795–3803. [Google Scholar] [CrossRef]
- Tay, F.R.; Pashley, D.H. Have Dentin Adhesives become too Hydrophilic? J. Can. Dent. Assoc. 2003, 69, 726–731. [Google Scholar]
- Liu, Y.; Tjäderhane, L.; Breschi, L.; Mazzoni, A.; Li, N.; Mao, J.; Pashley, D.; Tay, F. Limitations in Bonding to Dentin and Experimental Strategies to Prevent Bond Degradation. J. Dent. Res. 2011, 90, 953–968. [Google Scholar] [CrossRef]
- Betancourt, D.E.; Baldion, P.A.; Castellanos, J.E. Resin-Dentin Bonding Interface: Mechanisms of Degradation and Strategies for Stabilization of the Hybrid Layer. Int. J. Biomater. 2019, 2019, 1–11. [Google Scholar] [CrossRef] [PubMed]
- Breschi, L.; Maravic, T.; Cunha, S.R.; Comba, A.; Cadenaro, M.; Tjäderhane, L.; Pashley, D.H.; Tay, F.R.; Mazzoni, A. Dentin Bonding Systems: From Dentin Collagen Structure to Bond Preservation and Clinical Applications. Dent. Mater. 2017, 34, 78–96. [Google Scholar] [CrossRef]
- Ito, S.; Hashimoto, M.; Wadgaonkar, B.; Svizero, N.; Carvalho, R.M.; Yiu, C.; Rueggeberg, F.; Foulger, S.; Saito, T.; Nishitani, Y.; et al. Effects of Resin Hydrophilicity on Water Sorption and Changes in Modulus of Elasticity. Biomaterials 2005, 26, 6449–6459. [Google Scholar] [CrossRef]
- Van Meerbeek, B.; Yoshihara, K.; Van Landuyt, K.; Yoshida, Y.; Peumans, M. From Buonocore’s Pioneering Acid-Etch Technique to Self-Adhering Restoratives. A Status Perspective of Rapidly Advancing Dental Adhesive Technology. J. Adhes. Dent. 2020, 22, 7–34. [Google Scholar] [CrossRef] [PubMed]
- Li, F.; Zhang, L.; Weir, M.D.; Cheng, L.; Zhang, K.; Xu, H.H.K. Understanding the Chemistry and Improving the Durability of Dental Resin–Dentin Bonded Interface. In Material-Tissue Interfacial Phenomena; Woodhead Publishing: Sawston, UK, 2017; pp. 147–180. [Google Scholar]
- Gale, M.; Darvell, B. Thermal Cycling Procedures for Laboratory Testing of Dental Restorations. J. Dent. 1999, 27, 89–99. [Google Scholar] [CrossRef]
- Dressano, D.; Salvador, M.V.; Oliveira, M.T.; Marchi, G.M.; Fronza, B.M.; Hadis, M.; Palin, W.M.; Lima, A.F. Chemistry of Novel and Contemporary Resin-Based Dental Adhesives. J. Mech. Behav. Biomed. Mater. 2020, 110, 103875. [Google Scholar] [CrossRef] [PubMed]
- Cardoso, M.V.; Neves, A.; Mine, A.; Coutinho, E.; Van Landuyt, K.; De Munck, J.; Van Meerbeek, B. Current Aspects on Bonding Effectiveness and Stability in Adhesive Dentistry. Aust. Dent. J. 2011, 56, 31–44. [Google Scholar] [CrossRef]
- Chladek, G.; Basa, K.; Mertas, A.; Pakieła, W.; Żmudzki, J.; Bobela, E.; Krol, W. Effect of Storage in Distilled Water for Three Months on the Antimicrobial Properties of Poly(methyl methacrylate) Denture Base Material Doped with Inorganic Filler. Materials 2016, 9, 328. [Google Scholar] [CrossRef] [PubMed]
- Sundfeld, R.H.; da Silva, A.M.; Croll, T.P.; de Oliveira, C.H.; Briso, A.L.; de Alexandre, R.S.; Sundefeld, M.L. The Effect of Temperature on Self-Etching Adhesive Penetration. Compend. Contin. Educ. Dent. 2006, 27, 552–556. [Google Scholar]
- Aida, M.; Odaki, M.; Fujita, K.; Kitagawa, T.; Teshima, I.; Suzuki, K.; Nishiyama, N. Degradation-Stage Effect of Self-Etching Primer on Dentin Bond Durability. J. Dent. Res. 2009, 88, 443–448. [Google Scholar] [CrossRef]
- Carrilho, E.; Cardoso, M.; Marques Ferreira, M.; Marto, C.M.; Paula, A.; Coelho, A.S. 10-MDP Based Dental Adhesives: Adhe-sive Interface Characterization and Adhesive Stability—A Systematic Review. Materials 2019, 12, 790. [Google Scholar] [CrossRef] [PubMed]
- Tay, F.R.; King, N.M.; Chan, K.; Pashley, D.H. How can Nanoleakage Occur in Self-Etching Adhesive Systems that Demineralize and Infiltrate Simultaneously? J. Adhes. Dent. 2002, 4, 255–269. [Google Scholar] [PubMed]
- Meereis, C.; Leal, F.B.; Ogliari, F.A. Stability of Initiation Systems in Acidic Photopolymerizable Dental Material. Dent. Mater. 2016, 32, 889–898. [Google Scholar] [CrossRef] [PubMed]
- Sodré, C.S.; Albuquerque, P.P.A.; Isolan, C.P.; Moraes, R.R.; Schneider, L.F. Relative Photon Absorption Determination and the Influence of Photoinitiator System and Water Content on C=C Conversion, Water Sorption/Solubility of Experimental Self-Etch Adhesives. Int. J. Adhes. Adhes. 2015, 63, 152–157. [Google Scholar] [CrossRef]
- Guo, X.; Peng, Z.; Spencer, P.; Wang, Y. Effect of initiator on photopolymerization of acidic, aqueous dental model adhesives. J. Biomed. Mater. Res. A 2009, 90, 1120–1127. [Google Scholar] [CrossRef]
- Wang, Y.; Spencer, P.; Walker, M.P. Chemical Profile of Adhesive/Caries-Affected Dentin Interfaces Using Raman Microspectroscopy. J. Biomed. Mater. Res. 2007, 81, 279–286. [Google Scholar] [CrossRef]
- Spencer, P.; Ye, Q.; Kamathewatta, N.J.B.; Woolfolk, S.K.; Bohaty, B.S.; Misra, A.; Tamerler, C. Chemometrics-Assisted Raman Spectroscopy Characterization of Tunable Polymer-Peptide Hybrids for Dental Tissue Repair. Front. Mater. 2021, 8, 137. [Google Scholar] [CrossRef]
- Wang, Y.; Yao, X.; Parthasarathy, R. Characterization of Interfacial Chemistry of Adhesive/Dentin Bond Using FTIR Chemical Imaging with Univariate and Multivariate Data Processing. J. Biomed. Mater. Res. Part A 2008, 91, 251–262. [Google Scholar] [CrossRef]
- Spencer, P.; Wang, Y.; Katz, J.L.; Misra, A. Physicochemical Interactions at the Dentin/Adhesive Interface Using FTIR Chemical Imaging. J. Biomed. Opt. 2005, 10, 031104–03110411. [Google Scholar] [CrossRef] [PubMed]
- de Alencar, M.L.; Leite, S.; de Farias Charamba, C.; Wanderley, R.B.; Meireles, S.S.; Duarte, R.M.; de Andrade, A.K.M. Bond Strength of Universal Adhesive Applied to Dry and Wet Dentin: One-Year In Vitro Evaluation. Braz. J. Oral. Sci. 2020, 19, e201662. [Google Scholar]
- Chasqueira, A.F.; Arantes-Oliveira, S.; Portugal, J. Bonding Performance of Simplified Dental Adhesives with Three Application Protocols: An 18-Month In Vitro Study. J. Adhes. Dent. 2020, 22, 255–264. [Google Scholar]
- Yoshida, Y.; Yoshihara, K.; Hayakawa, S.; Nagaoka, N.; Okihara, T.; Matsumoto, T.; Minagi, S.; Osaka, A.; Van Landuyt, K.; Van Meerbeek, B. HEMA Inhibits Interfacial Nano-Layering of the Functional Monomer MDP. J. Dent. Res. 2012, 91, 1060–1065. [Google Scholar] [CrossRef]
- Perdigão, J.; Swift, E.J., Jr.; Lopes, G.C. Effects of Repeated Use on Bond Strengths of One-Bottle Adhesives. Quintessence Int. 1999, 30, 819–823. [Google Scholar] [PubMed]
- Moszner, N.; Hirt, T. New Polymer-Chemical Developments in Clinical Dental Polymer Materials: Enamel-Dentin Adhesives and Restorative Composites. J. Polym. Sci. Part A Polym. Chem. 2012, 50, 4369–4402. [Google Scholar] [CrossRef]
- Van Meerbeek, B.; Yoshihara, K.; Yoshida, Y.; Mine, A.J.D.M.K.L.V.L.; De Munck, J.; Van Landuyt, K.L. State of the Art of sElf-etch Adhesives. Dent. Mater. 2011, 27, 17–28. [Google Scholar] [CrossRef]
- Nishiyama, N. Hydrolytic Stability of Methacrylamide in Acidic Aqueous Solution. Biomaterials 2004, 25, 965–969. [Google Scholar] [CrossRef]
- Teshima, I. Degradation of 10-Methacryloyloxydecyl Dihydrogen Phosphate. J. Dent. Res. 2010, 89, 1281–1286. [Google Scholar] [CrossRef]
- Jayasheel, A.; Niranjan, N.; Pamidi, H.; Suryakanth, M.B. Comparative Evaluation of shear Bond Strength of universal Dental Adhesives-An In Vitro Study. J. Clin. Exp. Dent. 2017, 9, e892–e896. [Google Scholar] [CrossRef] [PubMed]
- Bertolo, M.V.; Moraes, R.C.; Pfeifer, C.; Salgado, V.E.; Correr, A.R.; Schneider, L.F. Influence of Photoinitiator System on Physical-Chemical Properties of Experimental Self-Adhesive Composites. Braz. Dent. J. 2017, 28, 35–39. [Google Scholar] [CrossRef]
- Ikemura, K.; Endo, T. A Review of our Development of Dental Adhesives—Effects of Radical Polymerization Initiators and Adhesive Monomers on Adhesion. Dent. Mater. J. 2010, 29, 109–121. [Google Scholar] [CrossRef]
- Amaral, C.M.; Diniz, A.M.; Arantes, E.B.; Dos Santos, G.B.; Noronha-Filho, J.D.; da Silva, E.M. Resin-Dentin Bond Stability of Experimental 4-META-based Etch-and-Rinse Adhesives Solvated by Ethanol or Acetone. J. Adhes. Dent. 2016, 18, 513–520. [Google Scholar] [CrossRef]
- Carvalho, C.N.; Lanza, M.D.S.; Dourado, L.G.; Carvalho, E.M.; Bauer, J. Impact of Solvent Evaporation and Curing Protocol on Degree of Conversion of Etch-and-Rinse and Multimode Adhesives Systems. Int. J. Dent. 2019, 2019, 1–6. [Google Scholar] [CrossRef] [PubMed]
- Nishiyama, N.; Tay, F.R.; Fujita, K.; Pashley, D.H.; Ikemura, K.; Hiraishi, N.; King, N.M. Hydrolysis of Functional Monomers in a Single-bottle Self-etching Primer—Correlation of 13C NMR and TEM Findings. J. Dent. Res. 2006, 85, 422–426. [Google Scholar] [CrossRef]
- Cadenaro, M.; Maravic, T.; Comba, A.; Mazzoni, A.; Fanfoni, L.; Hilton, T.; Ferracane, J.; Breschi, L. The Role of Polymerization in Adhesive Dentistry. Dent. Mater. 2019, 35, e1–e22. [Google Scholar] [CrossRef] [PubMed]
- Mazzoni, A.; Nascimento, F.; Carrilho, M.; Tersariol, I.; Papa, V.; Tjäderhane, L.; Di Lenarda, R.; Tay, F.; Pashley, D.; Breschi, L. MMP Activity in the Hybrid Layer Detected with in situ Zymography. J. Dent. Res. 2012, 91, 467–472. [Google Scholar] [CrossRef] [PubMed]





Publisher’s Note: MDPI stays neutral with regard to jurisdictional claims in published maps and institutional affiliations. |
© 2021 by the authors. Licensee MDPI, Basel, Switzerland. This article is an open access article distributed under the terms and conditions of the Creative Commons Attribution (CC BY) license (https://creativecommons.org/licenses/by/4.0/).
Share and Cite
Iliev, G.; Hardan, L.; Kassis, C.; Bourgi, R.; Cuevas-Suárez, C.E.; Lukomska-Szymanska, M.; Mancino, D.; Haikel, Y.; Kharouf, N. Shelf Life and Storage Conditions of Universal Adhesives: A Literature Review. Polymers 2021, 13, 2708. https://doi.org/10.3390/polym13162708
Iliev G, Hardan L, Kassis C, Bourgi R, Cuevas-Suárez CE, Lukomska-Szymanska M, Mancino D, Haikel Y, Kharouf N. Shelf Life and Storage Conditions of Universal Adhesives: A Literature Review. Polymers. 2021; 13(16):2708. https://doi.org/10.3390/polym13162708
Chicago/Turabian StyleIliev, Georgi, Louis Hardan, Cynthia Kassis, Rim Bourgi, Carlos Enrique Cuevas-Suárez, Monika Lukomska-Szymanska, Davide Mancino, Youssef Haikel, and Naji Kharouf. 2021. "Shelf Life and Storage Conditions of Universal Adhesives: A Literature Review" Polymers 13, no. 16: 2708. https://doi.org/10.3390/polym13162708
APA StyleIliev, G., Hardan, L., Kassis, C., Bourgi, R., Cuevas-Suárez, C. E., Lukomska-Szymanska, M., Mancino, D., Haikel, Y., & Kharouf, N. (2021). Shelf Life and Storage Conditions of Universal Adhesives: A Literature Review. Polymers, 13(16), 2708. https://doi.org/10.3390/polym13162708

